ACCION DE GRUPO - Término de caducidad
Para determinar el momento a partir del cual debe empezar a contarse el término para presentar la acción de grupo resulta necesario precisar la causa del daño que se aduce, indagación que implica, a su vez, establecer cuáles son los hechos que se señalan como integradores de esa causa, la materialización del daño producido por esos hechos y, en algunos eventos, el momento en el cual el grupo tuvo o debió tener conocimiento de ese daño, amén de verificar si esa causa es, o no, común al grupo, porque el artículo 47 de la Ley 472 de 1998 dispone, respecto de las acciones de grupo, que deberán promoverse dentro de los dos (2) años siguientes a la fecha en la cual se causó el daño o cesó la acción vulnerante causante del mismo.
FUENTE FORMAL: LEY 472 DE 1998 - ARTICULO 47
NOTA DE RELATORIA: En cuanto al término de caducidad de la acción de grupo, consultar sentencia de la Sección Tercera de esta Corporación, del 26 de marzo de 2007, exp. 2005-02206-01(AG), M.P. Ruth Stella Correa Palacio.
ACCION DE GRUPO - Requisito de titularidad: el número de integrantes del grupo afectado / INTEGRACION DEL GRUPO AFECTADO - Diferente al número de personas que presentan la demanda / GRUPO AFECTADO - Concepto. Número de integrantes / GRUPO DEMANDANTE - Noción
La Sala ha señalado que no es necesario que todas las personas que integran el grupo afectado concurran al momento de presentación de la demanda, ni que quienes presentan la demanda sean por lo menos 20 personas, pues de conformidad con lo dispuesto por el parágrafo del artículo 48 de la Ley 472 de 1998, … en la acción de grupo el actor o quien actúe como demandante, representa a las demás personas que hayan sido afectadas individualmente por los hechos vulnerantes, sin necesidad de que cada uno de los interesados ejerza por separado su propia acción, ni haya otorgado poder, pero para dar satisfacción al requisito de la titularidad, quien actúa como demandante debe hacerlo respecto de un grupo integrado por un número no inferior a 20 personas, al cual pertenece y además debe señalar los criterios que permitan la identificación de los integrantes del grupo afectado. También ha precisado la Sala que la Ley 472 de 1998 permite identificar la existencia de dos grupos, a saber: i) el grupo demandante, el cual está integrado por quienes ejercen efectivamente el derecho de acción y mediante la presentación de la correspondiente demanda, el cual se aumenta con la llegada de quienes concurran al proceso antes de la apertura a pruebas, con la advertencia de que la demanda puede ser presentada por una sola persona o por un grupo de personas, mientras cumplan la condición de pertenecer al grupo afectado y ii) el grupo afectado, integrado por un número no inferior a veinte (20) personas que hubieren sufrido un perjuicio individual procedente de una misma causa, grupo cuyos integrantes deben ser identificados por sus nombres en la demanda o, en todo caso, en la misma oportunidad deben expresarse los criterios para identificarlos con el propósito de definir el grupo, en los términos del artículo 52, numerales 2 y 4 de la Ley 472 de 1998.
FUENTE FORMAL: LEY 472 DE 1998 - ARTICULO 48 / LEY 472 DE 1998 - ARTICULO 52 NUMERAL 2 / LEY 472 DE 1998 - ARTICULO 52 NUMERAL 4
NOTA DE RELATORIA: Sobre el particular, consultar sentencia del 6 de octubre de 2005, exp. 41001-23-31-000-2001-00948-01(AG), reiterada en sentencia del 7 de abril de 2011, exp. 25000-23-24-000-2000-00016-01(AG), ambas con ponencia de la Consejera Ruth Stella Correa Palacio.
TESTIMONIO DE LA PARTE DEMANDANTE - Ausencia de valor probatorio. No constituye prueba testimonial / DECLARACIONES DE LA PARTE DEMANDANTE - Carece de mérito probatorio
Dentro de este proceso rindieron sus declaraciones, a través de pruebas testimoniales, casi la totalidad de los propios actores y muchos de ellos lo volvieron a hacer dentro de la inspección judicial practicada a los predios que habrían resultado afectados, con el propósito de establecer cuáles habrían sido los cultivos sembrados en esos fundos y su respectiva cantidad o extensión, al punto que algunos de ellos pretendieron suministrar cifras y montos por concepto de utilidades de las cosechas frustradas. La Sala advierte que esos medios de prueba no pueden acogerse ni valorarse, pues como en oportunidades anteriores lo ha precisado la Jurisprudencia de }}la Corporación, las declaraciones rendidas en el proceso por los propios actores no constituyen una prueba testimonial, por cuanto no provienen de terceros ajenos al proceso.
NOTA DE RELATORIA: Al respecto consultar de la Sección Tercera de esta Corporación, la sentencia del 4 febrero de 2010, expedientes acumulados 15061-15527, reiterada en sentencias del 21 febrero de 2011, exp. 18648 y del 7 de julio de 2011, exp. 16590.
PRUEBA TESTIMONIAL - Mérito probatorio de las declaraciones rendidas por trabajadores o empleados del actor
La Sala estima que las declaraciones que proporcionaron las personas que de una u otra manera tuvieron para la época de los hechos un vínculo laboral o económico con los diferentes actores sí cuentan con mérito probatorio, sea porque éstos los contrataron únicamente para que ejercieran actividades agrícolas respecto de los cultivos para ese preciso momento, ora porque contaban con un vínculo laboral, pues a juicio de la Subsección todas esas personas, precisamente por la labor productiva que realizaron en cada predio cultivado por los actores, cuentan con pleno conocimiento y acierto respecto de hechos debatidos y, por lo tanto, sus declaraciones gozan de mayor credibilidad y exactitud, a lo cual conviene agregar que no todos los declarantes tenían un vínculo económico para con los actores y aún así sus relatos, junto con los de aquellos que sí lo tenían, resultan completamente coherentes y coinciden en la manera en la cual se produjo el hecho dañoso.
NOTA DE RELATORIA: En cuanto al valor probatorio de las declaraciones de quienes tienen un vínculo laboral con el actor, ver sentencia del 13 de marzo de 2013, exp. 25569.
DAÑO ANTIJURIDICO - Pérdida de cultivos consecuencia de la reducción del caudal del río Pescador / FALLA DEL SERVICIO - Ausencia de adopción de medidas preventivas encaminadas a evitar la reducción del caudal del río Pescador
La Sala encuentra probado el daño antijurídico alegado por el grupo demandante, en cuanto sus integrantes como beneficiarios del río Pescador –única fuente hídrica para la irrigación de sus cultivos–, perdieron –en todo o en parte– lo sembrado ante la disminución y posterior ausencia de agua para abastecerlos, actuación claramente derivada del cerramiento de las compuertas para llenar la represa con el caudal del mencionado río… El Tribunal Administrativo de primera instancia atribuyó responsabilidad patrimonial a la entidad demandada C.V.C., con fundamento en el daño especial, sin embargo, la Sala encuentra que dicha responsabilidad patrimonial está comprometida pero a título de falla en el servicio, dado que existen diversas situaciones, todas ellas constitutivas de irregularidades que permiten determinar que la entidad pública demandada no actuó con la diligencia y con el cuidado necesarios para evitar esa clase de problemas, amén de que con ese actuar la C.V.C., incumplió diversas obligaciones por ella contraídas como contraprestación del otorgamiento de la licencia ambiental, tal como lo consideró la interventoría ambiental del proyecto al sostener que todo ello constituía una… Situación fuertemente crítica que desdice y va en contravía de todo lo establecido en la licencia ambiental y con base en ello, precisamente, se abrió investigación de índole disciplinaria en contra de la C.V.C. Para la Sala resulta completamente claro que el proyecto SARA-BRUT, al menos en cuanto se refiere al abastecimiento de la represa, se antepuso al mantenimiento y a la conservación del caudal ecológico del río Pescador, principal fuente hídrica para el cumplimiento de ese proyecto y única fuente de riego de los cultivos pertenecientes a los usuarios de esa cuenca hidrográfica, toda vez que se prefirió y, por ende, se incrementó el nivel de agua para llenar la presa y, como consecuencia obligada de ello, ese mismo caudal se redujo a un nivel no apto para la otra parte que se beneficiaba desde antes del mismo caudal, propio del cauce normal del río, lo cual trajo consigo, de manera inexorable, la pérdida del fluido destinado para atender las concesiones otorgadas a los agricultores de la zona con base en la mencionada fuente hídrica… La Subsección en modo alguno desconoce que la aludida reducción del caudal ecológico del río Pescador para la parte posterior de la presa la autorizó el Ministerio del Medio Ambiente –entidad no demandada ni vinculada al presente proceso–, pero no por ello puede o debe excluirse la participación directa y determinante de la C.V.C., en que esa situación se produjera, puesto que fue ella misma la que solicitó, de un lado, el ingreso de tres municipios más al proyecto SARA-BRUT en condición de beneficiarios y, del otro, la consiguiente reducción del caudal ecológico del río Pescador –peticiones incluso consideradas contradictorias por la interventoría Ambiental–, sin tener en cuenta el irrisorio caudal ecológico con el cual contarían los demás usuarios del río Pescador que días después resultarían gravemente afectados con ese hecho… la parte demandada permaneció desprevenida y pasiva frente a esa problemática, lo cual llevó a las consecuencias ya conocidas, cuestión que precisamente desencadenó la respectiva investigación disciplinaria, lo cual corrobora la desatención y la conducta irregular por parte de la C.V.C., respecto de las obligaciones contraídas en la licencia ambiental y en el proyecto en sí mismo. De conformidad con todo lo expuesto, la Sala encuentra comprometida la responsabilidad patrimonial de la demandada Corporación Autónoma Regional del Valle del Cauca por el daño causado al grupo actor.
FUENTE HIDRICA DEL ESTADO - Río Pescador / REGIMEN ESPECIAL - El aprovechamiento, ocupación o explotación de fuentes hídricas del Estado se permite a través del otorgamiento de concesiones / CONCESION DE FUENTE HIDRICA - Es Otorgada por Corporaciones Autónomas Regionales / CONCESION DE FUENTE HIDRICA - Condición de usuario
En el presente caso, se trata de una fuente hídrica del Estado y su uso se encuentra sometido a un régimen especial, toda vez que su aprovechamiento, ocupación o explotación, sólo se permite a través de la concesión y, en todo caso, su administración y autorización para tal uso radica en cabeza del Estado, tal como lo prevén el artículo 155 del Decreto-ley 2811 de 1974 y 31 de la Ley 99 de 1993… Por consiguiente, la condición de usuario de una fuente hídrica deriva del otorgamiento de la respectiva concesión por parte de la Corporación Autónoma Regional respectiva, en este caso por la C.V.C., razón por la cual quienes pretendan formar parte del grupo actor necesariamente deberán acreditar dicha calidad, mediante el acto correspondiente.
FUENTE FORMAL: LEY 99 DE 1993 - ARTICULO 31 / DECRETO LEY 2811 DE 1974 - ARTICULO 155
USUARIO DEL RIO PESCADOR - Requisitos para su acreditación / ACTO ADMINISTRATIVO DE CONCESION - Medio probatorio idóneo para demostrar la condición de usuario del río Pescador
Acerca de la calidad que se obtiene de usuario legal de las fuentes hídricas del Estado mediante la concesión otorgada por la Corporación Autónoma Regional correspondiente, la Sala advierte que aquellas personas que pretendan integrar el grupo demandante como usuarias del río Pescador y, por ende, afectadas con el cerramiento de las compuertas con ocasión del proyecto SARA-BRUT, en cuanto hubieren tenido la condición de cesionarias, arrendatarias, comodatarias y/o usufructuarias de los concesionarios de dicha fuente hídrica para la irrigación de sus cultivos, deberán acreditar, de un lado, que los titulares del uso del mencionado río eran concesionarios legales o debidamente constituidos, es decir, que tenía una concesión otorgada y, de otro lado, que tales concesionarios tenían autorización para arrendar, ceder o prácticamente transferir el uso de las aguas del río que mediante concesión les fue otorgada por la C.V.C., toda vez que ese aprovechamiento, se reitera, sólo se efectúa mediante la mencionada figura… En el presente proceso no se acreditó, en debida forma, que los actores que resultaron beneficiados de la condena de primera instancia hayan sido o sean legalmente usuarios del río Pescador, dado que no obran en el expediente los respectivos actos por medio de los cuales la C.V.C., les habría otorgado la concesión respectiva… El artículo 65 de la Ley 472 de 1998, le ordena al juez que la condena respectiva debe corresponder a una indemnización colectiva, en modo alguno contempla la posibilidad de que la misma pueda proferirse en abstracto. Lo anterior, bueno es precisarlo, de manera alguna releva a TODOS los actores de allegar ante el Fondo para la Defensa de los Derechos e Intereses Colectivos los documentos que corroboren su condición de usuarios -debidamente constituidos- del río Pescador, mediante el aporte, en copia autenticada o en su original, de los actos administrativos por medio de los cuales se les otorgó la concesión para el aprovechamiento del agua del río Pescador y, desde luego, tal autorización deberá haber estado vigente para la época de ocurrencia de los hechos, motivo por el cual el pago de la condena correspondiente para cada uno de ellos estará supeditada a la verificación de tales presupuestos por parte del aludido Fondo.
FUENTE FORMAL: CODIGO CIVIL - ARTICULO 677 / DECRETO LEY 2811 DE 1974 - ARTICULO 80 / DECRETO LEY 2811 DE 1974 - ARTICULO 83 / DECRETO LEY 2811 DE 1974 - ARTICULO 86 / DECRETO 1541 DE 1978 - ARTICULO 5 / DECRETO LEY 2811 DE 1974 - ARTICULO 94 / DECRETO LEY 2811 DE 1974 - ARTICULO 95 / LEY 472 DE 1998 - ARTICULO 65
NOTA DE RELATORIA: La Sección Tercera de esta Corporación en sentencia del 26 de septiembre de 2002, exp. 12.492, M.P. Alier Eduardo Hernández Enríquez, consideró que un uso diferente de las aguas de dominio público se encuentra sujeto a concesión.
DERECHO A LA IGUALDAD - Distinción en la indemnización entre quienes formaron parte del grupo actor desde el inicio de la litis y las personas que se harán parte en el futuro
La Sala estima que si en esta sentencia no se distingue a las personas que formaron parte del grupo actor desde el inicio de la litis entre aquellas que probablemente lo harán más adelante sin haber tenido que asumir la carga de demostrar tal condición, se estaría incurriendo en una vulneración del derecho a la igualdad de las primeras, pues, se reitera, estas personas asumieron las contingencias, los riesgos, las erogaciones, los esfuerzos y, en sí, muchas de las cargas que el ejercicio de su derecho de acción les generó, de suerte que ese mérito debe resultar reflejado en una decisión distinta frente a ellos, en este caso con una indemnización concreta que resarza el daño a ellos irrogado, por lo cual la Sala efectuará la diferencia entre unos y otros y lo hará con base en el mencionado documento de la interventoría ambiental.
PRUEBA PERICIAL - Características / PRUEBA PERICIAL - Condiciones para su eficacia probatoria / DICTAMEN PERICIAL - Elementos / DEBER DEL JUEZ - Valoración de la prueba de conformidad con la sana crítica
De conformidad con el artículo 233 del Código de Procedimiento Civil, la peritación como medio de prueba es procedente para verificar hechos que interesen al proceso y requieran especiales conocimientos científicos, técnicos o artísticos. El perito debe informarle razonadamente al juez lo que de acuerdo con esos conocimientos especializados sepa de los hechos –y no cuestiones de Derecho– que se sometan a su experticio, sin importarle a cuál de la partes beneficia o perjudica, por manera que su dictamen debe ser personal y contener conceptos propios sobre las materias objeto de examen y no de otras personas por autorizadas que sean, sin perjuicio de que pueda utilizar auxiliares o solicitar por su cuenta el concurso de otros técnicos, bajo su dirección y responsabilidad, todo ello de acuerdo con lo normado en el numeral 2 del artículo 237 del C. de P. Civil. Para su eficacia probatoria, la prueba pericial debe reunir ciertas condiciones de contenido, a saber: a) la conducencia en relación con el hecho a probar; b) que el perito sea competente, es decir, un verdadero experto para el desempeño del cargo; c) que no exista un motivo serio para dudar de su imparcialidad; d) que no se haya probado una objeción por error grave; e) que el dictamen esté debidamente fundamentado y sus conclusiones sean claras firmes y consecuencia de las razones expuestas; f) que haya surtido contradicción; g) que no exista retracto del mismo por parte de perito y en fin que otras pruebas no lo desvirtúen. El dictamen del perito debe ser claro, preciso y detallado; en él se deben explicar los exámenes, experimentos e investigaciones efectuadas, lo mismo que los fundamentos técnicos, científicos o artísticos de las conclusiones, según las voces del numeral 6 del artículo 237 del C. de P. C. A su turno, el artículo 241 ejusdem señala que al valorar o apreciar el juez el dictamen de los peritos tendrá en cuenta la firmeza, precisión y calidad de sus fundamentos, la competencia de los peritos y los demás elementos probatorios que obren en el proceso. Con esto se quiere significar que el juez es autónomo para valorar el dictamen y verificar la lógica de sus fundamentos y resultados, toda vez que el perito es un auxiliar de la Justicia, pero él no la imparte ni la administra… En suma, el juez está en el deber de estudiar bajo la sana crítica el dictamen pericial y en la libertad de valorar sus resultados; si lo encuentra ajustado y lo convence, puede tenerlo en cuenta total o parcialmente al momento de fallar; o desechar sensatamente y con razones los resultados de la peritación por encontrar sus fundamentos sin la firmeza, precisión y claridad que deben estar presentes en el dictamen para ilustrar y transmitir el conocimiento de la técnica, ciencia o arte de lo dicho, de suerte que permita al juez de la causa otorgarle mérito a esta prueba por llegar a la convicción en relación con los hechos objeto de la misma.
FUENTE FORMAL: CODIGO DE PROCEDIMIENTO CIVIL - ARTICULO 233 / CODIGO DE PROCEDIMIENTO CIVIL - ARTICULO 237
NOTA DE RELATORIA: En relación con la prueba pericial, ver sentencia de la Sección Tercera de esta Corporación del 16 de abril de 2007, exp. 2002-00025-02(AG), C.P. Ruth Stella Correa Palacio.
PRUEBA PERICIAL - Es pertinente y conducente para la cuantificación de los perjuicios a los usuarios del río Pescador
La Subsección acogerá el dictamen pericial -con su respectiva aclaración y complementación- rendido en el proceso, toda vez que aprecia la correcta identificación de las fuentes utilizadas por el perito y el método de valoración de la pérdida, lo cual ofrece el mérito y la credibilidad suficientes para determinar lo que en él se consignó, además de que se trata de una prueba debidamente allegada al proceso y su objeto se encuentra íntimamente ligado con la finalidad del mismo, esto es cuantificar los perjuicios a los demandantes por la afectación de sus cultivos a causa de la falta de agua para su irrigación, con lo cual se cumplen los presupuestos de pertinencia y conducencia del medio probatorio; frente a la prueba se garantizó plenamente el ejercicio del derecho de contradicción por parte de los sujetos procesales, tal como de manera amplia se expuso en el auto que denegó la petición de nulidad procesal que elevó la parte demandada en su recurso de apelación. A lo anterior se agrega que la prueba técnica se basó en documentación allegada en debida forma al expediente; también registra las investigaciones, datos, cifras y estadísticas acogidas por el perito de información suministrada por personas –naturales y jurídicas– involucradas directamente con la actividad agrícola en la región donde estaban ubicados los cultivos, amén de encontrar sustento y coincidencia tanto con la inspección judicial practicada respecto de cada predio afectado, como con las declaraciones recepcionadas en dicha diligencia a terceras personas, quienes, también en forma directa, conocían la situación de cada predio, sus extensiones, los cultivos allí sembrados y la producción -al menos comparativamente con otros años- de cada fundo, porque precisamente trabajaban en ellos; de igual manera, el perito explicó la metodología utilizada e incluyó los respectivos soportes, los cuales fundamentaron cada una de sus conclusiones, así como los cálculos y las fórmulas que arrojaron los resultados a los que arribó el auxiliar de la Justicia.
INTEGRACION DEL GRUPO DENTRO DE LOS 20 DIAS SIGUIENTES A LA PUBLICACION DEL FALLO - Se debe demostrar la calidad de concesionario del Río Pescador
Ante la eventualidad de que personas que no intervinieron expresamente en el presente litigio acudan al Fondo para la Defensa de los Intereses Colectivos, para acogerse a este fallo dentro de los veinte (20) días siguientes a su publicación, según lo dispone el artículo 55 de la Ley 472, la Sala insiste en que para tal efecto deberán demostrar su condición de concesionarios de las aguas del río Pescador, vigente para el mes de junio del año 2002, mediante el respectivo acto -en copia auténtica o en su original- a través del cual la C.V.C., les concedió la aludida concesión y que en el evento en el cual algunos de los posibles beneficiarios de la condena hubieren sido usuarios de dicha fuente hídrica como cesionarios o arrendatarios de quienes tenían concesión para el efecto, se deberá igualmente acreditar que los concesionarios contaban con la debida autorización para ceder, arrendar o, en general, transferir tal concesión por parte de la C.V.C., tal como lo dispone el ya mencionado artículo 95 del Decreto 2811 de 1974.
FUENTE FORMAL: DECRETO 2811 DE 1974 - ARTICULO 95 / LEY 472 DE 1998 - ARTICULO 55
NOTA DE RELATORIA: Al respecto, ver sentencias del 15 de agosto de 2007, exp. 2003-00385-01 (AG), M.P. Mauricio Fajardo Gómez; y del 1 de noviembre de 2012, exps. 1999-0002-04 y 2000-00003-04 (AG), M.P. Enrique Gil Botero, ambas de la Sección Tercera de esta Corporación.
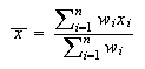
INDEMNIZACION COLECTIVA EN ACCION DE GRUPO - Contiene la suma ponderada de las indemnizaciones individuales / CUANTIFICACION DE LA INDEMNIZACION - Media aritmética ponderada: estimativo de integrantes del grupo, actuales y futuros / CALCULO ESTIMATIVO - No representa un límite máximo de personas que puedan acceder al pago de la indemnización
La Ley 472 establece, en su artículo 65-1, que la sentencia dictada en el curso de una acción de grupo, en tanto sea estimatoria de las pretensiones, habrá de disponer el pago de una indemnización colectiva, que contenga la suma ponderada de las indemnizaciones individuales. Pues bien, para indemnizar a aquellos integrantes del grupo que no acudieron al proceso pero que quedarán cobijados por los efectos del presente fallo -beneficiarios- y que se encuentren habilitados para formular sus respectivas solicitudes de pago, se utilizará el método de cálculo de la media aritmética ponderada, para realizar un estimativo acerca de tales potenciales integrantes con el único fin de establecer el monto de la suma que la parte demandada deberá entregar al Fondo para la Defensa de los Derechos e Intereses Colectivos para la realización de dichos pagos, pero dejando claro que tal estimativo no comporta límite máximo alguno en el número de integrantes que pudiere impedir a estos la posibilidad de acudir a obtener el pago de su reconocimiento en caso de que superen el número que ha de tenerse en cuenta para efectos del cálculo correspondiente y menos que el mencionado Fondo pueda entender, a partir de dicho número de potenciales integrantes, que no podrá recibir solicitudes válidas que superen el mismo o que no podrá efectuar los pagos respectivos a quienes se presentaren con posterioridad al último integrante que corresponda al número que ha de utilizarse para el cálculo anunciado.
FUENTE FORMAL: LEY 472 DE 1998 - ARTICULO 65
INTEGRACION DEL GRUPO - Estimación de personas que se harán parte del grupo dentro de los veinte días siguientes a la publicación del fallo / EXCEDENTE DE LA INDEMNIZACION - Devolución al demandado
Para efectos de determinar la indemnización colectiva, la Sala acogerá el número de usuarios previsto por la C.V.C., por tratarse de una relación que proviene no sólo de la parte demandada, sino de la autoridad que, según la ley, le compete autorizar, mediante la concesión respectiva, el uso de una fuente hídrica pública, en este caso el río Pescador, por manera que se trata precisamente de la entidad que puede y debe tener la información precisa respecto de tales usuarios… De ese modo, a los 92 posibles usuarios se le deben descontar los 8 actores que en este litigio tendrán derecho -si acreditan ser concesionarios legales del río Pescador- a recibir la indemnización anteriormente descrita; también habrán de reducirse los actores a quienes les fueron denegadas las súplicas de la demanda en sede de primera instancia, o sea 5 demandantes, para cuyo efecto se tiene entonces que los eventuales beneficiarios de la aludida fuente hídrica serían 79 actores. Ahora bien, la Sala ya ha dejado claro -porque incluso la propia parte actora lo precisó en la demanda- que el grupo demandante en este proceso también está integrado por personas que no tenían autorización legal para abastecer sus cultivos con el agua del río Pescador para la época de los hechos, cuestión que permite inferir que ese número de 79 posibles usuarios resultará reducido en fracción, toda vez que la relación hecha por la C.V.C., no se refiere, de manera puntual, a concesionarios o usuarios con concesión o licenciamiento legal, sino que lo hizo, en términos generales, en relación con los usuarios de la parte baja del río Pescador. Sin embargo, no es posible establecer un dato exacto en relación con las personas que carecían del aludido título habilitante y, por esa misma razón, se desconoce cuántas serían las personas que tenían concesión para ser considerados usuarios legales del río Pescador, motivo por el cual la Sala mantendrá el número de 79 beneficiarios potenciales de este proveído para efectos de fijar la suma ponderada, sin que ello comporte un detrimento del erario, dado que, como ya anticipó, ese número posiblemente se reduzca, tema del cual se ocupa el inciso final del artículo 65-3 de la Ley 472 de 1998, al disponer, en forma mandatoria, que los dineros restantes, después de haber pagado todas las indemnizaciones serán devueltos al demandado.
FUENTE FORMAL: LEY 472 DE 1998 - ARTICULO 65
CUANTIFICACION DE LA INDEMNIZACION - Media aritmética ponderada: factores de ponderación / CUANTIFICACION DE LA INDEMNIZACION - Aplicación del cálculo matemático por promedio ponderado y no por promedio simple
Con el fin de estimar un dato promedio de las eventuales reclamaciones, se procederá a aplicar la fórmula de la media aritmética ponderada, en este caso utilizando como factor de ponderación la extensión de cada terreno cultivado, expresado en la unidad de medida por hectáreas, de acuerdo con el monto de la pérdida estimada en cada cultivo-. Para el presente caso, el factor de ponderación que arroja el dictamen corresponde al área de terreno (hectáreas), por tipo de cultivo, para cuyo efecto debe tenerse en cuenta que todas las personas fueron afectadas, pero no todas en igual proporción, habida consideración de que las superficies cultivadas eran distintas respecto de cada demandante, además del tipo de cultivo, el número de cultivos y la estructura de costos y gastos de acuerdo con lo que estimó la indemnización del dictamen pericial practicado en este proceso. Así las cosas, el monto a aprovisionar por cada posible reclamante estará cuantificado mediante el valor promedio de la pérdida por hectárea y por cultivo que arrojó la muestra de los 26 cultivos observados, es decir la suma individual de $ 2'418.331.39, multiplicado por el número de personas que se estiman afectadas (79), de $191'048.179,81 como indemnización total estimada para el grupo afectado, suma inferior a la estimada por el Tribunal Administrativo de primera instancia en el fallo apelado, esto es $ 433'700.000. Se advierte que la diferencia obedece a la que el Tribunal Administrativo a quo aplicó una proporción simple, de lo cual se aparta la Sala por cuanto se debe calcular un promedio ponderado, el cual en este caso no hace otra cosa que considerar el peso específico de los distintos cultivos que fueron materia de análisis, para proyectar una indemnización estimada para el grupo afectado, siguiendo los términos que sugiere la expresión de la suma ponderada referida por la ley, es decir, que el cálculo matemático debe considerar un promedio ponderado y no un promedio simple, precisamente para reconocer los distintos factores que pesan sobre la pérdida estimada en cada cultivo. Ahora bien, teniendo en cuenta que los montos que sirvieron de fundamento para determinar la suma ponderada provienen del valor de las pérdidas reportadas en el dictamen pericial, calculadas a junio del año 2002, se impone actualizar el respectivo rubro a valor presente.
CONSEJO DE ESTADO
SALA DE LO CONTENCIOSO ADMINISTRATIVO
SECCION TERCERA
SUBSECCION A
Consejero ponente: HERNAN ANDRADE RINCON (E)
Bogotá, D.C., veintiséis (26) de noviembre de dos mil catorce (2014).
Radicación número: 76001-23-31-000-2003-00834-02(AG)
Actor: SANTIAGO QUINTERO TEJADA Y OTROS
Demandado: DEPARTAMENTO DEL VALLE DEL CAUCA Y OTROS
Decide la Sala el recurso de apelación interpuesto por la Corporación Autónoma Regional del Valle del Cauca –CVC–, parte demandada, en contra de la sentencia dictada por el Tribunal Administrativo del Valle del Cauca el día 29 de junio de 2007, mediante la cual dispuso:
“PRIMERO: DECLÁRASE (sic) INFUNDADAS las excepciones de 'Ineptitud de la Demanda' e 'Improcedencia de la Acción Interpuesta', formuladas por la Corporación Autónoma Regional de Valle del Cauca –CVC–, el Departamento del Valle del Cauca y MAPFRE Seguros Generales de Colombia.
SEGUNDO: DECLÁRASE PROBADA la excepción de 'Falta de Legitimación en la Causa por Pasiva', propuesta por los demandados Sociedad Acueductos y Alcantarillados del Valle del Cauca S.A. E.S.P. –ACUAVALLE S.A. E.S.P.–, MAPFRE Seguros Generales de Colombia, llamada en garantía por la primera y el Departamento del Valle del Cauca.
TERCERO: ABSUÉLVESE de toda responsabilidad administrativa a la empresa CONCONCRETO S.A., por los hechos a que se contrae la presente acción.
CUARTO: DECLÁRASE administrativa y patrimonialmente responsable a la Corporación Autónoma Regional del Valle del Cauca –CVC–, por los perjuicios infringidos al grupo actor derivados de la ejecución del proyecto 'Sistema de Abastecimiento Regional de Agua para los municipios de Bolívar, Roldanillo, La Unión, Toro, Zarzal, La Victoria, Obando y los Corregimientos de Ricaurte y la Herradura en el Departamento del Valle del Cauca', -SARA-BRUT.
QUINTO: Como consecuencia de la declaración anterior CONDÉNASE a la Corporación Autónoma Regional del Valle del Cauca –CVC–, a pagar por concepto de perjuicios materiales, a favor del grupo actor, una indemnización colectiva que asciende a la suma ponderada de las indemnizaciones individuales, equivalente a mil ciento cuarenta y cuatro millones diecinueve mil ciento veintinueve pesos con cuarenta y tres centavos ($1.144.019.129.43) M/Cte., suma que se pagará en la forma y términos señalados en la parte motiva de esta providencia. Dicha cantidad será depositada en el Fondo para la Defensa de los Derechos e Intereses Colectivos de la Defensoría del Pueblo, dentro de los diez (10) días siguientes a la ejecutoria de esta providencia y será administrada por el Defensor del Pueblo, quien también estará a cargo de pagar las indemnizaciones individuales del grupo, presentes y ausentes del proceso. Todas las solicitudes presentadas oportunamente se tramitarán y decidirán conjuntamente mediante acto administrativo en el cual se reconocerá el pago de la indemnización previa comprobación de los requisitos exigidos en la sentencia para demostrar que forma parte del grupo en cuyo favor se decretó la condena (inc. 2°, literal b, numeral 3°, Art. 65 de la Ley 472 de 1998).
SEXTO: Para efectos del pago de la respectiva indemnización, los miembros presentes del grupo actor se acreditarán ante el Defensor del Pueblo con su documento de identidad, a quien se reconocerán las siguientes sumas de dinero:
-Para JAIME ANTONIO VASQUEZ OSPINA, la suma de Doce millones seiscientos setenta y cinco mil ciento cuarenta y cinco pesos con cuarenta y un centavos ($12.675.145.41)M/Cte.
-Para JOSE ANTONIO GUEVARA MENDOZA, la suma de Veintiséis millones seiscientos once mil cuatrocientos noventa y nueve pesos con treinta y dos centavos ($26.611.499.32)M/Cte.
-Para EFRAIN MARMOLEJO BENITEZ, la suma de Veinticuatro millones ochocientos treinta y cinco mil doscientos noventa y siete pesos con treinta y cinco centavos ($24.835.297.35)M/Cte.
-Para VICTOR HUGO MARMOLEJO BENITEZ, la suma de Noventa millones ochocientos siete mil once pesos con ochenta y nueve centavos ($90.807.011.89)M/Cte.
-Para PIEDAD CRISTINA MARMOLEJO BENITEZ, la suma de Quince millones quinientos un mil ochocientos veintiocho pesos con noventa y seis centavos ($15.501.828.96)M/Cte.
-Para SANTOS IVAN EDUARDO CAICEDO SOTO, la suma de Treinta y dos millones novecientos sesenta y dos mil setecientos ochenta y siete pesos con sesenta y seis centavos ($32.962.787.66)M/Cte.
-Para LUIS ALVARO GARCIA, la suma de Veinte millones cuatrocientos treinta mil quinientos noventa y dos pesos con treinta y seis centavos ($20.430.592.36)M/Cte.
-Para JULIAN CIRO CAICEDO SOTO, la suma de Ochenta y tres millones quinientos cincuenta y cinco mil sesenta y tres pesos con dos centavos ($83.555.063.02)M/Cte.
-Para EDUAR GARCIA SERNA, la suma de Diez millones ochocientos dieciocho mil ochocientos cuatro pesos con quince centavos ($10.818.804.15)M/Cte.
-Para BLAS ANTONIO GUEVARA MONDRAGON, la suma de Dos millones ciento treinta y un mil cuatrocientos cuarenta y dos pesos con treinta y seis centavos ($2.131.442.36)M/Cte.
-Para JOSE ORLANDO VALENCIA GRISALES, la suma de Trece millones quinientos cincuenta y siete mil novecientos noventa y un pesos con treinta y seis centavos ($13.557.991.36)M/Cte.
-Para EUGENIO OVIEDO TORO, la suma de Dieciséis millones setecientos dieciocho mil ochocientos noventa y cinco pesos con dieciséis centavos ($16.718.895.16)M/Cte.
-Para JOSE VICENTE RIVERA OVIEDO, la suma de Treinta y cinco millones cuatrocientos setenta y un mil cuatrocientos ochenta y nueve pesos con dos centavos ($35.471.489.02)M/Cte.
-Para DARIO VARELA GOMEZ, la suma de Siete millones doscientos veinticinco mil cuatrocientos setenta y tres pesos con cuarenta y nueve centavos ($7.225.473.49)M/Cte.
-Para HECTOR AVILA ANDRADE, la suma de Doce millones cuatrocientos ochenta y tres mil setenta y tres pesos con ochenta y siete centavos ($12.483.073.87)M/Cte.
-Para ORLANDO CABAL TORO y SANTIAGO QUINTERO TEJADA, la suma de Doscientos sesenta y nueve millones seiscientos tres mil veintidós pesos con noventa y tres centavos ($269.603.022.93)M/Cte.
-Para RUBEN DARIO TASCON RODRIGUEZ, la suma de Once millones ochocientos un mil ciento sesenta y siete pesos con treinta y tres centavos ($11.801.167.33)M/Cte.
-Para JAVIER QUIZA TOMICH, la suma de Once millones ciento cincuenta mil doscientos sesenta y cinco pesos con cincuenta y un centavos ($11.150.265.51)M/Cte.
-Para HEBERT MONDRAGÓN MONDRAGÓN, la suma de Once millones novecientos setenta y ocho mil doscientos ochenta y ocho pesos con treinta centavos ($11.978.288.30)M/Cte.
En cuanto a los miembros ausentes del grupo, para poder acceder a tales reconocimientos deberán cumplir completamente las exigencias arriba indicadas. Los dineros restantes después de haber pagado todas las indemnizaciones serán devueltos a la Corporación Autónoma Regional del Valle del Cauca –CVC– (inc. final, lit. b, num. 3, Art. 65, Ley 472/98).
SEPTIMO: REMITASE por intermedio de la secretaría del Tribunal al señor Defensor del Pueblo, copia debidamente autenticada de la presente sentencia.
OCTAVO: PUBLÍCASE, por una sola vez, un extracto de la sentencia en firme, en un diario de amplia circulación nacional y a cargo de la Corporación Autónoma Regional del Valle del Cauca –CVC–, dentro del mes siguiente a la respectiva notificación, con la prevención a todos los interesados igualmente lesionados por los mismos hechos y que no concurrieron al proceso, para que se presenten, dentro de los veinte (20) días siguientes a dicha publicación, para reclamar la indemnización correspondiente.
NOVENO: ENVÍESE, por la Secretaría del Tribunal, copia de la demanda, del auto admisorio de la misma y del fallo definitivo, al Registro Público de Acciones Populares y de Grupo de la Defensoría del Pueblo (Art. 80, Ley 472/98).
DECIMO: FÍJANSE como honorarios a favor del abogado JOSE CONRADO ORTIZ MUÑOZ, identificado con Cédula de Ciudadanía No. 16.742.899 de Cali, portador de la T.P. No. 95.906 del C.S.J., el diez por ciento (10%) de la indemnización que obtenga cada uno de los miembros del grupo que no haya sido representado judicialmente.
DECIMO PRIMERO: CONDÉNASE EN COSTAS en la proporción anteriormente establecida, a la Corporación Autónoma Regional del Valle del Cauca –CVC–, por resultar vencida en juicio.
DECIMO SEGUNDO: NIÉGANSE las demás pretensiones de la demanda”.
I. A N T E C E D E N T E S
1.- La demanda.
En escrito presentado el 14 de marzo de 2003, el grupo demandante integrado por los ciudadanos Robert Jairo Echeverri Cañarte, Santiago Quintero Tejada, Rubén Darío Tascón Rodríguez, Héctor Ávila Andrade, Santos Iván Eduardo Caicedo Soto, Darío Varela Gómez, Hébert Mondragón Mondragón, Horacio Andrade Mesa, José Orlando Valencia Grisales, Eduar García Serna, José Antonio Guevara Mendoza, Julián Ciro Caicedo Soto, Iván Fajardo, Orlando Cabal Toro, Jaime Antonio Vásquez Ospina, José Vicente Rivera Oviedo, Blas Antonio Guevara Mondragón, Víctor Hugo Marmolejo, Eugenio Oviedo Toro, Luis Álvaro García, Efraín Marmolejo Benítez, Elvira Benítez de Marmolejo, Carlos Alberto Andrade Pérez, Piedad Cristina Marmolejo Benítez y Javier Quiza Tomich, por intermedio de apoderado judicial, interpuso demanda en ejercicio de la acción de grupo contra la Corporación Autónoma Regional del Valle del Cauca, el Departamento del Valle del Cauca y la Sociedad Acueductos y Alcantarillados del Valle del Cauca S.A., E.S.P. –ACUAVALLE S.A. E.S.P.–con el fin de obtener <<la indemnización colectiva causada por la suspensión total e injustificada de las aguas del río Pescador>.
2.- Los hechos.
El grupo demandante narró, en síntesis, los siguientes:
El 1 de enero de 2001 se iniciaron las obras en el Municipio de Bolívar, Departamento del Valle del Cauca, para la ejecución del proyecto denominado SARA-BRUT, el cual consistía en un sistema de abastecimiento regional de agua para siete municipios de ese Departamento, cuya fuente era el río Pescador, el cual, a su vez, era abastecido por las subcuencas de los ríos Platanares y Calamar.
El proyecto tenía la respectiva licencia ambiental, concedida mediante Resolución 0532 de 1999 –modificada parcialmente por las Resoluciones 0306 y 0542 de 2002–, expedidas por el Ministerio del Medio Ambiente.
La C.V.C., debía garantizar unos niveles ecológicos determinados en los mencionados actos administrativos y el día 13 de junio de 2002 se cerró la <<compuerta para iniciar el llenado del embalse por parte de la empresa contratista CONCONCRETO>>, con lo cual, a partir de ese día, se suspendió el fluído del cauce del río Pescador y, por lo tanto, los actores sufrieron graves perjuicios, habida cuenta de que dicho río disminuyó su caudal hasta secarse.
En el año 1997 se trató de reglamentar el uso del río Pescador a iniciativa de la comunidad y por conducto de la C.V.C., entidad que expidió la Resolución SGA 324 de 1999, se solicitó a la sociedad de Acueductos y Alcantarillados del Valle del Cauca –ACUAVALLE– la presentación de un proyecto para la reglamentación del uso de dicho río como cumplimiento del estudio de impacto ambiental para el proyecto SARA-BRUT; sin embargo, este proyecto inició su desarrollo en forma paralela y, por lo mismo, se suspendió el trámite de la aludida reglamentación.
Lo anterior, a juicio de la parte actora, evidencia que la C.V.C., y ACUAVALLE conocían desde el año 1997 que existían usuarios de aguas superficiales del río Pescador, que derivaban su sustento de las actividades agrícolas del sector, abastecidos por dicho río y, no obstante saberlo, la C.V.C. sólo efectuó el estudio del impacto ambiental del proyecto en el mes de noviembre de 2002, esto es para cuando el río Pescador se había secado y, con ello, afectado el empleo y los cultivos de los agricultores, usuarios de las aguas de dicho río.
Los afectados con ese hecho, integrantes presentes y ausentes del grupo actor, ascienden a más de 100 personas, según resulta del estudio elaborado por la C.V.C., quienes, además, eran concesionarios o usuarios legales del río Pescador, puesto que algunos contaban con las respectivas resoluciones que así los identificaban, en tanto que otros tenían celebrados contratos de arrendamiento de parcelas con quienes eran concesionarios legales, subrogándose, así, en las autorizaciones de utilización de agua para el riego de cultivos, en los términos de la Ley 1541 de 1978 <<de la cual el uso del bien público es fundamental para que cada uno de los actores pueda lograr con éxito su cultivo que es su oficio, y sin este servicio el individuo no puede ejercer ni trabajar en su oficio de agricultor>>.
Para la época en la cual se produjo el cerramiento del caudal del río Pescador para el embalse de la represa, los cultivos de los demandantes se hallaban en un estado de necesidad de riego total, pero debido a ese hecho y a la disminución constante del caudal del río hasta su extinción, se produjo la pérdida total de tales cultivos en la región.
Los contratistas y la C.V.C., tenían un plan de contingencia frente al cerramiento de las compuertas que permitían el paso de las aguas del río Pescador, el cual consistía en el funcionamiento de unas motobombas que impulsarían el agua desde el embalse –por encima de la presa– para mantener el cauce disminuído del río, medida que, pese a llevarse a cabo, no surtió efecto alguno, debido a las siguientes circunstancias:
“(…) las bombas no alcanzaron a mantener el caudal del río requerido por el Ministerio del Ambiente en la modificación a la Resolución 0545 del 18 de junio del 2002 que era de 200 litros por segundo inmediatamente aguas debajo de la presa … sumado a lo anterior, el intenso verano que afrontaba el Valle del Cauca en esos meses ejercía sobre el embalse una evaporación del agua que no dejaba subir el nivel a la cota proyectada … además los costos del funcionamiento de las bombas eran superiores a las presupuestadas (…)”.
Debido a lo anterior, se adoptó la determinación de cortar el fluido del agua en forma definitiva, pues la finalidad era llenar el embalse.
Se agregó en la demanda que:
“La bocatoma del acueducto no recibió un litro de agua y el Municipio de Bolívar sufrió la calamidad de quedarse sin agua potable para el consumo humano como lo puede advertir la empresa ACUAVALLE quien es la responsable del manejo del acueducto de este municipio.
Los diferentes cultivos, que antes del daño injusto pronosticaban una excelente cosecha para todos y cada uno de los integrantes del grupo actor, se destruyeron unos en su gran mayoría [se] perdieron totalmente y redujeron sus posibles ventas hasta en un cincuenta por ciento, otros que tenían pasto para ganado vieron cómo la producción de leche mermó considerablemente ya que utilizaban pasto de corte como comida de sus animales, este perjuicio a raíz de la falta de agua causó un detrimento patrimonial en el grupo actor sin que exista una justa causa, lo cual no puede ser patrocinado por nuestro Estado, según lo proclaman claras normas legales y constitucionales”.
3.- Contestaciones de la demanda.
3.1.- La sociedad de Acueductos y Alcantarillados del Valle del Cauca S.A., E.S.P., por intermedio de apoderado judicial, contestó la demanda e inició su oposición a la misma bajo el argumento de que no tuvo a su cargo la ejecución del proyecto denominado SARA-BRUT, pues su desarrollo fue competencia de la C.V.C., en forma exclusiva.
Añadió que ACUAVALLE S.A., E.S.P., no es responsable del manejo y regulación de las cuencas hidrográficas, entre ellas la del río Pescador y tampoco le competía la regulación de caudales en uno solo de los ríos, ni mucho menos está obligada a disponer del censo de usuarios de las aguas superficiales.
Indicó, además, que no es cierto que la planta de potabilización que opera en el Municipio de Bolívar a cargo de ACUAVALLE S.A., hubiere atravesado dificultad alguna por la supuesta ausencia de fluído de agua y, por lo mismo, la población nunca resultó afectada por falta de agua potable, ni mucho menos fue objeto de un racionamiento de ese servicio público esencial.
Sostuvo que el supuesto desastre ecológico que se aduce en la demanda no le resulta atribuible de manera alguna, por cuanto ACUAVALLE S.A., era un usuario más de las aguas del río Pescador, mediante el cual se atendía el acueducto del Municipio de Bolívar, por lo cual la C.V.C., le otorgó una concesión para el uso de las aguas de dicha fuente hídrica, tal como lo hizo con los demás usuarios de esa cuenca hidrográfica.
Agregó que no existe prueba del daño alegado por el grupo actor, pues el <<libelo se limita a hacer una serie de especulaciones de tipo técnico y a efectuar una liquidación bastante subjetiva de los presuntos perjuicios morales y materiales infringidos (sic) a la parte actora>>, a lo cual adicionó que no existe igualmente prueba del nexo de causalidad entre la actuación atribuible a esta entidad demandada y el daño deprecado, para que se configure la responsabilidad patrimonial de ACUAVALLE S.A., E.S.P.
Propuso, con fundamento en lo anterior, las excepciones de falta de legitimación en la causa por pasiva y cobro de lo no debido.
Finalmente, en el mismo escrito de contestación de la demanda, ACUAVALLE S.A., llamó en garantía a la aseguradora MAPFRE Seguros Generales de Colombia S.A., con fundamento en una póliza de seguro constituída a favor de esa entidad demandad.
3.2.- Por su parte, la C.V.C., por conducto de su mandataria judicial, se opuso a las pretensiones del grupo demandante y en relación con los hechos de la demanda sostuvo que no es cierto que a partir del mes de junio del año 2002 se hubiere suspendido en forma total el fluído del cauce del río Pescador.
Argumentó que la parte accionante confunde la figura de concesión de aguas de uso público otorgada por las autoridades ambientales con el servicio público domiciliario de acueducto respecto del cual existen unos sujetos responsables de su suministro, al tenor de lo previsto en la Ley 142 de 1994.
Indicó que las concesiones de agua constituyen una de las formas para adquirir el derecho al uso de ese recurso natural y para su otorgamiento las autoridades ambientales deben tener en cuenta un orden de prioridades, según lo dispuesto en el artículo 14 del Decreto 1541 de 1978, a las cuales se sujetó el proyecto SARA-BRUT; que el suministro de aguas se encuentra sujeto a la disponibilidad del recurso, por lo cual el Estado, en este caso la autoridad ambiental, no es responsable cuando por causas naturales no pueda garantizarse el caudal concedido.
Desestimó el señalamiento según el cual la reglamentación del río Pescador se habría hecho en el año 1997 y también sostuvo que no es cierto que la C.V.C., en el año 1999, le hubiere solicitado a ACUAVALLE S.A., la presentación de un proyecto para dicha reglamentación, pues ésta se había efectuado en el año 1977, a través de la Resolución 0146.
Señaló que las actuaciones adelantadas en el año 1999 por ACUAVALLE S.A., y por la C.V.C., consistieron, por parte de la primera entidad, en elaborar un proyecto de distribución de las aguas del río Pescador como complemento del estudio de impacto ambiental del proyecto SARA-BRUT, en tanto que la actividad desarrollada en ese año por la C.V.C., se concretó en ordenar la reglamentación del uso respecto del aludido río para ajustar aquella realizada en el año 1977 a las nuevas disposiciones previstas en la licencia ambiental y en atención a la prioridad que el Decreto 1541 de 1978 le concedió al uso del agua para consumo doméstico.
Sostuvo que el proyecto SARA-BRUT fue socializado con la población que resultaría beneficiada del mismo a partir de su ejecución y con mayor intensidad desde el mes de septiembre del año 2001, explicando los objetivos, el alcance, las bondades y las limitaciones de tal proyecto.
Agregó que para extraer del embalse el caudal ambiental previsto en la licencia ambiental, el proyecto fue dotado de un sistema independiente de captación a tres niveles, <<el cual descarga a una tubería de conducción de diámetro 10 pulgadas empalmando a un canal rectangular que conduce el agua finalmente al cauce del río>> y una vez el embalse alcanzó su primer nivel, la sociedad contratista dispuso dos sistemas para el bombeo del agua desde el embalse a través del 'rebosadero' principal, sin que durante las primeras 48 horas de represamiento del agua se hubiere presentado inconveniente alguno con el caudal ambiental señalado en la licencia del proyecto.
Expresó, además, que cuando se superó el primer nivel de embalse, debido a una restricción netamente constructiva y cuya responsabilidad es del contratista, el caudal extraído el embalse disminuyó, situación que una vez advertida por la C.V.C., fue superada mediante el retiro de la restricción que presentaba al final de la tubería de descarga del caudal ambiental; que el día 28 de junio de 2002 y por un tiempo no superior a 1 hora, se presentó una situación similar debido a razones de construcción, sin que a partir de ese último día se hubiere presentado un incumplimiento con los caudales previstos en la licencia ambiental.
Refutó el hecho según el cual el Municipio de Bolívar se habría quedado sin suministro de agua, pues dicho municipio no tuvo suspensión del servicio.
Como argumento adicional a su defensa, esta entidad accionada manifestó que el proyecto SARA-BRUT fue concebido con el propósito de darle prioridad al agua para el consumo humano y, por lo tanto, dicho proyecto responde al déficit que presentan las fuentes de agua que abastecen los sistemas de acueducto de los cascos urbanos de los Municipios de Bolívar, Roldanillo, La Unión, Toro, Zarzal, La Victoria y Obando y el corregimiento de Ricaurte.
Adicionó que el perjuicio deprecado no está sustentado en bases probatorias contundentes; que ni siquiera constituyen indicios que permitan establecer que la actuación de la C.V.C., habría sido negligente, dado que las actuaciones desarrolladas durante la ejecución de la obra se hallaban acorde con esa clase de proyectos, tales como el Estudio de Impacto Ambiental y el Plan de Manejo de Ambiental, previstos para mitigar, recuperar y compensar aquellas situaciones derivadas de la ejecución de dicho proyecto, sin que exista una sanción impuesta por parte del Ministerio del Medio Ambiente por el incumplimiento a las obligaciones impuestas en la licencia ambiental respectiva.
Propuso la excepción de inepta demanda, por cuanto la demanda se fundamenta en un perjuicio al goce del espacio público y la utilización y defensa de los bienes de uso público, aspectos frente a los cuales no procede la acción de grupo, de modo que para obtener la declaratoria de responsabilidad que supuestamente le asiste a la entidad, derivada de la ejecución de trabajos públicos, la acción que debió ejercerse era la de reparación directa.
Finalmente, en el mismo escrito de contestación de la demanda, la C.V.C., llamó en garantía a la sociedad CONCONCRETO S.A., con la cual celebró el contrato 0478 de 2000 para la construcción del sistema de abastecimiento regional de agua para los municipios antes mencionado
.
3.3.- De otra parte, el Departamento del Valle del Cauca contestó la demand; señaló, en primer lugar, que en el libelo demandatorio no se especifica cuáles fueron las áreas de cultivos que se habrían perdido, ni los semovientes que habrían resultado afectados, como tampoco se determinaron las fechas de las respectivas cosechas, las cantidades que habrían de obtenerse y las utilidades que se habrían dejado de percibir, ni tampoco se demostró cuál es la calidad que cada demandante ostenta en el proceso, es decir si son propietarios, arrendadores o tenedores de los predios supuestamente afectados, a lo cual agregó que:
“La presunta impericia, negligencia, irresponsabilidad y falta de programación oportuna en los estudios propios del proyecto por ninguna parte se precisa, no se determina con claridad la forma en que se cometieron estas fallas ni cuál era la forma correcta en que debieron realizarse las acciones censuradas para que el daño no se produjera.
“…………………
“Además, como se expresó anteladamente, el cauce del río Pescador no se suspendió totalmente, como pretende hacer creer el demandante.
“Y al no haberse presentado la extinción del caudal de aguas del río Pescador, resulta imposible predicar el nexo causal ni la causación de un daño material y menos moral.
“…………………
“En lo que a mi representado el Departamento del Valle del Cauca se refiere, por el contrario sí está promoviendo la prosperidad general y trabajando por los sectores discriminados y, además, el ente territorial no aportó recursos económicos para la realización del proyecto SARA-BRUT aquí enjuiciado, ni lo ejecutó ni intervino en su construcción.
“…………………
“Esto solo significa que el ente territorial departamental no tiene con la parte actora ninguna de las obligaciones patrimoniales reclamadas en la presente demanda”.
Con base en lo anterior, el Departamento del Valle del Cauca propuso la excepción de falta de legitimación en la causa por pasiva; también formuló la excepción de ineptitud de demanda, pues reiteró lo sostenido por la C.V.C., en punto a que la acción que debió incoarse era la de reparación directa y no la de grupo; en cuanto a la excepción denominada 'INEXISTENCIA DE LA OBLIGACION o INEXISTENCIA DE CAUSA QUE HAYA ORIGINADO EL PERJUICIO' arguyó que no existió una reducción en el caudal del río Pescador y mucho menos éste desapareció, por lo cual no existe <<obligación ni causa dañosa>.
4.- Llamamiento en garantía.
Mediante auto de fecha 25 de abril de 2003, el Tribunal Administrativo del Valle del Cauca aceptó los llamamientos en garantía efectuados, en su orden, por ACUAVALLE y la C.V.C., respecto de la compañía aseguradora MAPFRE S.A., y la constructora CONCONCRETO S.A., respectivamente, decisión que, al ser impugnada por la primera de ellas, fue confirmada por la Sección Tercera del Consejo de Estado, mediante auto de 11 de diciembre de ese mismo añ.
5.- Intervención de las sociedades llamadas en garantía.
5.1.- La aseguradora MAPFRE S.A., indicó que ACUAVALLE S.A., E.S.P., no tiene relación alguna con las obras ejecutadas por CONCONCRETO S.A., dado que el contrato para la ejecución del proyecto SARA-BRUT fue celebrado por dicha sociedad contratista con la C.V.C., y, por lo tanto, <<… el cierre de la compuerta para iniciar el llenado del embalse, que según la demanda, supuestamente se efectuó el día 13 de junio de 2.002, es un hecho ajeno a ACUAVALLE S.A., E.S.P.>>.
Insistió en el hecho de que ACUAVALLE S.A., resulta ajena a la conservación y al fluído del cauce del río el Pescador, motivo por el cual la eventual suspensión de dicha vertiente no compromete a esa empresa de servicios públicos domiciliarios.
Esta compañía se opuso a las pretensiones del grupo actor, porque estima que <<carecen de fundamentos fácticos y jurídicos que hagan viable su prosperidad, pues los hechos en que se basan son inciertos, resultando inexistente la responsabilidad>>.
Propuso la excepción 'INEXISTENCIA DE FALLA EN EL SERVICIO Y DE DAÑO ESPECIAL', la cual sustentó sobre la base de que se trata de títulos de imputación de responsabilidad distintos, a lo cual agregó que ACUAVALLE S.A., E.S.P., no tiene competencias en materia ambiental, ni le corresponde el manejo, la regulación y la conservación de cuencas hidrográficas de la región y mucho menos fue parte en el contrato celebrado para la ejecución del proyecto SARA-BRUT, razón por la cual no se le puede atribuir responsabilidad alguna bajo uno solo de los mencionados títulos.
También sostuvo que carece de legitimación en la causa por pasiva, básicamente por las razones esgrimidas en precedencia; añadió la configuración de una causa extraña, dado que <<el supuesto perjuicio alegado por los actores, siempre que se compruebe, es extraña a ACUAVALLE S.A. E.S.P.>>.
Alegó la 'CARENCIA DE PRUEBA DEL SUPUESTO PERJUICIO Y COBRO DE LO NO DEBIDO', pues considera que no debe pagar indemnización alguna, amén de que no existe prueba de la producción, de la naturaleza y menos de la cuantía del perjuicio supuestamente irrogado a los actores.
Coincidió con los demás entes demandados en proponer la excepción de inepta demanda, por cuanto, según su juicio, debió ejercerse la acción de reparación directa.
De otra parte, en relación con el llamamiento en garantía, MAPFRE S.A., se refirió a los amparos, a los montos de cobertura y a las exclusiones contenidas en la póliza de seguro otorgada a ACUAVALLE S.A., E.S.P., por cuya virtud se le vinculó al proceso como tercero intervinient.
5.2.- La compañía contratista de la obra SARA-BRUT, CONCONCRETO S.A., coadyuvó las razones esbozadas por la C.V.C., en su contestación de la demanda y agregó que el hecho dañoso debe ser cierto y real, lo cual no se presenta en este caso, pues rechazó que el río Pescador se hubiere secado y que los agricultores de la región se hubieren quedado sin abastecimiento de riego para sus cultivos, como se dijo en la demanda.
Posteriormente aludió a las características que debe revestir el daño para que sea indemnizable y, luego de ello, concluyó que el daño deprecado no era cierto, por lo cual no existe responsabilidad patrimonial alguna por parte de la C.V.C., porque, además, no existe relación de causalidad entre el daño alegado por el grupo actor y la actuación desarrollada por la C.V.C.
Agregó que
“La CVC en su defensa demostró la reglamentación legal de las concesiones para el uso del agua del Río Pescador, sus derivaciones, subderivaciones y ramificaciones para la modalidad de riego y en 1999 las ajustó de conformidad con la Licencia Ambiental para la ejecución de proyectos SARA BRUT.
“Para los usuarios y para el Operador Jurídico es claro que, otorgar una concesión no garantiza la disponibilidad del recurso, el cual puede mermar o desaparecer como consecuencia de numerosos factores como el verano intenso, la sequía, los movimientos telúricos que alteran los cauces, etc., sin que la entidad reguladora pueda ejercer un control directo ni haya sido la generadora del problema. Los derechos de los usuarios que se garantizan a través de la concesión hacen referencia específicamente a evitar la perturbación con tomas irregulares y a la distribución equitativa según las necesidades en la medida de la existencia del recurso.
“La desaparición del agua del Río Pescador por efectos climáticos es una situación que supera lo resistible y se constituye en fuerza mayor para los demandados, pero, precisamente, porque este fenómeno natural era previsible, en aras de garantizar un mejor servicio para la región, es que el proyecto Sara Brut pretende una debida regulación, siendo prioritario el abastecimiento del agua para consumo humano, tal como se consideró en la Licencia Ambiental.
“El daño alegado deberá ser probado puesto que en la demanda sólo se menciona y cuantifica globalmente. Así mismo, deberán probar que la causa eficiente del mismo fue la disminución del caudal de las concesiones durante un día y posteriormente de una hora ocurrido por situaciones dentro de la ejecución de la obra a cargo de CONCONCRETO S.A. No obstante la ocurrencia de la suspensión del fluído, resulta absolutamente inconcebible la pérdida total y parcial de los cultivos, pues ninguno, por más delicado y especial que sea, se va a perder o a atrofiar por la carencia de agua en 24 horas
.
6.- Alegatos de conclusión en primera instancia.
6.1.- La C.V.C., sostuvo que el perjuicio alegado por los actores no está probado y que no se acreditó que dicha entidad hubiere sido negligente en relación con la ejecución del proyecto que dio lugar a la demanda, al punto que las autoridades ambientales no le han impuesto sanción alguna y los requerimientos hechos han sido acatados en forma oportuna y eficaz.
Indicó que en el proceso obran unas declaraciones emitidas por los propios actores y además por unas personas que cuentan con dependencia económica y laboral para con los demandantes, por lo cual todos ellos son testigos sospechosos.
Añadió que el dictamen pericial practicado en el proceso no fue objetado por el grupo demandante, por lo cual debe ser acogido, dado que esa prueba determinó que no le asiste responsabilidad patrimonial alguna por el hecho dañoso atribuíd.
6.2.- La Compañía MAPFRE Seguros Generales de Colombia S.A., intervino en esta oportunidad y en síntesis reiteró que ACUAVALLE S.A. E.S.P., no tuvo incidencia alguna en el proyecto SARA-BRUT y, por consiguiente, no se le puede endilgar responsabilidad patrimonial en el asunto materia de litigi
.
6.3.- ACUAVALLE S.A., E.S.P., por su parte, indicó que el daño no se encuentra probado y también sostuvo que las declaraciones rendidas en el proceso no pueden acogerse como prueba, dado que unas de ellas provienen de los propios actores, en tanto que otras les fueron recepcionadas a personas que dependen de aquello
.
6.4.- Finalmente, la sociedad CONCONCRETO S.A., señaló que dentro de este caso no se configuran los presupuestos para que opere la responsabilidad patrimonial y extracontractual del Estado, amén de que no existe prueba de la responsabilidad de la sociedad llamada en garantí
.
7.- La sentencia impugnada.
El Tribunal Administrativo del Valle del Cauca, mediante sentencia proferida el 29 de junio de 200, consideró que existía falta de legitimación en la causa por pasiva respecto de las Sociedades de Acueductos y Alcantarillados del Valle del Cauca S.A., E.S.P., Mapfre Seguros Generales de Colombia S.A., y del Departamento del Valle del Cauca.
En relación con la sociedad CONCONCRETO S.A., dentro del fallo apelado se le absolvió de responsabilidad patrimonial, por considerar que <<del material probatorio no puede siquiera inferir la Sala, conducta dolosa o gravemente culposa de la empresa contratista CONCONCRETO S.A., en desarrollo y ejecución de la obra en mención, que conduzca a la prosperidad del llamamiento en garantía hecho por la CVC>>.
De otra parte, el Tribunal Administrativo a quo accedió parcialmente a las pretensiones de la demanda, puesto que sólo reconoció las indemnizaciones señaladas en la parte inicial de este proveído, a título de perjuicios materiales, toda vez que no encontró demostrados los perjuicios morales reclamados por los actores.
Para atribuirle responsabilidad patrimonial a la C.V.C., se concluyó en la sentencia materia de recurso de apelación, lo siguiente:
“En conclusión, deben acogerse las pretensiones de la demanda, –aunque en forma parcial–, pues aparecen en el proceso suficientemente demostrados los elementos que permiten imputar la responsabilidad a la demandada Corporación Autónoma Regional del Valle del Cauca –CVC– no a título de falla en el servicio porque no se encuentra probada en el expediente la negligencia, impericia o imprudencia que los actores atribuyen a la autoridad ambiental, pero sí bajo el título de imputación del daño especial, toda vez que pese a que el diseño, construcción, montaje, operación y puesta en funcionamiento del embalse SARA-BRUT –Sistema de Abastecimiento Regional de Agua–, ciertamente obedeció a la imperiosa necesidad de satisfacer un servicio público consistente en proveer de agua potable a las poblaciones de los municipios de Bolívar, Roldanillo, La Unión, Toro, Zarzal, La Victoria, Obando y los Corregimientos de Ricaurte y la Herradura en el Departamento del Valle del Cauca, y, por ende, resulta indiscutible que la administración obró no sólo en ejercicio de una actividad completamente lícita, sino también atendiendo claros y expresos preceptos constitucionales, como quiera que los servicios públicos son inherentes a la finalidad social del Estado y es deber de éste asegurar su prestación eficiente a todos los habitantes del territorio nacional, no obstante ello, se repite, se impuso a los actores –todos ellos dignos representantes de un grupo de especial relevancia social, dada su condición de modestos labriegos quienes de la noche a la mañana vieron truncados sus esfuerzos de varios meses, ante la pérdida inexorable de sus cultivos por la escasez de tan vital líquido, para padecer en cambio los perjuicios cuyo resarcimiento reclaman, los cuales han tenido importantes repercusiones sociales en toda el área de influencia del proyecto en cuestión–, una carga excepcional, superior a la que normal y ordinariamente deben encarar todos los ciudadanos, en la medida en que por causa del susodicho proyecto, sus condiciones de vida y hábitat natural se vieron evidentemente afectados, todo lo cual es violatorio del principio de igualdad ante la ley”.
8.- El recurso de apelación.
Inconforme con la sentencia antes referida, }}}}la Corporación Autónoma Regional del Valle del Cauca –C.V.C.– interpuso recurso de apelació; en primer lugar alegó su vulneración al debido proceso y derecho defensa de la entidad demandada; luego señaló que dentro del presente asunto el Tribunal de primera instancia incurrió en una valoración indebida del acervo probatorio.
8.1.- En relación con la supuesta violación al debido proceso y al derecho de defensa de la parte demandada, se sostuvo dentro del recurso de apelación que dentro del proceso se habría omitido el traslado para que las partes pudieran alegar de conclusión, por cuanto una vez practicada la última prueba pericial –con su respectiva aclaración y complementación– se profirió fallo de primera instancia, sin haber concedido el traslado para que la entidad demandada hubiera presentado sus alegaciones finales, dado que si bien existió una decisión en tal sentido, lo cierto es que después de esa primera oportunidad para alegar de conclusión se practicó una nueva prueba técnica, la cual dio lugar a diferentes actuaciones procesales y, por consiguiente, <<habiéndose agotado con ellas un período probatorio nuevo que recauda pruebas no consideradas por las partes y por el despacho al momento de haber corrido traslado para alegar inicialmente … era obligatorio que el despacho otorgara nuevo [término] para presentar alegatos de conclusión>>.
De otra parte, la entidad pública demandada sostuvo que en el proceso se recaudó y acogió como prueba un dictamen pericial, cuya constancia de recibido por parte del Tribunal Administrativo a quo no se encontraba bien determinada en el expediente, cuestión que según la entidad pública recurrente
“… atenta contra el derecho al debido proceso de la Corporación, toda vez que habiéndose presentado los alegatos de conclusión el día 25 de febrero de 2005 soportados en la valoración de las pruebas recaudadas y en las que se encontraba un dictamen pericial no objetado por ninguna parte y favorable a las pretensiones de la CVC, se presenta una prueba pericial que si bien había sido decretada, se allega al expediente de una manera irregular pues se dejó transcurrir el tiempo de alegar para conocer los argumentos de la Corporación y refutados con la prueba que hoy es considerada como la que determina la existencia de perjuicios”.
Indicó también en este primer punto del recurso de apelación que a través de la vulneración al debido proceso <<se produjo concomitantemente la violación al derecho de defensa de mi poderdante, puesto que al incurrir en la primera omisión puso en evidente desventaja a los demandados de la acción de grupo con relación a los demandantes, al privarlos del derecho y completa valoración de los medios probatorios>>.
8.1.1.- La resolución del primer punto contenido en el recurso de apelación.
Aunque los argumentos antes expuestos se introdujeron dentro del recurso de apelación, lo cierto es que su finalidad era obtener la declaratoria de una nulidad procesal, aspecto que fue resuelto en forma previa por el anterior Magistrado Ponente de este proceso, quien a través de auto de 15 de abril de 201, consideró lo siguiente:
“Al llevar a cabo el análisis del recurso de apelación interpuesto por la Corporación Autónoma Regional del Valle del Cauca –CVC–, en contra de la sentencia que dictó el Tribunal Administrativo del Valle del Cauca, el día 29 de junio de 2007, el Despacho encuentra que dentro del escrito que contiene dicha impugnación, la parte demandada elevó las siguientes peticiones:
1. Principal: que se revoque la sentencia apelada;
2. Subsidiaria 1: que se declare la nulidad, de pleno derecho, de un dictamen pericial rendido en el proceso, de conformidad con lo dispuesto en el artículo 29 de la Constitución Política;
3. Subsidiaria 2: que se “… DECLARE LA NULIDAD de todas las actuaciones procesales surtidas desde el auto que ordena correr traslado a las partes para alegar de conclusión inclusive (…)”.
A juicio del Despacho, la parte demandada –CVC– al elevar las peticiones que aparecen formalmente como subsidiarias, en realidad procedió a promover un incidente de nulidad procesal, de cuyo fundamento se deduce la petición de que se anule parcialmente lo actuado dentro del presente proceso, cuestión que impone un pronunciamiento en relación con los temas planteados por la C.V.C., a título de nulidad procesal, antes de que se resuelva el recurso de alzada.
Así las cosas, previo a decidir el incidente de nulidad formulado por la parte demandada, por Secretaría de la Sección DESE traslado por el término de tres (3) días a lo demás sujetos procesales, para que, si a bien lo tienen, se pronuncien en relación con dicho incidente (inciso 6° artículo 142 C. de P. C.)” (Se deja destacado en negrillas y en subrayas).
8.1.2.- Oposición al incidente de nulidad.
La parte actora señaló que la nulidad de pleno de derecho que se predicó respecto del dictamen pericial rendido en el proceso se definió en sede de primera instancia, a través de auto de 23 de febrero de 2006, por manera que la entidad demandada pretendía reabrir el debate en torno a un tema procesal ya resuelto.
Agregó que mediante auto de fecha 26 de agosto de 2005, se dio traslado a las partes del dictamen pericial que se practicó en el proceso, decisión que fue materia de impugnación por unos de los sujetos procesales y también se elevaron sendas peticiones de aclaración y de adición respecto de tal informe técnico; que tanto los recursos como las aludidas peticiones fueron objeto de las decisiones correspondientes, motivo por el cual “… no existe ninguna causal de nulidad, en la que se pueda fundar lo solicitado …”.
8.1.3.- Los demás sujetos procesales guardaron silencio dentro de esta oportunidad procesal.
8.1.4.- La definición del incidente de nulidad procesal propuesto dentro del recurso de apelación contra el fallo de primera instancia.
Por medio de proveído de 18 de junio de 201, se denegó el incidente de nulidad que propuso la parte demandada, con base en lo siguiente:
“Ahora bien, para efectos de resolver las peticiones anulatorias elevadas por la entidad pública demandada –CVC–, se efectuará la reseña procesal correspondiente, en punto al dictamen pericial que se practicó en el proceso y de las actuaciones que a partir de él se surtieron en sede de primera instancia:
1.- Dentro del proceso se decretó y se practicó una inspección judicial con intervención de un perito respecto de los predios que habrían resultado afectados con la actuación de la CVC, dentro de la ejecución del proyecto denominado SARA-BRUT.
2.- Más adelante, mediante proveído calendado el 15 de febrero de 2005 (fl. 480 c 9), el señor Magistrado Ponente en primera instancia corrió traslado a los sujetos procesales para que pudieran presentar sus alegatos de conclusión, oportunidad dentro de la cual intervinieron algunas de las partes, entre ellas la propia CVC (fls. 481 a 507 c 9).
3.- Una vez vencido el término para alegar de conclusión en primera instancia, al expediente se anexó el informe pericial que rindió el auxiliar de la Justicia que intervino durante la práctica de la referida inspección judicial (fls. 509 a 515 c 9).
4.- A través de auto de fecha 26 de agosto de 2005, todavía en primera instancia, se dio traslado a las partes respecto del aludido dictamen pericial y ello dio lugar a que el experticio fuese objeto de sendas peticiones de aclaración, corrección y adición por parte de la compañía MAPFRE Seguros Generales de Colombia y de la sociedad Acuavalle S.A., E.S.P., a propósito de se produjo el correspondiente pronunciamiento por parte del perito.
5.- De ese segundo escrito, elaborado por el perito, nuevamente se corrió traslado a los sujetos procesales, a través de proveído de 17 de marzo de 2006 (fl. 684 c 9). La prueba pericial así recaudada fue objetada por error grave tanto por la CVC, como por la compañía MAPFRE Seguros Generales de Colombia S.A. (fls. 685 a 696 c 9).
6.- Dentro de la aludida objeción por error grave, la entidad pública demandada –CVC– solicitó la práctica de un nuevo dictamen pericial (fl. 688 c 9), con el propósito de acreditar la objeción por ella propuesta, petición probatoria a la cual accedió el señor Magistrado Ponente en primera instancia, a través de auto de septiembre 18 de 2006 (fl. 714 c 9), para cuyo efecto se designó y se posesionó un segundo perito –Ingeniero Agrónomo– (fl. 722 c 9).
7.- El segundo peritaje lo rindió el segundo auxiliar de la Justicia el día 31 de enero de 2007 (fl. 739 c 9); de esa nueva prueba se dio el consiguiente traslado a las partes y respecto de ella se propuso, de nuevo, objeción por error grave por parte de la CVC, objeción que fue denegada por el Magistrado Sustanciador del proceso en primera instancia, mediante decisión de marzo 20 de 2007,
<< … toda vez que esa experticia fue decretada y presentada, con el objeto de probar a su vez, las objeciones formuladas al dictamen rendido por el perito OSCAR ALVAREZ REYES, y en esas condiciones, en los términos del art. 238 numeral 5° del C.P.C. … 'El dictamen rendido como prueba de las objeciones no es objetable …' >>. (fl. 749 c 9).
8.- También fue objeto la segunda prueba pericial de peticiones de aclaración, adición y/o complementación por parte del grupo actor, de la compañía MAPFRE Seguros Generales de Colombia S.A., y de la CVC (fls. 743 a 747 c 9), lo cual dio lugar a que a través de auto de 20 de marzo de 2007 (fl. 749 c 9), se dispusiera la aclaración y complementación del segundo dictamen, lo cual llevó al consiguiente pronunciamiento por parte del perito, a través de escrito radicado el día 26 de abril de 2007 (fls. 751 a 752 c 9).
9.- El proceso ingresó al Despacho del señor Magistrado Ponente el día 27 de abril de 2007, según el informe secretarial que obra a folio 823 (c 9); el proceso permaneció allí hasta que se dictó sentencia de primera instancia, el día 29 de junio de 2007.
A juicio del Despacho, en el presente asunto no se requería de un nuevo traslado para alegar de conclusión como lo sostiene la entidad demandada, puesto que en su momento las partes contaron de manera real y efectiva con dicha oportunidad procesal e intervinieron en ella y el hecho de que con posterioridad a esa etapa se hubiera culminado con la práctica de la prueba que se inició con la inspección judicial, en punto a la presentación del correspondiente dictamen pericial, de ninguna manera constituyó una transgresión al debido proceso; por el contrario, éste de garantizó y se materializó a plenitud.
Ciertamente, de acuerdo con la reseña que se dejó expuesta en precedencia, al Despacho no le queda el menor asomo de duda de que respecto de cada prueba pericial que se practicó en este proceso –tanto aquella rendida en desarrollo de la inspección judicial, como aquella decretada para acreditar la objeción por error grave propuesta frente a la primera– se surtieron a cabalidad los traslados respectivos para que todos los sujetos procesales pudieran conocer a cabalidad tales medios probatorios y, por lo tanto, pudieran ejercer sus correspondientes derechos de defensa y de contradicción frente a tales experticios, a través de los distintos mecanismos previstos en la ley para controvertir y/o pronunciarse respecto de ambos dictámenes periciales, como en efecto lo hicieron, en particular la CVC.
Nótese cómo la aludida entidad pública intervino de manera efectiva y sin limitaciones, dentro de todas y cada una de las oportunidades procesales que en primera instancia se le brindaron para que pudiera controvertir –como efectivamente controvirtió– la primera prueba pericial, tanto a través de la objeción por error grave, como con sus diferentes solicitudes de adición y de aclaración de dicha prueba, amén de que la práctica del segundo dictamen pericial se produjo precisamente por petición suya y más adelante tuvo de nuevo la ocasión para controvertir ese nuevo informe técnico y no dejó de hacerlo, por cuanto también formuló peticiones de complementación y/o aclaración.
En ese sentido, la Sala (sic) estima que dentro del presente asunto, lejos de existir una violación o restricción al menos al debido proceso, este fue cabalmente garantizado y con él lo fueron los derechos de defensa y de contradicción de TODOS los sujetos procesales, incluida, desde luego, la parte demandada, cuya participación fue notoria y activa dentro de cada actuación e incluso decisiva para la práctica de la segunda prueba técnica a cuyo decreto –se repite– procedió el Tribunal a quo en atención a la petición que en tal sentido formuló en su oportunidad la mencionada entidad pública demandada.
Ahora bien, después de que los sujetos procesales alegaron de conclusión, la foliatura del expediente, que en apariencia contiene la cronología de las actuaciones procesales, refleja la presentación y el consiguiente ingreso al encuadernamiento del primer informe pericial, prueba que, bueno es señalarlo, no cuenta con la respectiva nota de presentación y de recibido por el Tribunal Administrativo de primera instancia, ni con una fecha de elaboración por parte del auxiliar de la Justicia, aspectos éstos que llevaron a la CVC a advertir esa situación tanto en primera instancia, como ahora por vía del recurso de apelación, en el sentido de que en el expediente no quedó registro alguno de la fecha de entrega o presentación de esa prueba.
Al respecto se debe tener presente que el proveído de fecha 26 de agosto de 2005 (fl. 586 c 9), por medio del cual se corrió traslado a las partes del primer informe pericial rendido en el proceso, fue objeto, además, de un recurso de reposición por parte de la CVC (fl. 590 c 9), dentro del cual dicha entidad advirtió esa situación, puesto que según ella se le corrió traslado '… de un peritazgo que no aparece recibido oportuna y formalmente …' en el proceso.
Y para decidir la aludida impugnación, el Magistrado Ponente, en forma previa, requirió a la Secretaría del Tribunal Administrativo del Valle del Cauca para efectos de esclarecer la situación (fl. 602 c 9), requerimiento que tuvo respuesta en el sentido de señalar que el dictamen pericial se recibió en dicha Dependencia el día 9 de septiembre de 2004 (fl. 604 c 9).
Con base en el informe que emitió la Secretaría del Tribunal Administrativo de primera instancia, el señor Magistrado que condujo el proceso en ese nivel resolvi
el recurso de reposición que interpuso la CVC, en el sentido de mantener el auto cuestionado –por medio del cual se dio traslado a las partes del primer dictamen pericial presentado–, pues consideró que la fecha de presentación de dicha prueba había sido esclarecida y que, por lo tanto, no existía una irregularidad que viciara la validez de la actuación (fls. 607 a 610 c 9), tema que, por lo tanto, quedó definido en esa instancia.
Así pues, el Despacho estima que el argumento planteado por la entidad pública recurrente no está llamado a prosperar y, por lo tanto, no existe justificación y mucho menos causal de nulidad que invalide lo actuado a partir del recaudo del primer dictamen pericial, comoquiera que al margen de si la prueba técnica se entregó ante el Tribunal con anterioridad o después del vencimiento de la etapa de alegatos de conclusión, lo cierto es que ese medio probatorio en realidad era desarrollo o complementación de una prueba pedida, decretada y practicada de manera oportuna y con arreglo a la ley, esto es la inspección judicial con intervención de perito, cuyo inicio se produjo mucho antes de la etapa de alegatos de conclusión, por manera que resultaba completamente viable y razonable, desde el punto de vista jurídico y del orden de las cosas, que el auxiliar de la Justicia elaborara y allegara su informe como consecuencia de la inspección judicial de la cual él fue partícipe.
Por lo tanto, al tratarse de una prueba cuyos decreto y práctica fueron ampliamente conocidos por las partes, puesto que su petición la hizo oportunamente una de ellas –CONCONCRETO S.A.– y además todos los sujetos procesales pudieron intervenir en su práctica y contradecirla sin cortapisas, se impone concluir que la CVC, tenía total claridad de que el informe del perito aún no se había allegado al proceso para la fecha en que se emitió el auto que llamó a las partes a alegar de conclusión y aunque sabía perfectamente que dicho dictamen se encontraba en período de elaboración y debía integrarse a la respectiva inspección judicial, lo cierto es que nada advirtió, nada manifestó y ningún recurso interpuso al respecto, dado que una vez se corrió traslado para alegar de conclusión en primera instancia guardó absoluto silencio y procedió a presentar sus alegatos de conclusión, sin mencionar y mucho menos manifestar inconformidad alguna por la falta de incorporación del mencionado informe pericial al proceso.
En ese sentido, se impone concluir, además, que si dentro del presente asunto hubiere existido una irregularidad de índole procesal, ésta habría resultado convalidada con la pasividad que la propia entidad demandada observó frente a la decisión que llamó a las partes a presentar alegatos de conclusión y al Ministerio Público a rendir concepto de fondo, a lo cual se agrega la actuación ulterior que, sin proponer impugnación alguna y sin promover incidente de nulidad procesal, cumplió la propia entidad demandada en cuanto presentó sus respectivas alegaciones finales, por manera que la convalidación en esta oportunidad emerge palmaria, tal como de manera reiterada lo ha predicado la Corporación, en los siguientes términos:
“(…) la posibilidad de alegar las causales de nulidad susceptibles de saneamiento –al igual que sucede con las demás irregularidades que se configuren dentro de un proceso, distintas de las causales legales de nulidad procesal–, es una posibilidad que se encuentra sometida a precisas y determinadas etapas procesales cuyo vencimiento determina su preclusión, a lo cual debe agregarse que dicho saneamiento supone la convalidación de la actuación lo cual puede darse bien por manifestación expresa del consentimiento de la parte afectada o bien por consentimiento tácito, como el que corresponde a la realización de actuaciones posteriores sin alegación de la nulidad correspondiente
. (Se destaca).
En línea con el aludido principio de convalidación, en providencia de 1° de febrero de 201, se precisó:
“Tal como se puede apreciar con facilidad, la pasividad del demandante frente a algunas de las decisiones judiciales adoptadas en el proceso con posterioridad a la supuesta configuración del vicio señalado, así como el desarrollo activo y efectivo de algunas actuaciones suyas también con posterioridad al momento en el que se habría presentado la referida nulidad –todo según se ha reseñado cronológicamente– constituyen suficientes elementos para concluir que la nulidad cuyo decreto solicitó la parte demandante ante la segunda instancia tan sólo el día 14 de abril de 2011 –petición que se formuló después de que ya se había interpuesto, concedido y admitido el correspondiente recurso de apelación–, aun en el hipotético evento de tratarse de una nulidad que en realidad se hubiere presentado, de todas formas se habría saneado para el momento en que se invocó, en la medida en que “ … la parte que podía alegarla no lo hizo oportunamente” (artículo 144-1, C. de P. C.), amén de que la alegó cuando ya no podía hacerlo, puesto que la ley le niega esa posibilidad “… [a] quien haya actuado en el proceso después de ocurrida la respectiva causal sin proponerla” (artículo 143, inciso 6, C. de P. C.)”. (Se destaca).
Es más, aún en el evento de que las pruebas se hubieran decretado y practicado cuando la etapa probatoria ya hubiera concluido e incluso después de fenecida la etapa de alegatos de conclusión, es decir que aún si el dictamen pericial no hubiera constituido –como en efecto sí constituyó– la continuación del recaudo de una prueba decretada previamente en el proceso, lo cierto es que tal situación no exigiría la reapertura de la etapa de alegaciones finales.
En relación con ese último punto conviene señalar que existen circunstancias, igualmente previstas por la ley, en las cuales se permite de manera explícita, por su razonabilidad, la posibilidad de abrirle paso a un período probatorio adicional, luego de finalizado el trámite normal del proceso, tal como ocurre por ejemplo cuando el juez, antes de dictar sentencia, decreta una o varias pruebas de oficio, con el propósito de llegar al esclarecimiento de la verda
, al paso que el ordenamiento jurídico también consagra la posibilidad de decretar y practicar pruebas en segunda instanci
, es decir, cuando claramente el proceso ya ha finalizado su trámite en primera instancia.
En ese último caso, de aceptarse la argumentación planteada por la parte demandada, se estarían contraviniendo de manera directa los preceptos legales que prevén la posibilidad de practicar pruebas en segunda instancia, por la sencilla pero suficiente razón de que cada vez que en la nueva instancia tuvieran que practicarse pruebas habría por lo tanto que retrotraer la actuación hasta antes de la etapa de alegatos de conclusión en primera instancia, lo cual resultaría todo un contrasentido.
Se estima que lo realmente importante y desde luego a tener en cuenta cada vez que dentro del proceso se requiera la práctica de nuevas pruebas, es que el operador judicial actúe con estricto apego al debido proceso en el sentido de garantizar y de respetar de manera efectiva los derechos de defensa y de contradicción de las partes en relación con el medio probatorio que se trae al litigi––
, los cuales, para el caso que aquí se estudia, fueron plenamente observados, tal como se indicó anteriormente.
Pero es más, aunque todo lo anterior resulta suficiente para desestimar las peticiones de nulidad procesal contenidas en el recurso de apelación, se estima pertinente agregar una razón adicional en el sentido de que los aspectos a los cuales ha hecho alusión la parte demandada como supuestas irregularidades de orden procesal, en realidad no se ajustan a una sola de las causales de nulidad previstas de manera expresa y precisa en el ordenamiento jurídico al punto que la propia entidad pública demandada en sus peticiones subsidiarias de nulidad procesal no invocó y menos precisó una específica causal que en este caso se hubiere podido configurar, a propósito de lo cual la Jurisprudencia del Consejo de Estado, de manera reiterada, ha sostenido:
“A propósito del régimen legal de las nulidades procesales, importa destacar que el mismo se encuentra orientado, entre otros, por los principios de i) taxatividad o especificidad y de ii) convalidación o saneamiento, con sujeción a los cuales se tiene, en virtud del primero, que no será posible invocar y menos aplicar causales de nulidad que no hubieren sido expresamente consagradas por el legislador –única autoridad, junto con el Constituyente claro está, con facultades para establecer y definir las causales de nulidad (…)
.
De conformidad con todo lo expuesto, se denegarán las peticiones –subsidiarias– contenidas en el recurso de apelación, encaminadas a lograr la nulidad procesal de parte de este litigio”.
Como se desprende del contenido de la anterior decisión, todos aquellos aspectos de índole procesal que alegó la parte demandada dentro de su recurso de apelación como constitutivos de una nulidad procesal fueron resueltos en forma previa a esta decisión por el Consejero de Estado de la época, decisión que, bueno es señalarlo, no fue objeto de impugnación alguna por parte de los sujetos procesales, por manera que esa decisión, fechada en junio 18 de 2013, surtió la plenitud de sus efectos jurídicos y, por lo tanto, se precisa que la Sala no abordará nuevamente en esta decisión unos aspectos que, aunque se propusieron dentro del recurso de apelación, lo cierto es que se dirigieron a lograr la nulidad parcial de lo actuado en el proceso, los cuales, como se vio, quedaron ampliamente definidos por el anterior Magistrado que sustanció este proceso.
8.2.- Otros aspectos del recurso de apelación contra la sentencia de primera instancia.
La C.V.C., también planteó en su recurso de alzada una la valoración indebida del acervo probatorio por parte del Tribunal Administrativo a quo, en los siguientes términos:
Estimó que la inspección judicial practicada en los terrenos en los cuales los demandantes habrían tenido sus cultivos se practicó en el mes de agosto de 2004, es decir 2 años más tarde del inicio del embalse para el proyecto SARA-BRUT, por manera que para el día en el cual se realizó tal diligencia, “… las condiciones habían cambiado y las evidencias de cultivos y de los presuntos daños a los mismos no se pudieron precisar en campo …”.
Agregó que la última prueba pericial, por cuya virtud se abrió paso la condena patrimonial en contra de la C.V.C., carecía de fundamentos técnicos, dado que el perito no emitió su dictamen con base en criterios propios, sino en opiniones emitidas por otras personas que “… por autorizadas que se consideren … no parten de establecer los daños y perjuicios partiendo de la información de las inspecciones judiciales, sino, de datos estadísticos de éstas empresas”.
Señaló, además, que al analizar la información contenida en la inspección judicial, se puede determinar que no se obtuvieron los cronogramas de labores agrícolas y culturales de cada cultivo, lo cual impide establecer las fechas exactas de cada siembra dentro de cada predio y, por ende, no se puede hacer un estimativo de los desarrollos vegetativos al día 13 de junio de 2002, ni mucho menos lograr el cálculo de los requerimientos hídricos para esa época.
Adicionó a lo anterior que se desconocen los reportes, por escrito, de los controles y visitas de asistencia técnica especializada con la cual cada productor supuestamente contaba, dado que no todos los actores fueron catalogados como pequeños productores agrícolas, ni productores de 'pan coger', como se les denomina a aquellos agricultores de menos de una hectárea de tierra, toda vez que se trató de medianos productores que desarrollaban una agricultura mecanizada para los cultivos de maíz, sorgo, tabaco, algodón, pues incluso algunos de ellos tenían bodegas y talleres de maquinaria agrícola.
Sostuvo que cada cultivo era diferente y en algunos de ellos no se contaba con la asistencia y los registros técnicos especializados desde el inicio de cada labor agrícola y en los aportes técnicos de cada fundo no se precisaron las medidas de contingencia que han debido preverse frente a cultivos ya establecidos y con requerimientos de agua en determinada fase de la siembra; indicó que algunos de los cultivos no tenían sistemas alternativos de riego para casos imprevisibles y necesarios en la agricultura comercial.
Manifestó que no se acreditó la asistencia técnica que habrían recibido los agricultores, debido a la inexistencia de registros escritos que en ejercicio de la agronomía deben reportarse frente a cada cultivo, a lo cual adicionó que
“En la información económica, los rendimientos que supuestamente iban a obtener los agricultores, no se pueden descifrar de los plegables o propaganda que se aportaba por los agricultores, recibidas de las casas comerciales que les proveen sus semillas e insumos agrícolas. Estos rendimientos, los que se enuncian en los plegables, se obtienen básicamente a nivel experimental y en condiciones ideales por no decir a condiciones de laboratorio o controladas, y que tienen que ver desde las actividades de preparación de suelo, distancias de siembra, fertilización, hasta la cosecha; labores imposibles de precisar y conocer con exactitud con la información aportada por los agricultores.
“Con fundamento en lo anterior, es bastante irresponsable efectuar cálculos comparativos desde esta visión, cuando no se tienen los respectivos cronogramas agrícolas y la información SUFICIENTE, COMPLETA Y VERIFICABLE, para los cultivos establecidos como lo ha presentado el señor perito (…)”.
“………………………
Aspecto fundamental es la escasa e inexacta contabilidad aportada por la generalidad de los accionantes … La contabilidad no se ajusta a las normas técnicas oficialmente aprobadas y registradas para nuestro país.
“………………………
“De ahí, que el cálculo de las pérdidas, estimadas al hacer la diferencia entre lo invertido menos lo 'supuestamente' dejado de ganar por los bajos rendimientos para cada cultivo, medido en toneladas, y que no se obtuvo, no sea verdaderamente real, como lo presenta en sus cuadros el señor perito (…).
“Técnicamente es imposible precisar valores de pérdidas a partir de un conocimiento de información parcial y sesgada, incompleta y sin soporte técnico”.
Alegó que los rendimientos arrojados por los cultivos no solo pueden afectarse por diferencias en el suministro del agua, pues ello también puede ser producto de prácticas agrícolas inadecuadas, tales como la mala preparación del suelo, la siembra indebida, las distancias de siembra, el control de plagas, entre otras situaciones.
De otro lado, la C.V.C., sostuvo que no todas las fichas prediales pueden acogerse como prueba de la existencia de los cultivos para la época de los hechos, por cuanto algunas de ellas datan del año 1998 y debe tenerse en cuenta que el área de cada predio debe compararse con la extensión de tierra registrada en los certificados de tradición respectivos, dado que la información debe actualizarse debido a la segregación ante la intensa enajenación de parte de dichos terrenos y por los cambios en la actividad económica de compraventa rural.
Finalmente, la entidad recurrente señaló que en la sentencia de primera instancia no se determinaron las concesiones de agua vigentes al momento de ocurrencia de los hechos, “… siendo de suma importancia resaltar que el único instrumento que puede reconocer a cualquier persona … el derecho a utilizar aguas del río Pescador, son las concesiones que otorgan las autoridades ambientales, en este caso la CVC”, de modo que el Tribunal Administrativo a quo le dio plena validez a una lista elaborada por la interventoría ambiental del proyecto en relación con los supuestos concesionarios del agua, cuando lo cierto es que ello sólo podía certificarlo la C.V.C.
9.- Oposición al recurso de apelación.
La parte accionante rebatió los cargos que el recurso de apelación plantea, pues señaló que en el proceso sí se garantizó el debido proceso y el derecho de defensa del ente demandado, amén de que existen pruebas suficientes que acreditan la responsabilidad patrimonial del ente accionad
.
10.- Alegatos de conclusión en segunda instancia.
10.1.- La compañía MAPFRE Seguros Generales de Colombia S.A., compartió la decisión que profirió en el fallo de primera instancia, en cuanto a la falta de legitimación en la causa por pasiva de esa aseguradora y de ACUAVALLE S.A., puesto que esta última no tuvo injerencia alguna en el contrato que dio lugar a la demanda interpuesta por el grupo demandante; agregó que de llegar a revocarse la sentencia de primera instancia, deben tenerse en cuenta, en todo caso, las exclusiones pactadas dentro de la correspondiente póliza de segur
.
10.2.- La parte demandante reiteró lo expuesto en su oposición al recurso de apelació.
10.3.- La C.V.C., reiteró la supuesta vulneración a su derecho al debido proceso porque se habría omitido disponer una nueva etapa de alegatos de conclusión, luego de concluída la etapa probatoria que se dispuso antes de dictar sentencia y recalcó que se produjo una valoración indebida del acervo probatorio por parte del Tribunal Administrativo a qu.
10.4.- Los demás sujetos procesales guardaron silencio.
II. C O N S I D E R A C I O N E S
1.-. Cuestiones previas.
1.1.- Competencia de la Sala.
La Subsección precisa que la decisión que adoptó el Tribunal Administrativo a quo en el sentido de declarar probada la excepción de falta de legitimación en la causa por pasiva respecto del Departamento del Valle del Cauca y de las sociedades Acuavalle S.A., E.S.P., y MAPFRE Seguros Generales de Colombia S.A., no será objeto de análisis en esta sentencia, como tampoco lo será la decisión que absolvió de responsabilidad patrimonial a la compañía CONCONCRETO S.A., toda vez que esos aspectos no fueron objeto de reparo alguno dentro del recurso de apelación.
De igual manera no se analizará la procedencia de un reconocimiento de los perjuicios morales que se solicitó a favor de los actores, dado que la negativa que respecto de tal pretensión efectuó el Tribunal de primera instancia no fue materia de impugnación y, en todo caso, un reconocimiento en tal sentido vulneraría el principio de la non reformatio in pejus que cobija a la entidad pública demandada, en calidad de apelante única.
En línea con lo anterior, la Sala no abordará aquellos aspectos –de índole procesal– que, aunque se plantearon en el recurso de apelación, lo cierto es que se dirigían a obtener una declaratoria de nulidad procesal, pues, como ya se vio, todo ello fue resuelto mediante proveído de 18 de junio de 2013.
Así las cosas, dentro de este fallo se analizarán los demás temas planteados por la entidad demandada en su recurso de apelación, los cuales enfocó hacia una supuesta valoración indebida de las pruebas que obran en el proceso por parte del Tribunal de primera instancia, con lo cual se controvierte la declaratoria de responsabilidad que a ella se le atribuyó en la sentencia apelada, dado que los diversos cuestionamientos frente a las conclusiones probatorias del Tribunal a quo apuntan a derivar en la inexistencia del daño alegado por los demandantes, aspecto evidentemente relacionado con la responsabilidad patrimonial del ente público demandado.
Por consiguiente, la Sala analizará el acervo probatorio del proceso para determinar si existe, o no, responsabilidad patrimonial de la C.V.C., por los hechos que se le atribuyeron en la demanda, pero con las exclusiones advertidas anteriormente.
1.2.- Oportunidad de la acción ejercida.
El término para presentar la acción de grupo, de acuerdo con lo establecido en el artículo 47 de la Ley 472 de 1998, es de (2) dos años, los cuales se deben empezar a contabilizar desde “la fecha en que se causó el daño o cesó la acción vulnerante causante del mismo”.
Para determinar el momento a partir del cual debe empezar a contarse el término para presentar la acción de grupo resulta necesario precisar la causa del daño que se aduce, indagación que implica, a su vez, establecer cuáles son los hechos que se señalan como integradores de esa causa, la materialización del daño producido por esos hechos y, en algunos eventos, el momento en el cual el grupo tuvo o debió tener conocimiento de ese daño, amén de verificar si esa causa es, o no, común al grupo, porque el artículo 47 de la Ley 472 de 1998 dispone, respecto de las acciones de grupo, que deberán promoverse dentro de los dos (2) años siguientes a la fecha en la cual se causó el daño o cesó la acción vulnerante causante del mism
.
La Subsección estima que la demanda fue presentada dentro del término legal antes descrito y para arribar a tal determinación no se requiere de mayor análisis, toda vez que al tomar como punto de partida de dicho plazo el día en que se produjo el cerramiento de la presa para el proyecto SARA-BRUT –por cuya ejecución se demandó la responsabilidad patrimonial del Estado– y, por ende, se habría iniciado la disminución del caudal del río Pescador hasta su supuesta sequía, esto es el 22 de junio de 2002, se impone concluir que la acción fue ejercida dentro del término de caducidad, pues el libelo introductorio se presentó el 14 de marzo de 200
, es decir cuando ni siquiera había transcurrido un (1) año desde el momento en que se produjo la <<suspensión total e injustificada de las aguas del río Pescador>> que habría dado lugar al daño alegado por el grupo actor.
1.3.- El requisito del número de integrantes del grupo afectado.
La Sal
ha señalado que no es necesario que todas las personas que integran el grupo afectado concurran al momento de presentación de la demanda, ni que quienes presentan la demanda sean por lo menos 20 personas, pues de conformidad con lo dispuesto por el parágrafo del artículo 48 de la Ley 472 de 1998, “… en la acción de grupo el actor o quien actúe como demandante, representa a las demás personas que hayan sido afectadas individualmente por los hechos vulnerantes, sin necesidad de que cada uno de los interesados ejerza por separado su propia acción, ni haya otorgado poder”, pero para dar satisfacción al requisito de la titularidad, quien actúa como demandante debe hacerlo respecto de un grupo integrado por un número no inferior a 20 personas, al cual pertenece y además debe señalar los criterios que permitan la identificación de los integrantes del grupo afectado.
También ha precisado la Sala que la Ley 472 de 1998 permite identificar la existencia de dos grupos, a saber: i) el grupo demandante, el cual está integrado por quienes ejercen efectivamente el derecho de acción y mediante la presentación de la correspondiente demanda, el cual se aumenta con la llegada de quienes concurran al proceso antes de la apertura a pruebas, con la advertencia de que la demanda puede ser presentada por una sola persona o por un grupo de personas, mientras cumplan la condición de pertenecer al grupo afectado y ii) el grupo afectado, integrado por un número no inferior a veinte (20) personas que hubieren sufrido un perjuicio individual procedente de una misma causa, grupo cuyos integrantes deben ser identificados por sus nombres en la demanda o, en todo caso, en la misma oportunidad deben expresarse los criterios para identificarlos con el propósito de definir el grupo, en los términos del artículo 52, numerales 2 y 4 de la Ley 472 de 199
.
En el sub examine se cumplió con tales requisitos, comoquiera que para establecer la causa común del daño en la demanda se hizo alusió
a una misma actuación atribuíble a la parte demandada, consistente en el cerramiento del embalse para la ejecución del proyecto SARA-BRUT, por cuya virtud se habría disminuído –hasta supuestamente secarse– el caudal del río Pescador y, con ello, se habría afectado a los agricultores del sector, quienes se beneficiaban con el agua de dicho río para abastecer sus cultivos, personas que de entrada superan el número de veinte (20), exigidos para la procedencia de la acción.
2.- El acervo probatorio.
Conviene precisar que dentro de este proceso rindieron sus declaraciones, a través de pruebas testimoniales, casi la totalidad de los propios actores: Rubén Darío Tascón Rodríguez, Héctor Ávila Andrade, Darío Varela Gómez, Hébert Mondragón Mondragón, José Orlando Valencia Grisales, Eduar García Serna, José Antonio Guevara Mendoza, Orlando Cabal Toro, Jaime Antonio Vásquez Ospina, José Vicente Rivera Oviedo, Blas Antonio Guevara Mondragón, Víctor Hugo Marmolejo, Eugenio Oviedo Toro, Santiago Quintero Tejada, Luis Álvaro García, Efraín Marmolejo Benítez, Robert Jairo Echeverri Cañarte, Elvira Benítez de Marmolejo, Carlos Alberto Andrade Pérez y Piedad Cristina Marmolejo Beníte
; y muchos de ellos lo volvieron a hacer –mediante ese mismo medio de acreditación que exige para su eficacia aprobatoria que sea un tercero ajeno el proceso quien rinda su declaración– dentro de la inspección judicial practicada a los predios que habrían resultado afectados, con el propósito de establecer cuáles habrían sido los cultivos sembrados en esos fundos y su respectiva cantidad o extensión, al punto que algunos de ellos pretendieron suministrar cifras y montos por concepto de utilidades de las cosechas frustradas.
La Sala advierte que esos medios de prueba no pueden acogerse ni valorarse, pues como en oportunidades anteriores lo ha precisado la Jurisprudencia de }}la Corporación, las declaraciones rendidas en el proceso por los propios actores no constituyen una prueba testimonial, por cuanto no provienen de terceros ajenos al proces–
.
La anterior determinación dirime la oposición que mediante tacha de testimonios formularon algunas de las entidades demandadas o llamadas en garantía respecto de las declaraciones suministradas por los demandantes, aspecto del cual, bueno es señalarlo, no se ocupó el Tribunal Administrativo a quo en el fallo apelado.
2.1.- Pruebas testimoniales: dentro del proceso se decretaron y practicaron las declaraciones de las personas que a continuación se relacionan:
2.1.1.- Señor Fabio Alexánder Agudelo Serna, quien relat:
“En mi calidad de Director de la interventoría ambiental del proyecto SARA BRUT notifico a esta indagatoria que mediante contrato C.V.C. Nro. 192 del 2.001, fuimos contratados la Unión Temporal Corporación PAIDEIA PROINSA Limitada, para desarrollar la interventoría ambiental del proyecto SARA BRUT, dicha interventoría inició su trabajo un año después del inicio de las obras civiles de dicho proyecto, sobre la pregunta de cómo me enteré de los hechos que me son indagados considero lo siguiente: la interventoría ambiental es una de las disposiciones establecidas por el Ministerio del Medio Ambiente con el fin de revisar, verificar y recomendar acciones para la mitigación de los impactos ambientales negativos que ocasionara el proyecto SARA BRUT en el desarrollo de las actividades de la interventoría cuya metodología de trabajo se pudo conocer en cada uno de los informes presentados a la C.V.C., [al] Ministerio del Medio Ambiente y [a] la comunidad cuando lo requirió me enteré y constaté de los hechos que tuvieron relación con los requerimientos de los demandantes. Especialmente el sucedido el día el día 13 de JUNIO de 2.002 cuando se cerraron las compuertas o la compuerta, para cerrar el llenado del embalse. Teniendo en cuenta que una de las actividades de la interventoría era de realizar visitas semanales al lugar de las obras, en la visita correspondiente al día referido sobre el cierre de las compuertas mediante verificación ocular, me enteré de la situación señalada por los demandantes, precisemos el (sic) donde dicha verificación ocular se estableció precisamente en el lugar llamado por la interventoría ambiental salida [d]el caudal ecológico lo que corresponde a la denominación aguas debajo de la represa … La interventoría ambiental en cumplimiento de sus funciones es (ilegible) en las Resoluciones de licencia ambiental y los documentos que la integran, requirió o solicitó a la C.V.C. los monitoreos y aforos históricos realizados al río Pescador, en dichos aforos el caudal del río presentaba un promedio multianual de entre 800 y 900 litros por segundo, dicha solicitud fue dirigida al Director del proyecto SARA BUT Ingeniero WILLIAM OSPINA en las oficinas del proyecto ubicadas en el Municipio de BOLIVAR … En calidad de Director de la Interventoría y acorde con las funciones establecidas por las diferentes Resoluciones de licencia ambiental y teniendo en cuenta que una de dichas disposiciones era la de constatar que la C.V.C. revisara las concesiones de agua otorgadas a los agricultores en la parte baja de la cuenca del río Pescador. Sí tenía dentro de mis funciones la de recorrer el río Pescador desde la zona del embalse hasta su desembocadura en el río Cauca … Sí recorrí en mi calidad de interventor aclaro Director de la interventoría el río Pescador y en los días posteriores, el 13 de JUNIO de 2.002 y en los días posteriores hasta su desembocadura en el río cauca, durante los recorridos se pudo constatar el desecamiento del río Pescador especialmente en la parte baja de la cuenca. En la parte entre la salida del caudal ecológico y la primera concesión el río presentaba encharcamientos o posos que habían quedado del proceso ocasionado por la interrupción abrupta del caudal … En una de las reuniones del comité de obra realizada en la oficina de la C.V.C. en el Municipio de Bolívar me enteré que de acuerdo a la disposición técnica realizada por el constructor y la interventoría de obra el cierre de las compuertas sería total, así mismo durante la visita realizada al sitio de la represa al día del cierre de las compuertas se pudo constatar y observar que este cierre fue realizado totalmente … En las Resoluciones de licencia aparecía la disposición que mencionaba que durante el cierre de la misma se deberá mantener el caudal ecológico de aguas debajo de la represa. Para lo cual se debería contar con un mecanismo de bombeo durante el tiempo necesario para que el caudal del río aguas abajo se mantuviera … Para el criterio de la interventoría ambiental no se cumplió por parte de la C.V.C. la disposición sobre el mantenimiento del caudal ecológico aguas debajo de represa durante el cierre de las compuertas porque el bombeo establecido para cumplir esta función no se mantuvo durante el tiempo necesario para que dicha disposición no se cumpliera esto se pudo conocer porque la presencia durante el cierre los funcionarios de la interventoría ambiental observó la suspensión del bombeo … Los principales daños ocasionados a criterio del equipo de trabajo de la interventoría ambiental por la desequedad del río a causa del cierre de las compuertas, las cuales se pudieron verificar mediante visitas e inspecciones oculares fueron las siguientes … disminución drástica de las captaciones de agua otorgadas como concesiones a los agricultores de la parte baja del río pescador … Para la interventoría ambiental no era consecuente que la C.V.C. solicitara por un lado la ampliación de Municipios beneficiarios como Obando, La Victoria y Zarzal lo cual infería, una mayor demanda de agua lo que ocasionaría una presión sobre la disponibilidad que ofrecía el río Pescador, puesto que la determinación de establecer el caudal ecológico inicial de 450 litros por segundo había salido de un estudio previo que la C.V.C. había contratado. Por lo tanto, solicitar la reducción del caudal ecológico a 200 litros por segundo a sabiendas de que el estudio contratado había definido que la biota acuática requería como mínimo para su sobrevivencia de 450 litros por segundo es para la interventoría ambiental una contradicción clara en la política de manejo del proyecto SARA BRUT en relación con su demanda y disponibilidad de agua. Las consecuencias de esta contradicción para la interventoría ambiental se pueden observar en las limitaciones socioeconómicas que traería a los agricultores del Municipio de BOLIVAR puesto que su demanda de agua aprobada en concesiones para riego de cultivo asciende a 492 litros por segundo lo cual crea un conflicto pues al reducir el caudal ecológico a 200 litros por segundo el déficit establecido no tendría cómo subsanarse … Las implicaciones muy graves que la interventoría ambiental analizaba en este punto sobre las concesiones de agua que la C.V.C. tenía aprobadas en este momento se referían a la situación socioeconómica que se podría ocasionar en un Municipio eminentemente agrícola al ser disminuida la posibilidad de acceder a agua para riego de los cultivos en los cuales trabajan gran número de habitantes del Municipio y los propietarios de las tierras que dependen de la actividad de la agricultura como actividad económica principal … En compañía del equipo de trabajo de la interventoría pudimos constatar durante un lapso de tiempo de más de diez días que el lecho del río o cauce principal estaba seco especialmente en el tramo comprendido entre la primera derivación o concesión de agua hasta su desembocadura. La interventoría ambiental, luego de la solicitud de la comunidad, insistió a la C.V.C. sobre la necesidad de realizar los aforos diarios que estaban establecidos en la licencia ambiental a la salida de la represa, este aforo sólo fue realizado por la C.V.C. una semana después del cierre de las compuertas arrojando un resultado mucho menor al establecido en la Resolución de licencia ambiental vigente que establecía 350 litros por segundo de caudal ecológico. La interventoría ambiental consideró en ese momento que esa era la causa del desecamiento del río Pescador pues con un caudal muy bajo que era captado por la concesión de la planta de Acuavalle y por agricultores de este tramo del río en su totalidad pues coincidió con un periodo de intenso verano hacían imposible que el río pescador mantuviera un caudal hasta su desembocadura en el río Cauca … Lo que en calidad de Director de la Interventoría ambiental argumenté en reuniones con la comunidad y se expuso en algunos informes posteriores a la situación señalada fue que la causa directa de que se secara el río obedeció a una desatención por parte de la C.V.C. de las recomendaciones realizadas por la interventoría ambiental sobre el manejo de esta situación y la decisión apresurada de cerrar las compuertas en un tiempo de intenso verano caracterizado por una alta demanda de agua del río Pescador por los agricultores ubicados en la parte baja de la cuenca … era de incumbencia de y responsabilidad de la interventoría ambiental observar el comportamiento del río Pescador bajo los efectos producidos por la asombrosa disminución de su caudal. Teniendo en cuenta que en dicha visita señalada el día 20 de junio de 2.002 se pudo corroborar a través del diálogo con los habitantes de los corregimientos ubicados en la parte baja de la cuenca las implicaciones que tenía dicha disminución sobre los múltiples usos que la comunidad hacía del agua en este sector. El descontento más notorio se daba por parte de los pequeños, medianos y grandes agricultores quienes al salir al encuentro del recorrido que hacía la interventoría ambiental en ese momento mostraban la imposibilidad de utilizar el río como fuente de irrigación a través de los mecanismos técnicos que disponían y a su vez mostraban las implicaciones por la falta de riego que ya estaban presentando en cultivos como algodón y maíz que la interventoría ambiental pudo observar estas implicaciones, se describían por los agricultores como marchitamiento de las plantas con desecación coliar y radicular. En el caso del maíz este se encontraba en un período de floración que lo hacía, según el criterio del agricultor mayor demandante de agua … la situación de los agricultores casi 15 días después de cerradas las compuertas era muy difícil debido a la imposibilidad de acceder a agua para riego puesto que el río a su paso por este sector presentaba un cauce completamente seco, así mismo las aguas residuales de los barrios ubicados a la salida que conduce al Municipio de ROLDANILLO los cuales vierten su alcantarillado al río presentaban situaciones de impacto ambiental sobre este sector por el vertimiento de dichas aguas … En mi calidad de Director de la Interventoría ambiental y acorde con las funciones establecidas para la misma y que en su metodología contemplaba la realización de visitas semanales de verificación de las obras y de todo lo relacionado con las disposiciones contempladas en las licencias ambientales y los documentos que la integran pude verificar en una de las visitas posteriores al cierre de las compuertas que sí se estaban presentando y se presentaron daños y deterioros a los cultivos de los agricultores ubicados en la parte baja de la cuenca del río Pescador (…)” (Se deja destacado en negrillas y en subrayas).
2.1.2.- Señora Claudia Elena Becerra Romero, quien sostuv:
“Conozco los hechos presentados por los agricultores afectados por el cierre de las compuertas de la represa SARA BRUT, debido a que realizaba la interventoría ambiental del proyecto SARA BRUT con la firma Unión temporal, corporación APIDEIA –Proinsa Limitada– lo que me permito aclaro lo que me permite comentar sobre los hechos sucedidos con los agricultores, la interventoría ambiental llega un año después de iniciadas las obras del proyecto SARA BRUT el día 22 de enero de 2.002 hasta el 10 de junio de 2.003, con la función contractual de verificar, hacer seguimiento sobre el cumplimiento de la licencia ambiental, el estudio del impacto ambiental, el plan de gestión social por parte de la C.V.C. y darlo a conocer al Ministerio del Medio Ambiente quien otorga la licencia ambiental, quien definía las exigencias a dicha entidad. El cierre de la compuerta de la Represa SARA BRUT el día 13 de junio de 2.002 produjo una reducción del caudal ecológico, lo cual, o mejor, teniendo en cuenta que el Ministerio del Medio Ambiente aprobó que saliera del embalse aguas abajo 200 litros por segundo para el caudal ecológico, pero no se tuvo en cuenta que una cosa es el caudal ecológico y otra las concesiones de agua otorgadas por la C.V.C. a los agricultores ubicados en la zona plana del Municipio de Bolívar, lo que conllevó a que se vieran afectados los agricultores en el riego de sus cultivos porque este hecho de cierre de las compuertas se hizo en época de verano y las concesiones otorgadas eran de aproximadamente 550 litros por segundo, lo cual permite evidenciar que 200 litros por segundo no era suficiente para la, o mejor, para suplir las concesiones otorgadas, llevando a que se secara el río Pescador, pues en ese momento los agricultores se encontraban regando sus sembrados (…)” – (Se deja destacado en negrillas y en subrayas).
La mencionada declarante amplió su testimonio el día 19 de agosto de 2004 en los siguientes término:
“(…) Sí lo observé seco después de la primera concesión de agua dada a los agricultores, debido a que la compuerta fue cerrada en época de sequía cuando los agricultores se encontraban regando sus cultivos y que la C.V.C. no había definido el plan de gestión social que debería generar acciones para evitar afectaciones sociales en el Municipio de Bolívar … Se conocía que existían conflictos por el uso del agua por parte de los agricultores debido a que existían fluctuaciones por el caudal ecológico del río pescador, en este sentido, al disminuir el caudal de éste los conflictos aumentarían. Por ello era necesario definir en el plan de gestión social las acciones para dirimir este conflicto que como [lo] manifestó la interventoría ambiental antes del cierre de la compuerta era necesario solucionar, en este sentido aunque los agricultores por estar regando en esta época de sequía pueden haber afectado el río es responsabilidad de la C.V.C. haber evitado esta situación … La C.V.C. solicitó la disminución del caudal ecológico del río pescador de 400 a 200 litros argumentando que si no era aceptado se habría construido un gran sistema solo para manejar el caudal ecológico … Teniendo en cuenta que el proyecto SARA BRUT es un plan de gestión social debería prever, evitar o mitigar el impacto generado sobre la vida en el río y sobre la economía de los agricultores, no se sabía hasta el momento cómo iban a abastecerse los agricultores para no verse afectados en su economía … el plan de gestión social define los proyectos y programas que deben realizarse para evitar, mitigar o compensar los efectos negativos que esta obra genere sobre la población del área de influencia del proyecto SARA BRUT … Desde el inicio de la llegada de la Interventoría Ambiental solicitamos el plan de gestión social para poder hacer seguimientos, solicitud que se le hizo a la C.V.C. al doctor HOLGER PEÑA en representación y como Director del proyecto SARA BRUT, contemplada en la licencia ambiental y solicitud realizada en los diversos informes semanal, mensual, semestral. Nos manifestaba que este documento no existía. Sólo después de la manifestación de la comunidad por la afectación del proyecto en momentos de cierre de las compuertas que hizo necesaria la presencia del Ministerio del Medio Ambiente fue cuando se hizo una exigencia de presentar este documento asumiendo de esta manera la C.V.C. que sí era necesaria realizarlo el plan (sic) … La comunidad protestaba justamente por la disminución del caudal del río Pescador que afectó el riego para los agricultores en sus cultivos … Sí observé el cauce del río seco según como se evidencia en las fotografías 3 y 4 aportadas en la presente declaración y que corresponden a la parte baja de la cuenca del río Pescador donde se encuentra totalmente seco el cauce del río Pescador. Teniendo en cuenta que no existía agua en esta cuenca hubo la pérdida total de la vida en el río, afectación a los agricultores por no tener agua para el riego …Teniendo en cuenta nuestro informe sobre la visita a la cuenca del río Pescador con la comunidad de Bolívar el día 28 de junio del 2.002 pudimos confirmar la sequía total del río Pescador y observar el estado de los cultivos de maíz, algodón, tomate, frutales y pasto que por falta total de agua para regarlos estaban a punto de perderse … La interventoría ambiental solicitó reiteradamente la necesidad de realizar, conocer y ejecutar el plan de gestión social para mitigar, compensar y prevenir los impactos negativos que esta obra pueda traer a la población del área de influencia del proyecto. Teniendo en cuenta que no fue suministrado este documento la interventoría ambiental presentó diversas consideraciones, sugerencias, análisis y solicitudes sobre la necesidad de realizar actividades tendientes a impedir daños en el ecosistema y en la comunidad de BOLIVAR VALLE. Respecto al hecho puntual sobre la afectación a los agricultores en el informe mensual Nro. 4 presentado a la C.V.C., manifestamos la preocupación por el cierre de las compuertas y las implicaciones económicas que podría traer a los agricultores (…)” (Se deja destacado en negrillas y en subrayas).
2.1.3.- Señor Ramón Eduardo Agudelo Mejía, quien manifest:
“Inicié teniendo conocimiento de la ejecución de la represa en junio de 2001 porque en ese momento la Corporación PAIDEIA fue contratada por la C.V.C. para rendir un informe ambiental después de seis meses de haber sido iniciada la obra para dar cumplimiento a una de las exigencias de la licencia ambiental de la cual la C.V.C. debía presentar un informe semestral sobre los impactos ambientales de la obra, en esa ocasión fuí contratado por PAIDEIA como asesor. Durante el segundo semestre de 2001 la C.V.C. abrió una licitación privada para contratar en forma permanente la interventoría ambiental de la obra. Esa licitación fue concedida por la Unión Temporal PAIDEIA-PROINSA, quienes me contrataron como ingeniero residente y asesor, actividad que se prolongó hasta el mes de junio de 2003. Esta vinculación a través de la interventoría ambiental me permitió conocer con todo detalle todas las características técnicas de la obra. Posteriormente en el mes de octubre de 2003 la C.V.C. tuvo a bien nombrarme como Director Coordinador de la Oficina de Gestión Ambiental Territorial BRUT, con sedes en la Unión y en Bolívar” (Se destaca).
En relación con la ejecución de la obra sostuvo:
“Este cierre [de las compuertas] era absolutamente necesario hacer[lo] desde el punto de vista de la ejecución de la obra, porque se necesitaba tener llena la represa hasta la cota 1.408, nivel necesario para probar toda la tubería que se estaba instalando para alimentar los siete municipios ligados al proyecto. Ante el intenso verano que se presentaba en ese momento hubo necesidad de instalar dos bombas flotantes que permitieran bombear agua por encima del vertedero en una cantidad aproximada de 300 litros por segundo con el cual debía asegurar el caudal ecológico aprobado por el Ministerio del Medio Ambiente. En este punto es necesario precisar que el caudal ecológico inicial aprobado por la primera licencia ambiental era de 450 litros, pero la C.V.C. en consideración a que los caudales mínimos en tiempo de sequía podían poner en peligro la operación del sistema solicitó al Ministerio del Medio Ambiente que el caudal ecológico fuera rebajado a 200 litros. Una nueva resolución del Ministerio lo rebajó a 350 y una nueva insistencia de la C.V.C. lo bajó a 200. Al iniciarse el bombeo se pensó en un determinado tiempo [que] la represa sería alimentada hasta alcanzar el nivel suficiente por encima de la tubería de desagüe del caudal ecológico para que por gravedad esta tubería alimentara al caudal con 200 litros por segundo. El momento crítico se presentó cuando al suspender el bombeo la represa sólo entregó al lecho del río 102 litros por segundo … la interventoría recorrió el río el 20 de junio de 2002, o sea 7 días después del cierre de las compuertas y estimamos que en ese momento el río ya había aumentado su caudal un poco más de 300 litros por segundo. El día 26 de junio la C.V.C. programó una reunión con los agricultores para establecer el estado del río ese día en donde se narra con todo detalle el estado del río como se encontró ese día. Me parece pertinente anotar que las dudas sobre la capacidad hidráulica del río Pescador ante el reconocimiento de su poco caudal en época de intenso verano fue lo que [llevó] a la C.V.C. a ajustar los caudales ecológicos para asegurar el buen funcionamiento de la obra. Durante todo ese tiempo fue motivo de muchos análisis y discusiones sobre los registros de caudales del Río Pescador, que fueron estudiados por los diseñadores para proyectar la represa. Esos registros muestran épocas en que el caudal del río Pescador llega a ser menor de 100 litros por segundo, lo que llevó a los diseñadores a calcular un caudal promedio anual de 750 litros por segundo con el cual se diseñó la obra … En ningún momento el secado del río fue total y su sequía real se presentó en los últimos tramos de la desembocadura del río Pescador al río Cauca. Sin embargo esta circunstancia innegablemente causada en un principio por el cierre de las compuertas se siguió presentando aún después de que el caudal llegara a la cantidad de 300 litros por segundo porque los usuarios propietarios de la parte plana alta del río Pescador se toman mayores cantidades de las necesarias hasta tal punto que los agricultores que necesitan aguas de riego río abajo no reciben agua para el riego de sus cultivos … La claridad del problema llevó a la C.V.C. a comprometerse a construir tres bocatomas en concreto en las acequias La Molina, Tequendama y la Guevara, las tres estructuras que distribuyen el agua a la zona plana. Las estructuras actuales permiten a los usuarios captar lo que les parezca para su uso personal sin tener en cuenta las necesidades de los usuarios de la parte baja del río. Para confirmar que mientras no se establezca un orden en distribución del agua del río por acueducto entre los usuarios, visité ayer la represa de Guacas, las quebradas que alimentan la represa Calamar y Platanares. Averigüé con la C.V.C. cuánto caudal estaba pasando por el charco del mango, punto desde el cual empiezan a presentarse las desviaciones para riego y encontré la siguiente situación de volúmenes: a la represa le estaban entrando aproximadamente 450 litros, estaban pasando por el charco del mango aproximadamente 300 litros y en el puente aguas abajo del río Pescador en Callejones estaban pasando aproximadamente 250 litros para riego y el caudal del río Pescador casi en la desembocadura del río Cauca está muy por debajo del caudal ecológico. Esto quiere decir que la C.V.C. debería establecer en el término de la distancia las concesiones correspondientes a los usuarios, impulsar un monitoreo como lo establece el Ministerio del Medio Ambiente sobre el caudal ecológico más apropiado para la parte baja del río Pescador y construir las estructuras de derivación para captar los volúmenes necesarios para la irrigación … puedo afirmar que la sequía parcial más crítica se empezó a presentar aguas abajo del puente de ingreso a la ciudad de Bolívar hasta la desembocadura del río Cauca, la distancia no la conozco exactamente … La sequía anotada y que presencié se presentó indudablemente a partir del 13 de junio de 2002 … según los técnicos ambientales el caudal ecológico de un río es aquel que mantiene la vida de plantas y de peces, lo que ellos llaman la biota acuática … Si revisamos la licencia ambiental inicial la C.V.C. tenía la obligación contractual de elaborar el plan de gestión social de común acuerdo con la comunidad de Bolívar (…)” (Negrillas y subrayas adicionales).
2.1.4.- Señor Carlos Antonio Posada Castañeda –Técnico Profesional en Gestión Ambiental– quien para la época de los hechos se desempeñaba como Técnico Operativo de la C.V.C.; aunque el mencionado testigo se refirió en algunos apartes de su declaración a aspectos relacionados con el proyecto denominado SARA-BRUT y a su incidencia en relación con la afectación de predios que se beneficiaban con el cauce del río Pescador, la Subsección no tendrá en cuenta tales señalamientos, dado que el declarante, de entrada, expresó:
“Yo realmente no puedo dar un testimonio de estos hechos acaecidos, ya que en el momento en que se inició la fase de llenado del embalse del proyecto Sara Brut, yo no me desempeñaba como funcionario en el Municipio de Bolívar, me encontraba ya hacía un año como funcionario de la Zona de Ríofrío, por lo tanto no tuve ningún conocimiento personal de este hecho (…)
.
2.1.5.- Señor Dagoberto Gómez España –Técnico Operativo de la C.V.C., para la fecha de ocurrencia de los hechos–, en cuya declaración se consign
:
“(…) Los usuarios del río Pescador son 95, no recuerdo bien el número exacto. La C.V.C., mediante una resolución le otorga a cada usuario un litraje, litro, segundo, de acuerdo a las necesidades que tengan ellos, previo un cumplimiento de obligaciones, entre ellas, las más importantes son Construcción de Obras Hidráulicas, aprobadas por la C.V.C., que captan el caudal asignado … En la reunión donde yo estuve la primera vez, la C.V.C., les había disminuido el caudal, los conflictos eran básicamente por el agua (…)”.
2.2.- Inspección judicial.
También se decret
y se practic–
una inspección judicial con intervención de un perito, dentro de la cual, además, se recepcionaron unas pruebas testimoniales sobre los predios afectados, diligencia que se adelantó en diferentes momentos y abarcó los siguientes aspectos:
2.2.1.- Inició el día 4 de agosto de 200
. En relación con el predio del actor Jaime Vásquez Ospina se indicó:
“(…) el predio está constituido por dos fincas raíces denominadas La Sofía y La Fortaleza, las cuales están constituidas en el corregimiento de San Fernando región brasilar dentro del municipio de Bolívar Valle … Del examen directo que se está haciendo a la propiedad o propiedades en mención es imposible establecer en el momento qué cultivo existía para la fecha de los hechos alegados por los accionantes, como también me es imposible entrar a establecer pérdidas en esta diligencia por la misma razón establecida en el punto anterior. Con respecto al recurso hídrico o agua de las que se alimentan las propiedades pude establecer directamente que es tomada del río Pescador a través de la bocatoma La Guevara y llega al predio por gravedad a través de la acequia del mismo nombre hasta un pozo de bombeo de 2 x 1,80 mts aproximadamente (…)” (Se destaca).
Dentro de esta inspección judicial rindió su declaración el señor José Alonso Ménde; esta prueba fue solicitada por la parte actora dentro de la diligenci
y su decreto fue dispuesto por el Juez comisionado a través de decisión notificada en estrados; el testigo, luego de agotados los presupuestos legales para acoger su declaración juramentada, señaló:
“(…) estábamos regando cuando se fue el agua, estábamos en el cuarto riego del maíz que había sembrado en esta propiedad aquí donde estamos, anteriormente se llamaba La Amadora, ahora no se cómo se llama, de propiedad del señor JAIME VASQUEZ, eso fue en el 2.002, no me acuerdo del mes, cuando se fue el agua del río Pescador, se secó, entonces se paró el riego, no se pudo regar más, aposta cuando más se necesitaba el agua, le faltaba el agua para que cuaje, para que engruese el maíz, entonces se perdió mucho maíz, no dio lo que debía dar. Eso demoró días, los de la vereda cogieron a ver río arriba a ver qué pasaba con el agua y eso seco, eso fue por la quitada del agua, por la represa tuvo que haber sido … Todo estaba sembrado, las dos propiedades, de maíz, me entero porque le estaba trabajando al señor JAIME VASQUEZ aquí mismo (…)”.
Al preguntársele al testigo acerca del tiempo del cultivo respondió: <<Estaba para ver el choclo, cuando más necesitaba el agua para que engruese el grano>>.
También se le preguntó al declarante acerca de las medidas adoptadas frente a la ausencia de agua para el riego del cultivo; a ese interrogante contestó: <<Qué iban a regar, el río secó con qué iban a regar, no se pudo seguir regando>>.
Finalmente añadió: <<Sí participé en la limpia (sic) en el cultivo del maíz, ayudé en la siembra trabajando el granito de maíz, tapándolo, trabajaron varios, el tractorista, lo que yo más le ayudo es para el riego, el señor DON JAIME pagó todo lo de las labores>>.
2.2.2.- Posteriormente, la diligencia se trasladó a otros fundos que habrían resultado afectados, de propiedad del señor José Antonio Guevara Mendoza:
“(…) predio Nro. 1 La Cilia, ubicado en el corregimiento de San Fernando, municipio de Bolívar Valle, está compuesto por dos lotes de terreno denominado el primero el Río, de una extensión superficiaria de 3.200 mts2 y el segundo denominado el Lote con una extensión superficiaria de 2 hrs 8.800 M2 … Este lote se encuentra en la actualidad cultivado con maíz blanco, con 120 días de período vegetativo … del examen directo que estamos haciendo puedo manifestar que es imposible establecer cuál fue el daño sufrido y alegado por los actores para la fecha de los hechos de la acción y también me es imposible en el momento establecer qué clase de cultivo y área sembrada para la fecha de los hechos (…).
“………………………
(…) nos desplazamos a un segundo predio conformado por cuatro lotes de terreno, predio denominado Finca Nueva ubicado en el corregimiento de San Fernando Municipio de Bolívar Valle … Los cuatro lotes que conforman este segundo predio son el de la matrícula 380-14041, de un área de 3.200 M2; el de la matrícula Nro. 380-4708 de una extensión de 1Hra, denominado Brasilar. Es de aclarar que el primero, es decir el de la matrícula 380-1401 se denomina Teresita. En este momento dándole curso a la inspección judicial al hacer el examen directo de la finca raíz pude establecer que está cultivada en toda su extensión con maíz de una edad de aproximadamente 120 días de período vegetativo. En el momento me es imposible establecer qué cultivo existía para la fecha de los hechos de la acción y qué daños haya podido sufrir aquí el cultivo (…).
“………………………
Para terminar con el tercer predio cultivado por el señor JOSE ANTONIO GUEVARA MENDOZA llegamos al predio Los Lirios ubicado en el corregimiento de San Fernando Municipio de Bolívar Valle … en la actualidad está cultivado de algodón en parte y otra parte en tomate y otra parte en yuca … Me es imposible en el momento establecer qué cultivo existía para la fecha de los hechos y los daños que éste haya sufrido, producto de la sequedad del río alegada por los accionantes (…)
.
En esa oportunidad declar el señor Jair Antonio Pérez Alzate y lo hizo en los siguientes términos:
“(…) en la actualidad trabajo con el señor JOSE ANTONIO GUEVARA MENDOZA y llevo siete años trabajando con él … para esa fecha pasó de que aquí la cosecha era de algodón y maíz, y también había tomate y yuca, el maíz era del lote Finca Nueva, el algodón acá en los Lirios y en la Cilia y el tomate y la yuca también aquí en Los Lirios, en Finca Nueva, entonces en junio 15 de 2001 el río se secó y no pudimos regar por escasez de agua porque no había de dónde, entonces cogí una pala y me fui de aquí para arriba, río arriba por el cauce del río y se veía el río seco, nada de agua, fuí hasta las piscinas, de ahí nos dimos cuenta que las compuertas del embalse, de la represa, fueron cerradas, fuímos los más perjudicados porque no había agua para regar, ahí fue cuando los cultivos disminuyeron, disminuyó la producción porque ya el algodón en el momento en que iba a florecer no floreció fue nada porque necesitaba el agua en ese momento, lo mismo fue con el maíz, el momento de filotear el maíz que se necesita de echarle agua, tampoco se pudo porque no se conseguía. Filotear significa de que si no se le echa agua entonces se le va a dañar la cosecha, la cosecha disminuyó más de la mitad y así sucesivamente … Esa sequía del río fue el 15 de junio de 2002 y duró más o menos hasta el 28 de junio de ese mismo año, me enteré hablando con la gente y todo el mundo sabía que la sequía del río era porque cerraron el embalse, cerraron las compuertas … Los daños fue que por la falta de agua los cultivos disminuyeron más de la mitad de la producción, lo sé porque yo trabajo acá en los cultivos con él desde la preparación de la tierra, la siembra, hasta recoger la cosecha … El único medio fue esperar a que cayera un aguacero o que volverían a poner el agua del río … La propiedad se beneficia del río Pescador, no hay más de dónde … En el tiempo que llevo trabajando con él y el tiempo que llevo de vivir por acá la sequía que le conozco al río fue cuando cerraron la compuerta en junio de 2002, esa fue la sequía que le conocí al río (…)”.
2.2.3.- La diligencia se reanudó el día 11 de agosto de 2004 y se inspeccionaron los predios denominados 'El Clavo' y 'El Idilio', respecto de los cuales, en su orden, se dejó sentado lo siguiente:
“(…) le es difícil al Despacho establecer con sus propios medios qué cultivos existieron para la época de los hechos y qué daños y perjuicios hayan podido tener los mencionados actores. Dicen ellos [que] para la mencionada fecha de [los] hechos, tenían los siguientes cultivos: sorgo, tabaco y algodón, los cuales estuvieron cultivados en toda la extensión territorial. El otro predio objeto de inspección judicial se denomina el Idilio, conformado por cuatro propiedades así: El Idilio … otro denominado La Arcadia … y el último llamado el Edén … En la actualidad está cultivado El Idilio en parte tomatera en producción y [en] otra gran parte se acaba de cosechar maíz … De igual manera en este predio me es difícil establecer por la percepción directa qué cultivos y qué daños existieron para la fecha de los hechos que dio lugar a la Acción de Grupo. Dicen los accionantes que existía cultivo de maíz. El Despacho pudo establecer que tanto el predio El Clavo como el idilio son de propiedad de la señora ELVIRA BENITEZ DE MARMOLEJO. Dicen los accionantes que los cultivan en calidad de arrendatarios desde hace por lo menos veinte años (…)
.
Aquí rindió testimonio el señor Iván Bernal Muño––, quien manifestó:
“(…) soy administrador de ASALGODON en la cual los tres agricultores, aclaro que ASALGODON es de Roldanillo, en la cual estos tres agricultores VICTOR HUGO y PIEDAD CRISTINA MARMOLEJO con cultivos de algodón y maíz y EFRAIN MARMOLEJO con sorgo en la cual me manifestaron y soy testigo que hasta el mes de junio de 2.002 hubo escasez de agua lo cual afectó muchos cultivos en su producción ya que para esa época los cultivos necesitaban agua todavía … cultivos de algodón, maíz y sorgo, tengo conocimiento de que estos cultivos fueron ciertos y que sembraron porque dichos cultivos fueron inscritos en cadena productiva con la Asociación de Algodoneros del Valle ASALGODON, estos cultivos estaban sembrados en Bolívar Valle, en el lote el Clavo y la Hacienda Jamaica. Mi labor en la empresa es conseguir agricultores para que siembren sus cultivos por intermedio de las cadenas productivas, por tal motivo yo visito los lotes y en Bolívar me dí cuenta que ellos iban a sembrar eso, pero el contrato de cadenas productivas se realizó en Roldanillo. En febrero de 2.002 fueron inscritos dichos cultivos … Los cultivos se atrasaban y me doy cuenta porque como representante de la Asociación de las cadenas productivas tengo que hacer visitas a esos cultivos. Tanto el algodón, tanto [a] los tres cultivos les hizo falta los dos últimos riegos o último riego, no había agua, el Río Pescador estaba seco porque la represa había empezado a llenar y habían cortado el agua desde arriba, vi el río seco … Yo llevo en este sector agropecuario 22 años, de los cuales desde esa época los conozco a ellos como agricultores en la zona de Bolívar … La actividad económica de Bolívar es netamente agropecuaria (…)
(Énfasis adicional).
También declararon en la diligencia, los señores Carlos Francisco de la Torre Véle
y Roberto Osorio Garcí, quienes narraron, respectivamente, lo siguiente:
“Yo conozco los predios de los Marmolejo, entre ellos El Caney, El Clavo, El Idilio, conozco todos los predios, porque estoy vinculado aquí en Bolívar Valle y por mi profesión tengo amistad con ellos, visito sus cultivos para intercalar conocimientos y poder también aportar en el desarrollo de éstos algún conocimiento agronómico. Cultivos que conocí, de EFRAIN MARMOLEJO, tenía tabaco y sorgo, de VICTOR HUGO tenía algodón y maíz y PIEDAD CRISTINA también tenía algodón y maíz. VICTOR HUGO tenía en el Lote El Clavo y El Idilio maíz y en el Clavo también tenía algodón; EFRAIN en un lote que hace parte de El Clavo, tenía una Hra. De tabaco y siete Hras. de sorgo. PIEDAD CRISTINA, en el Lote El Caney, había algodón y maíz. Eso fue en el año 2002, semestre número uno del 2002, porque algodón no se siembra sino en el primer semestre en el Valle del Cauca, entonces los problemas que se presentaron fue en el mes de junio cuando estos cultivos requieren más agua en el período de floración y llenado de grano y llenado de cápsulas que en el caso del algodón; se requiere de un promedio después de sesenta días de 7 milímetros de agua por día. En el tiempo de que se cerró la compuerta del embalse de Guacas y no llovió, había necesidad de regar artificialmente con equipo de riego o por gravedad, problema este que no hubo el agua en el momento en que se necesitaba, debido a que al cierre de la compuerta del embalse no había agua en el río Pescador que es la fuente de agua para estos riegos, ocurriendo bajas en la producción muy significativas económicamente para estos agricultores. De acuerdo a lo que conozco en los lotes de algodón pudo haber pérdidas hasta de dos toneladas por Hra., en los maíces pudo haber pérdidas aproximadas de dos toneladas a dos toneladas y media y en el cultivo de sorgo podía haber pérdidas de unos 2.500 kilos por Hra. y en el cultivo del tabaco donde la rentabilidad del cultivo se hace de acuerdo a una clasificación de las hojas y se notó la mala calidad que se produjo en este lote a falta de agua en el momento en el que más se necesitaba. Estuve, o mejor, conocí el problema del río Pescador en estos quince días que fueron los críticos para cumplir con los requerimientos hídricos de estos cultivos porque no había con qué regar, no había agua en el río y por ende no habían las acequias que llegan a los predios … Como es sabido, en la región de la vereda Guacas corregimiento de Primavera se construyó un embalse que alimentara los acueductos de los municipios de Bolívar, Roldanillo, La Unión, Toro, Zarzal, La Victoria y Obando, para alimentarse este embalse, se hace con aguas de la quebrada Calamar, Platanares, que son los afluentes principales del río Pescador. Para poder llenar este embalse había que cerrar compuertas pero el problema suscita cuando se cierran las compuertas en su totalidad sin que siga bajando agua en el río Pescador y permita la vida acuática y que quede agua para aprovecharla en los riegos de los cultivos del municipio de Bolívar, los cuales dependemos directamente de la producción agrícola (…)” (Se deja destacado en negrillas y en subrayas).
“…………………………………….
“(…) en esa época, en el tiempo que hubo las fallas del agua eso fue en junio o en julio de 2002, en el lote de EFRAIN estaba el cultivo de tabaco y sorgo, en el lote llamado El Clavo, y en seguida quedaba, en el mismo lote denominado El Clavo, quedaba el cultivo de algodón de VICTOR HUGO MARMOLEJO, estos presentaron problemas por falta de riego. En el lote El Idilio de propiedad de VICTOR HUGO MARMOLEJO, allí había un maíz y en el lote denominado La Callana de VICTOR HUGO MARMOLEJO, había cultivo de algodón que también presentaron problemas de riego por falta del agua debido a que las acequias que surtían el agua dependen del Río, el cual venía seco, por la cuestión que la habían quitado allá para la represa, habían quitado el agua del río para la cuestión de llenar la represa. Yo soy de aquí y estuve viendo la falta de agua … en los meses de junio y julio de 2002, como le digo, yo le manejaba un cultivo de tabaco a EFRAIN MARMOLEJO y no hubo agua para regar … hubo secamiento arrebatado, hubo merma en el peso del tabaco y amarillamiento por falta de riego, eso es lo que puedo hablar de lo que yo manejaba, el tabaco de lo que estaba yo empapado (…)” (Negrillas adicionales).
2.2.4.- El mismo día 11 de agosto de 2004 se revisó el predio denominado 'El Caney', de propiedad de la actora Piedad Cristina Marmolejo Benítez, frente al cual se determinó: <<El Despacho puede decir que le es imposible establecer en este momento qué cultivos existieron para la fecha de los hechos y qué daños hayan presentado>. En esta ocasión intervino la demandante Piedad Cristina Marmolejo, cuyos señalamientos no serán tenidos en cuenta de acuerdo con lo expuesto anteriormente, en punto a la improcedencia de valorar declaraciones provenientes de los propios actores que no cuenten con las formalidades propias de la declaración de parte, sino que se les pretenda hacer valer como testimonio, aspecto sobre lo cual se volverá más adelante.
2.2.5.- La inspección judicial se suspendió y se reanudó el día 25 de agosto de 2004, ocasión en la cual se inspeccionaron los siguientes predios:
“(…) concretamente a la finca rural agrícola denominada Las Palmeras y el Oasis … al hacer el examen directo del predio [se] pudo establecer que se encuentra ubicado en la vereda Plaza Vieja, corregimiento del Guare dentro del municipio de Bolívar Valle del Cauca, compuesto por dos fincas raíces, una denominada Las Palmeras … La segunda finca se denomina El Oasis, de propiedad como se dijo de la señora BERTHA SOTO DE CAICEDO, ubicada en la vereda Plaza Vieja corregimiento de Guare … estas dos fincas están unidas, cultivadas en la actualidad con maíz y tomate, y según manifestación del accionantes para la época de los hechos que dieron origen a la acción, se encontraba cultivada con algodón y tomate … el Juez en este momento no puede precisar en forma directa los daños y perjuicios de la época por la circunstancia lógica del tiempo transcurrido. Pudo el Despacho determinar de que la propiedad se alimenta de las aguas que corren por la acequia Plaza Vieja, aguas abajo, o mejor donde vierten parte de aguas de la acequia Tequendama tomada del río Pescador (…)
(Negrillas adicionales).
Rindieron su declaración en esa oportunidad los señores Jorge Enrique Madrid García, Héberth Mondragón y William Santacruz Véle
, quienes, respectivamente, relataron:
“Yo desde hace tiempo trabajo con el señor IVAN CAICEDO en la agricultora en Plaza Vieja y en el Oasis y en las Palmeras y siempre me ha tocado lo que es el riego y a partir del 13 de junio el zanjón Plaza Vieja se secó por completo, tuvimos que parar el riego durante un tiempo bastante prolongado disminuyendo así la cosecha, en ese tiempo la cosecha era de algodón … a raíz de que estaban construyendo o haciendo unos trabajos en la represa SARA-BRUT, me enteré acá mismo en la finca, porque estábamos regando cuando se secó el zanjón, eso fue el 13 de junio del 2002 … Se benefician [los predios las Palmeras y el Oasis] del agua que baja del zanjón y viene del río Pescador, lo sé porque yo siempre he vivido por aquí en esta zona y me toca ir a colocar el agua allá en una bocatoma que surte el zanjón arriba por la granja … por aquí fue total [la sequía], más o menos unos siete kilómetros, desde la toma que hay ubicada en el río Pescador hasta esta finca, esto lo sé porque me dirigí por el zanjón hacia arriba buscando agua y no fue posible hallarla … Rebajó en gran cantidad la producción, lo sé porque a mí mismo me toca cosechar y comparado con las cosechas anteriores la merma de la producción fue bastante notable.
“……………………….
“(…) ahora cuatro años atrás, para junio, el 13 de junio que fuimos a regar nosotros que había una cosecha de algodón acá quiero aclarar que eso fue en el 2002, acá en la finca de DON IVAN CAICEDO, las Palmas, pues no había agua, el zanjón estaba seco, nosotros esperamos porque nos dijeron que en unos tres días había agua y no bajó nada de agua y el cultivo estaba en pepa, ya a punto de abrir, y de tanto sol la pepa abrió no como debía abrir sino que mucha flor se cayó al suelo por falta de agua … el cultivo sí salió pero se perdió la mayor parte de la cosecha. En otras fincas también se perdieron cultivos por falta de agua … el agua la quitaron de la represa y por ahí en tres días se secó el río, se fue secando lentamente hasta que quedó en mera tierra. Yo me desempeñaba como regador por aspersión en el cultivo de algodón de la finca Las Palmeras de Don IVAN CAICEDO (…)
. (Se destaca).
2.2.6.- Finalmente, en lo que concierne a las apreciaciones respecto de otro predio –de propiedad del señor Julián Ciro Caicedo Soto– por parte del perito y del Juez que adelantaron la diligencia, se indicó:
“(…) en este momento no hay cultivos porque ya se cosechó y las tierras están en proceso de preparación debidamente rastrilladas. Estas propiedades, dice el accionante, estuvieron cultivadas para la fecha de los hechos en todas sus extensiones en algodón, no puedo establecer en forma directa los daños alegados por las partes por el tiempo que ha transcurrido (…).
En ese estado de diligencia se decretaron los testimonios de los señores William Dávalos Valencia, Jorge Olmedo Marmolejo y José Alonso Rodríguez Céspedes; sin embargo, la actuación se suspendió y continuó el día 7 de septiembre de 2004 con la recepción de los testimonios de los señores William Dávalos Valencia y Jorge Olmedo Marmolejo, pues el tercero de ellos no declaró. El primero de los declarantes narró:
“(…) más o menos a mitad de junio de 2002, yo había hecho un contrato de los riegos de la cosecha de algodón aquí donde don JULIAN CAICEDO, en las propiedades del señor Julián como ya dije, había cuadrado el contrato de la propiedad Sol Naciente, iba en el cuarto riego cuando se secó el zanjón Plaza Vieja, entonces fuí a colocar el agua a la bocatoma y el río Pescador estaba seco también, entonces me tocó que recoger riego, es decir recoger el equipo, hasta ahí llegué estaba floreciendo, se le cayó mucha parte de la flor por falta de agua, no bajaba agua ni para ganado porque eso se secó … eso se secó cuando empezaron a llenar la represa allá arriba, la de cabuyal, le dicen SARA-BRUT, eso lo sé porque yo me conozco todo eso por ahí, como yo trabajo todo eso con el riego, me toca ir a buscar el agua … antes yo trabajé con Don RAMIRO ANDRADE, y yo era regador de él, y nunca faltaba el agua, y después de la represa no más hace un poquito de verano se acaba el agua ahí mismo, yo conozco el río porque he sido regador toda la vida … la sequía fue total porque no había nada de agua, si duró como un mes o más hasta que llovió, lo sé porque yo vivo ahí al pie del río (…).
El segundo de los testigos, señor Jorge Olmedo Marmolejo, señaló:
“El problema es porque el río pescador sufrió una, o mejor, se le disminuyó el caudal a raíz del proyecto SARA-BRUT, eso fue como en junio de 2002, junio o julio, entonces cuando yo cerré la compuerta para empezar a llenar el embalse, quedó el caudal ecológico, el cual en la parte baja acá no fue suficiente para atender la demanda de agua del cultivo del señor JULIAN CAICEDO … el cultivo como estaba en floración que es donde más requiere agua, obviamente se provocó una rebaja en la producción que una vez estimada esa disminución al momento de la cosecha se determinó que era entre un 35 o 40%, eso pues al momento de la cosecha y cuando se hicieron los estimativos de las pérdidas … Yo me enteré del caudal del río desde que estoy trabajando en la Alcaldía de Bolívar como director de la Umata desde hace siete años … el tramo concreto en que se disminuyó drásticamente el caudal y que tuve conocimiento por parte de un técnico de la UMATA que fue quien hizo la visita, fue de la cabecera municipal hasta acá, hasta la desembocadura del río Cauca, la disminución fue drástica … Perfectamente conozco los dos lotes [pertenecientes a Julián Caicedo], éste y otro que queda al lado de la vía, que queda junto a la vía Panorama por el Occidente, y ahí hay una división con el lote que queda en Guare de una acequia de riego. Estos lotes se benefician de aguas del río Pescador, lo sé porque él siempre cuadra la motobomba en una acequia que se surte del río Pescador, lo he visto … Como UMATA nosotros estamos en la obligación de atender permanentemente en la medida que las posibilidades nos lo permitan, a los productores agropecuarios del municipio; para el caso del algodón la UMATA a través de un certificado da constancia del servicio de asistencia técnica a los productores, siempre y cuando ellos lo soliciten, esto con el fin de disminuir los costos de asistencia técnica particular que requiere la asociación o entidad que los está agrupando en ese momento. Esa asistencia se prestó básicamente para ese cultivo de algodón en esa época del primer semestre de 2002 que es cuando es la fecha de ese cultivo en esta zona, porque obviamente la entidad que los agrupa tener asistencia técnica él (sic), Don JULIAN, la solicitó a la UMATA … La siembra de algodón de Don JULIAN fue hecha con las especificaciones que se manda en la zona como fue la preparada del terreno, arada y los tres o cuatro pases de rastrillo, la germinación fue buena, lo normal, se hizo el conteo normal de seis y siete plántulas por metro, de ahí en adelante fueron las labores normales, control de malezas, y de plagas, eso fue normal el desarrollo del cultivo era bueno, excelente, el problema se presentó en junio, de la disminución del caudal, entonces nosotros hablamos de época de siembra de marzo-abril; entonces la floración inicia aproximadamente creo que a los sesenta días, aunque también depende de la variedad, entonces tenemos que en cuanto a la cantidad de riego no tengo claro cómo se comportó el clima, no me acuerdo cuántos fueron los riegos en esa época, pero el desarrollo del cultivo constataba que sí se habían presentado los riegos por el desarrollo que presentaba el cultivo, un desarrollo excelente … El algodón más o menos entre los dos y cuatro meses inicia el período de floración y llenado de cápsulas, la demanda hídrica del cultivo es mayor en esta época debido a la cantidad de estructuras que la planta debe alimentar como son las cápsulas y flores, además por el porte de la planta porque es una planta adulta, y hay un estimativo de la demanda hídrica en esa época que puede superar el 50% de la demanda hídrica durante todo el desarrollo del cultivo … Bajo las condiciones como se estaba manejando el cultivo de algodón aclaro que los datos que voy a dar son datos que da la Federación Nacional de Algodoneros en cuanto a producción y que se han obtenido acá en la zona, dato conocido por todos es de 4.5 a 5 toneladas de algodón semilla por Hra., es la producción que se maneja en esta zona, pues con las nuevas variedades que hay ahora, generalmente como agricultor es la producción que se espera obtener cuando se hace el manejo adecuado del cultivo. El área sembrada de Don JULIAN son 34 Hrs. aproximadamente, si multiplicamos por 4.5 o 5 nos da la producción que estaba como para 4.5 o 5 toneladas. La producción no superó las 100 toneladas, eso lo sé porque a raíz del problema se hizo la verificación de la cantidad entregada a la Federación y en el campo se pesa antes de entregar a la Federación y ya sabíamos el estimado para ir a la Federación … En el momento de presentarse el fenómeno de la disminución, pues no habían más alternativas, pues la única fuente que existe de dónde tomar líquido, si llega a faltar no hay otra alternativa, no hay más de dónde tomarla, el río Cauca está muy retirado. La única estrategia que ya a lo último fue conciliar con los agricultores de la parte alta para que dejaran bajar cualquier poquito de agua, pero fue demasiado tarde para remediar la situación, fueron más o menos 15 o 20 días sin agua para riego, pues el agua que bajaba no era suficiente en este punto … Inmediatamente se presentó la disminución del caudal, se hizo una visita por parte del técnico JORGE IVAN, se aclara JORGE HERNAN TASCON, para verificar la situación, se constató a través de un video, el cual se le entregó al señor ALVARO OVIEDO, inmediatamente los agricultores entre ellos don JULIAN CAICEDO, JOSE ANTONIO GUEVARA y GUSTAVO VELEZ, fueron los agricultores que fueron a la oficina a informar la situación ya que según ellos no se vislumbraba solución alternativa para solucionar el problema de la falta de agua de esos días, la acción siguiente fue que con un funcionario de la CVC, señor CARLOS GUEVARA, se trató de coordinar con los agricultores que se suplen de la acequia TEQUENDAMA, los remanentes para que se pudiera regar acá en la parte baja de la GUEVARA hacia abajo o de la TEQUENDAMA hacia abajo, esa alternativa de remanente no resultó viable ya que en esa época no fue suficiente para atender la demanda … Cuando se presentó el problema no hay un acta de visitas, pero sí se esperó a constatar al momento de la cosecha para constatar que sí había influído esa época de sequía en la producción (…)
.
Finalmente, se encuentra que el actor Julián Ciro Caicedo Soto intervino dentro de la diligencia, peros sus declaraciones no serán tenidas en cuenta por la Sala.
2.2.7.- La inspección judicial continuó respecto de otros de los predios afectados, en este caso aquel cultivado por el actor Eduar García Serna, de cuyo inmueble se indicó:
“(…) nos trasladamos al predio denominado La María ubicado en la vereda Plaza Vieja corregimiento de Guare, Municipio de Bolívar Valle del Cauca, con el propósito de inspeccionar el predio [que] dice cultivar el señor EDUAR GARCIA SERNA … el desarrollo de la diligencia arroja los siguientes resultados: (…) 2.) Daños ocasionados a los cultivos del accionante EDUAR GARCIA SERNA: con respecto a este punto me es difícil hoy por el mismo tiempo que ha transcurrido, establecer qué daños se ocasionaron a los cultivos por la presunta sequía alegada por los accionantes para la fecha de los hechos. 3.) Cultivos existentes para la fecha de los hechos: Igualmente me es difícil establecer en forma directa qué cultivos existían en el momento del fenómeno alegado, pero según manifestación de la parte actora, tenía para ese entonces un cultivo de zapallo, en una extensión de 1 Hra, y con una edad de 2 meses y medio (…).
En relación con el aludido predio, la señora Josefina Murillo Santana –propietaria del mismo– declaró:
“(…) Soy dueña de esta finca desde 1972 finca llamada La María, siempre la han cultivado varias personas con el transcurrir del tiempo y desde hace ocho años la está cultivando EDUAR GARCIA SERNA. El cultivo de zapallo que tenía EDUAR en esta finca denominada La María se dañó por la sequedad, porque no había agua, eso fue hace dos años en el 2002, por la sequedad en el zanjón se dañó el cultivo, el agua la quitaron en el lado de arriba de la bocatoma por tapias y como estaba haciendo tanto verano y los que querían regar primero cogían el agua y quedaba el zanjón sin agua … El tenía cultivo de zapallo, que tenía una edad de dos meses y medio … no se rescató nada la pérdida fue total (…).
También atestiguó el señor Eduardo Ladino Varela, quien expresó:
“(…) Eso fue en el 2002, en esa época teníamos, o tenía EDUAR GARCIA un cultivo de zapallo, eso fue en junio o julio de 2002, el zapallo tenía dos meses y medio, y por falta de agua el zapallo se cristalizó, porque en esa época estaban haciendo la represa arriba, no se cómo se llama, en ese tiempo no dejaban pasar el agua, no había agua en el zanjón que está aquí, que linda con Don EFRAIN MARMOLEJO, había muy poca agua y veníamos y traíamos la motobomba a regar y no había agua con qué regar, eso fue desde la bocatoma que viene hacia acá hacia el zanjón, eso duró bastantito tiempo, esa gotica de agua no alcanzaba a sostener una motobomba, eso duró unos siete meses, entonces tocó dejar eso así si no se podía regar, y debido a eso se perdió lo que había sembrado ahí, lo que era zapallo se perdió todo, toda la cosecha se perdió, se perdió por falta de agua, si al zapallo se, o mejor, si le falta agua se cristaliza, ahí no hubo solución de nada, ya el zapallo cristalizado qué se iba a hacer … después de la represa sí hubo una época que el agua se mermó mucho o se secó, que yo ví, desde la represa para abajo … EDUAR GARCIA me contrató para sembrar un zapallo y para regarlo, la fecha de siembra no me acuerdo, sólo sé que me contrataron para sembrar y regar, y como no se pudo hacer nada de riego porque no había agua. El río se secó, no había agua para regar, eso había muy poquita agua en el río y al no haber agua en el río, en la bocatoma no entra agua para el zanjón. Muchas veces lo mandan a uno a tomar agua y no había agua. Me consta lo de la pérdida del cultivo del zapallo del señor EDUAR porque yo era contratista de él y con qué iba a regar, eso se perdió, se cristalizó, eso tenía dos meses y medio, todo el cultivo se perdió, se cristalizó todo (…)
.
En esa oportunidad declaró el también actor Hébert Mondragón Mondragón, quien volvió a intervenir más adelante, cuando la diligencia se extendió a otros predio
; sus relatos no serán tenidos en cuenta por la Sala, como tampoco lo serán aquellos expuestos por el actor Héctor Ávila Andrad, de acuerdo con lo que se ha venido exponiendo acerca de la improcedencia del “testimonio” de quien integra la parte activa en el proceso.
2.2.8.- El día 22 de septiembre de 2004, la inspección judicial abordó otros inmuebles, los cuales era explotados agrícolamente por los demandantes Héctor Ávila Andrade y Darío Varela Gómez, actuación que arrojó la siguiente información:
“1.) Los bienes raíces se denominan La Chamba, ubicada en la región del Zaque del municipio de Bolívar Valle, con una extensión superficiaria de 16 hrs., con todas sus mejoras y anexidades … el otro predio se denomina El Porvenir, ubicado en la región de Brasilar, en el municipio de Bolívar Valle del Cauca (…) 2) Daños ocasionados a los cultivos de los actores: hoy al Despacho le es imposible en forma directa apreciar daños en razón al tiempo transcurrido, es decir, fecha de los hechos y fecha de esta diligencia. 3) Cultivos existentes para la fecha de los hechos: Por el mismo factor del tiempo mencionado en el numeral anterior, le es difícil al Despacho establecer qué cultivos existían, pero sí se pudo recibir información de los actores HÉCTOR ÁVILA ANDRADE y DARÍO VARELA GÓMEZ aquí presentes, que para la fecha de los hechos que dieron origen a la acción, cultivaban estas propiedades de la misma manera que lo hacen hoy, el primero como propietario cultivando en esa fecha según su manifestación 16 plazas de tierra en maíz blanco y sorgo, y el segundo como arrendatario del primero cultivando cinco plazas y media de maíz blanco y para la fecha de los hechos según manifestación en el predio La Chamba. 4) Aguas que benefician la propiedad: El Despacho pudo determinar claramente que las propiedades en mención se benefician de las aguas del río Pescador que corren por gravedad por las acequias La Molina y La Guevara (…)
.
El señor Argemiro Madrid Mendoza, cuyo testimonio se decretó dentro de la misma diligencia, señaló:
“(…) Soy vecino de HÉCTOR ÁVILA en el corregimiento de San Fernando, él tiene sus tierras en el Zaque, sembró maíz y millo como a mediados del 2002, cuando secaron el río Pescador y por falta de agua se estaba perdiendo la cosecha y se perdió casi la mayor parte … Por esa represa SARA-BRUT, taponaron, le pusieron compuerta para poderla llenar y no quedó pasando agua, eso sería en el 2002 en mayo o junio, inclusive en la casa había una cosecha de tomate y secó por eso (…)
.
De igual manera testificó el señor Raúl Eduardo Andrade de la Cru, quien manifestó:
“(…) Yo le presté el servicio de maquila a HECTOR AVILA, yo le preparé la tierra, le sembré, le regué hasta donde se pudo porque se secó el río … eso fue a mediados de junio de 2002 … tenía maíz blanco y sorgo, pues el cultivo venía bien y a raíz de la sequía fue imposible seguir adelantándole las labores debido a la falta de agua y de ahí el posterior fracaso de las cosechas … se beneficia de la Molina y de la Guevara, [a] esas dos las alimenta el río Pescador y al no haber agua en el río pues se secaron, no hubo cómo alimentarlas y así regar, no hubo capacidad para las bombas … la causa, el cierre de las compuertas del embalse, lo sé porque soy agricultor y también viví la escasez del agua y por las subsiguientes protestas que el pueblo hizo ocasionado por esto … Alrededor de unos 15 o 20 días y me consta porque no pude hacer los riegos en las propiedades de Don HECTOR AVILA (…)” (Negrillas adicionales).
Y en relación con los daños que padecieron los cultivos del actor Héctor Ávila, el testigo sostuvo: “… el maíz parcial y el sorgo en su totalidad, debido a la falta de agua en los principales períodos vegetativos o mejor, períodos críticos, porque íbamos a regar y no había agua …”.
2.2.9.- El día 5 de octubre de 200, se inspeccionó el predio denominado 'Bellavista', de propiedad de la señora María Piedad Molina Ramírez, respecto del cual se indicó:
“El juez pudo constatar directamente que es un predio rural agrícola denominado Bellavista, con una extensión superficiaria de 75 Hras. con 708 M2, dentro del cual los actores tomaron en arrendamiento 52 Hras. 7.057 M2 el 10 de octubre de 2001, terreno este tomado en arrendamiento con los siguientes linderos … Por el tiempo que ha transcurrido desde la fecha de los hechos le es imposible al juez determinar en forma directa cuáles fueron los daños sufridos por los cultivos por la presunta falta de agua … Igualmente le es imposible al Juez establecer en forma directa los cultivos existentes para la fecha de los hechos, por el mismo fenómeno del tiempo transcurrido … La propiedad únicamente se beneficia de las aguas del río Pescador, las cuales son tomadas del mencionado río a través de la acequia La Molina por donde corren por gravedad, atravesando la hacienda Bellavista (…)”.
Aquí declaró el señor Jaime José Rojas Vélez, en los siguientes términos:
“(…) En cuanto lo que yo oigo que trata la pérdida de los cultivos de ORLANDO y SANTIAGO, lo que pasa es que ellos me dieron pasto en los callejones y sobrantes de la finca y dicho ganado los pastoreaba diariamente, eso fue desde el 2001 que llegaron ellos aquí, nos conocimos y nos dieron el pasto, y desde esa época estuve vinculado a la Hacienda Bellavista permanentemente y cuando fueron a sembrar el algodón me enteré del proceso de la siembra que se sembró por allá en marzo de 2002, algodón y el cultivo supuestamente bonito, se cultivó en la Hacienda Bellavista donde yo pastoreaba el ganado. Todo se desarrollaba normalmente hasta el mes de junio de 2002 cuando de momento se presentó una sequía y se conoció que esta sequía se debía a que habían cerrado las compuertas para llenar el embalse SARA-BRUT, y en consecuencia el canal de abastecimiento, o sea la acequia Molina permaneció seca por muchos días, yo creo que por ahí unos quince días, prácticamente seca. Debido a esto los cultivos tuvieron un retraso inmenso, abortaron la floración y ya su producción no fue la misma y esto les ocasionó a los señores antes mencionados unas pérdidas incalculables porque según los comentarios que uno oía decían que Don Santiago y Don Orlando se habían quebrado (…)
(Negrillas adicionales).
2.2.10.- La inspección judicial se extendió al predio denominado 'San Jorge', el cual, según el acta de dicha diligencia, pertenecía al demandante Blas Antonio Guevara Mondragón y cuyas anotaciones apuntaron en la misma dirección que las anteriores, esto es a la imposibilidad de quienes adelantaron la diligencia de establecer si para la época de los hechos habrían existido, o no, cultivos dentro de ese fundo y si en realidad los mismos –en el evento de haber existido– habrían resultado afectados por la supuesta ausencia de agua del río Pescador:
“(…) el Juez no puede determinar con precisión cuáles fueron los daños ocasionados para la fecha de los hechos, por la misma razón lógica del tiempo transcurrido … le es imposible al Juez apreciar en forma directa qué cultivos existían para la fecha de los hechos, dice el actor que tenía cultivado maíz en una extensión de cuatro plazas con una edad de tres meses con proceso de floración (…).
El señor Guillermo Valdés relató:
“Yo trabajé en la piscina del Club de Leones en el 98 o algo así … de ahí para acá nos hicimos amigos con BLAS ANTONIO GUEVARA, pues yo venía acá y él me buscaba para hacer trabajos cuando estaba en vacaciones, y cuando me retiré de la piscina me buscaba para más trabajos. Ya en el mes de marzo de 2002 me buscó para ayudarle a cultivar el maíz, cuatro plazas y en un promedio de junio cuando estaba en flor el maíz llegó la sequía por falta de agua en el río Pescador y la cosecha se perdió. El río de ahí para arriba estaba seco, duró por ahí mes a mes y medio así, entonces se perdió la cosecha por falta de agua, no hubo con qué regar y se perdió la cosecha … lo que se siembra en cultivo se beneficia del río Pescador, pues porque por aquí pasa el río, yo he regado y se hace por gravedad … el caudal era normal, bueno, antes de la represa, en el momento que la empezaron a llenar mermó el agua por [el] cierre de las compuertas, el río se secó desde arriba, desde Primavera más o menos, y después del llenado, el caudal del río, el promedio, volvió a la normalidad. Esto lo sé porque yo fui a la represa y cuando estaban cerradas las compuertas el río estaba seco (…)
.
2.2.11.- Al día siguiente, 6 de octubre de 2004, se abordó el predio 'El Recuerdo', cuya propiedad le habría correspondido al señor José Orlando Valencia Grisales, ubicado en el corregimiento el Guare, Municipio de Bolívar (Valle del Cauca), con una extensión de 7 hectáreas de terreno y respecto del cual también se advirtió:
“Es imposible determinar en este momento en forma directa los daños sufridos por los cultivos para la época de los hechos, por el tiempo que ha transcurrido. Dice el actor que los cultivos se dañaron y con sus palabras, que se amarillaron y chuparon por falta de agua secándose en forma total … Por el tiempo transcurrido también le es difícil al Juzgado establecer directamente qué cultivos existían, dice el actor, como quedó escrito antes, que los cultivos eran se zapallo y tomate en una extensión de dos plazas, con una edad de 45 día de sembrado (…).
El testigo Julio Aldemar Gutiérrez indicó:
“(…) Yo soy vecino de ORLNADO VALENCIA y CARLOS ROJAS desde hace unos cuatro años más o menos y en razón de ese vecindario conozco la propiedad de Don ORLANDO y el cultivo que ellos tuvieron aquí en esta finca El Recuerdo, donde tenían cultivadas como dos plazas de tierra, una de tomate y otra de zapallo para el primer semestre de 2002, esos cultivos iban muy bien para esa época, ya tenían como unos cuarenta días para el mes de junio de 2002 y a consecuencia a (sic) falta del agua no tuvieron con qué regar y la cosecha se les perdió, inclusive a mí me regalaron ese zapallo para los cerdos, ya inclusive el zapallo estaba chupado por la falta de agua y por eso me lo regalaron. Creo que eso se les perdió prácticamente todo. Por aquí todo el mundo nos dimos cuenta de la sequedad de la acequia que pasaba por la finca de Don ORLANDO, eso prácticamente se secó de unos quince a veinte días, si acaso corría muy poquito, y eso a veces, eso se presentó a consecuencia de arriba de la represa, como allá cogieron esa agua para llenar la represa, creo que ese fue el motivo para que no llegara agua acá. Esto lo digo porque yo soy vecino de la acequia y lo observé (…)
(Negrillas adicionales).
2.2.12.- La diligencia prosiguió respecto del predio 'La Teresa', de propiedad del demandante Eugenio Oviedo Otero, en el cual sembró el también actor José Vicente Rivera Oviedo, inspección que arrojó, entre otras cuestiones, lo siguiente:
“El Juez no puede establecer directamente los daños ocasionados a los cultivos en razón del tiempo transcurrido, dicen los actores que tenían cultivado tomate en aproximadamente una plaza y maracuyá en aproximadamente tres plazas, el tomate, según manifestación de su propietario JOSE VICENTE RIVERA OVIEDO se le secó en su totalidad y que para la fecha de los hechos tenía una edad de 55 días aproximadamente. Según afirmación del dueño de la maracuyá (sic), señor EUGENIO OVIEDO OTERO, su cultivo se vio perjudicado igualmente por el verano y por falta de agua … por el tiempo transcurrido se le hace imposible determinar al Despacho los cultivos existentes para la fecha de los hechos. Según manifestación de los actores, dentro de la propiedad La teresa tenía cultivado el señor JOSE VICENTE RIVERA OVIEDO una plaza de tomate más o menos, constituida por doce mil plántulas, con una edad de 55 días más o menos, y el señor EUGENIO OVIEDO OTERO tres plazas en maracuyá con una edad de trece a catorce meses (…).
En esa oportunidad intervino directamente el actor Eugenio Oviedo Otero, cuyos señalamientos no se tendrán en cuenta, pero sí serán valorados los relatos expuestos por los testigos Martín Eugenio Posso y Juan Carlos Sánchez Jiménez, quienes, en su orden, expresaron:
“(…) Yo distingo hace más de 20 años al señor EUGENIO OVIEDO y al señor VICENTE unos pocos años, y cuando el señor VICENTE sembró una tomatera aquí donde Don EUGENIO, en la finca La Teresa, eso fue en el 2002, me llamó a trabajar en la tomatera, se sembró una plaza, yo trabajé en el abono, se colgó, se fumigó, se hizo todo eso y a mediados de junio hubo resequedad aquí en la tomatera, nos quitaron el agua más o menos 20 días, nos quitaron el agua de la represa, no había dónde regar, se esperó y ya cuando llegó ya era toda reseca, la acequia que linda con la propiedad quedó seca, eso no había llegado a pasar, yo soy nacido y criado aquí, otras personas se fueron a buscar agua arriba y nada, dicen que fue lo de la represa y no quedó pasando nada, hasta los pescados se murieron, lo que quedó fue nada, no había dónde regar (…)
.
“……………………………….
“(…) Yo a Don EUGENIO lo conozco desde los doce años y a Don VICENTE hará unos cuatro años, a Don EUGENIO lo conozco porque he trabajado con él y a VICENTE porque vivió aquí y sembró en esta propiedad. Yo como he trabajado con Don EUGENIO, él me llamó para sembrar un (sic) maracuyá en agosto de 2001, se sembraron tres plazas en esta finca, estuve trabajando once meses, plantar el cultivo, hacer el montaje del alambre, guadañar, fumigar, regar, regábamos de la acequia que linda con la finca, lo hacíamos por gravedad, había buen caudal de agua, y en junio de 2002, que cerraron las compuertas de la represa para llenarla, se secó totalmente la acequia porque no pasaba nada de agua, yo lo ví por lo que nos tocó subir a buscar agua y no encontramos, ni en el río había agua, no hubo solución porque las matas empezaron a marchitarse, duró como un mes esto sin agua, ya la maracuyá se durmió, claro que no se murió del todo, entonces el patrón Don EUGENIO OVIEDO no volvió a meterle muchos gastos y duraría dos o tres meses y se abandonó porque la mata ya no reaccionaba cuando volvió el agua … Antes era un caudal bueno, excelente, cuando el cierre de las compuertas se secó totalmente, hasta los pescados se murieron, así estuvo unos 25 días (…) (Se destaca).
2.2.13.- La diligencia continuó el día 20 de octubre de 2004, fecha en la cual se inspeccionaron los siguientes predios:
'El PIPI II', de propiedad del señor Julián Caicedo Oriente, quien declaró dentro de la diligencia, pero sus relatos no serán acogidos; respecto del inmueble se indicó dentro de la inspección judicial lo siguiente:
“Por el tiempo transcurrido desde la fecha de los hechos y el desarrollo de esta inspección, le es imposible establecer qué cultivos existían en el predio. Dice el actor que tenía cultivado maíz híbrido … con una edad de 90 días aproximadamente … Le es imposible al Despacho determinar los daños sufridos en razón al tiempo transcurrido entre los hechos y la realización de esta prueba (…)
.
Un lote de terreno –sin denominación– que habría sido cultivado por el actor Rubén Darío Tascón Rodríguez y cuya propietaria sería la señora María del Carmen Valderrama, respecto del cual se anotó:
“Por el tiempo que ha transcurrido, le es difícil al Despacho determinar qué cultivo existía, dice el actor que tenía cultivado 1.200 matas de maracuyá con una edad de 15 meses … En forma directa el Despacho no puede determinar qué daños sufrió el cultivo por la misma razón lógica del tiempo transcurrido … El predio se surte de aguas del Río pescador que llegan por gravedad a través de la acequia La Molina (…) (Se destaca en negrillas).
2.2.14.- La inspección judicial finalizó el 27 de octubre de 2004 y ese día se inspeccionó el predio denominado 'El Gólgota', de propiedad del señor Hébert Mondragón, respecto del cual igualmente se señaló: <<… según el actor, tenía cultivadas cuatro Hras. de sorgo … Por el transcurso del tiempo le es difícil al Despacho establecer los daños en forma directa … Se beneficia [el predio] única y exclusivamente de las aguas del río Pescador que llegan a través de la acequia Tequendama …>
.
En esta última oportunidad el demandante Hébert Mondragón llevó a cabo unas declaraciones en punto a los cultivos por él sembrados, pero tales señalamientos no se acogerán porque sus relatos no provienen de un interrogatorio de parte, sino que fueron producto de su simple intervención directa –por demás sin la gravedad del juramento–, es decir, sin sujeción a lo previsto en el numeral 8° del artículo 246 del C. de P. C., en cuya virtud se permite que dentro de la inspección judicial el juez, de oficio o a petición de parte, interrogu
“… a las partes presentes en la diligencia, sobre hechos relacionados con ésta”.
La anterior consideración resulta aplicable igualmente a todas aquellas intervenciones efectuadas, en forma directa, por los distintos demandantes –antes descritos– al momento de inspeccionar los predios por ellos cultivados, amén de reiterar que casi todas sus intervenciones se realizaron a título de prueba testimonial, medio probatorio éste que resulta improcedente para quien tiene también la condición de parte en el proceso, tal como se explicó anteriormente.
También resulta oportuno precisar que la C.V.C., dentro de la inspección judicial que se acaba de reseñar, tachó de sospechosos tanto los “testimonios” de los actores –tema ya definido–, como de aquellas personas que en su condición de empleados o contratistas de los actores declararon en la aludida diligencia, tacha a la cual se sumó la compañía MAPFRE SEGUROS GENERALES S.A., las cuales fueron recibidas por el Juez comisionado para adelantar la aludida inspección, tal como consta en el acta respectiva, quien manifestó que dicha tacha debería resolverla el Tribunal Administrativo del Valle del Cauca, Corporación que, bueno es precisarlo, no se ocupó del tema dentro del fallo apelado.
Pues bien, la Sala estima que las declaraciones que proporcionaron las personas que de una u otra manera tuvieron para la época de los hechos un vínculo laboral o económico con los diferentes actores sí cuentan con mérito probatorio, sea porque éstos los contrataron únicamente para que ejercieran actividades agrícolas respecto de los cultivos para ese preciso momento, ora porque contaban con un vínculo laboral, pues a juicio de la Subsección todas esas personas, precisamente por la labor productiva que realizaron en cada predio cultivado por los actores, cuentan con pleno conocimiento y acierto respecto de hechos debatidos y, por lo tanto, sus declaraciones gozan de mayor credibilidad y exactitud, a lo cual conviene agregar que no todos los declarantes tenían un vínculo económico para con los actores y aún así sus relatos, junto con los de aquellos que sí lo tenían, resultan completamente coherentes y coinciden en la manera en la cual se produjo el hecho dañoso.
En línea con lo expuesto cabe señalar que esta Sala, al analizar un caso similar a éste, dio mérito probatorio a los testimonios rendidos por quienes en su momento fueron trabajadores o empleados de quien demandaba la responsabilidad del Estado por la pérdida y/o destrucción de diversos muebles, enseres y animales que se encontraban en distintos inmuebles de su propiedad, tal como lo refleja el siguiente pronunciamiento:
“A juicio de la Sala, la pretensión que por daño emergente se elevó está llamada a prosperar, dado que de los testimonios practicados se extrae con claridad y coherencia que como consecuencia de la privación de la libertad a la cual fue sometido de manera injusta el señor Carlos María Ruíz Ruíz, éste debió desatender su predio, lo cual llevó a la pérdida de los bienes que dentro de dicho inmueble se encontraban, situación –o mejor– perjuicio que resulta coherente y razonable con las circunstancias que rodearon el caso.
Ahora bien, no puede la Sala desconocer la evidente dificultad que frente a la acreditación de los perjuicios alegados por la parte actora se presenta en este caso, habida cuenta de la inexactitud que existe en punto a determinar cuáles y cuántos eran realmente los bienes –animales, cultivos, muebles, enseres y demás– que existían dentro del predio de propiedad de la víctima directa del daño; sin embargo, existen diversas circunstancias, desde luego todas ellas derivadas de la prueba que sí existe acerca de la existencia de tales bienes al momento de presentarse la detención del señor Ruíz Ruíz, que permiten establecer la certeza del perjuicio deprecado.
Según lo demuestran los testimonios, todos ellos provenientes de personas que desde años atrás conocían a la víctima e incluso algunos de ellos eran sus trabajadores, el señor Ruíz Ruíz tenía en su predio ganado vacuno, cerdos, caballos y diferentes bienes muebles y enseres; que como consecuencia de la privación injusta de la libertad de la cual fue objeto no pudo atender su predio y ello le impidió su explotación, ocasionando una desaparición de los bienes muebles, semovientes y enseres que tenía en ese momento, lo cual se traduce, por tanto, en la pérdida de los mismos; debe tenerse en cuenta, además, que el procesado estuvo privado de su derecho a libertad por más de 5 años, tiempo absolutamente amplio para el deterioro y la consiguiente pérdida de cualesquier bien mueble, incluso por el simple paso del tiempo, lo cual resulta igualmente aceptable si se tiene en cuenta la época en la cual se presentaron los hechos (año de 1990 a 1995).
De conformidad con todo lo anterior, la Sala estima que la pérdida de los bienes muebles y enseres, incluidos los semovientes, obedeció a la privación injusta de la libertad a la cual fue sometido el señor Ruíz Ruíz y, por consiguiente, el perjuicio material derivado de dicha pérdida le resulta imputable a la Nación, comoquiera que se estableció que después de que fue retenido dejó de atender el predio y por lo tanto se perdieron los bienes muebles, semovientes y enceres que había en ese momento en el inmueble
.
2.3.- Pruebas documentales:
2.3.1.- Copia autenticada del contrato C.V.C. No. 0478 de 2000 –con sus respectivas adendas–, celebrado entre la Corporación Autónoma Regional del Valle del Cauca –C.V.C.– y la sociedad CONCONCRETO S.A., el día 11 de diciembre del año 2000, con el objeto de adelantar la “Construcción del Sistema de Abastecimiento Regional de Agua para los municipios de Bolívar, Roldanillo, La Unión, Toro, Zarzal, La Victoria, Obando y los corregimientos de Ricaurte y la Herradura …
.
2.3.2.- Copia auténtica del acta de recibo final de los trabajos relacionados con el contrato C.V.C. No. 0478 de 2000 “PROYECTO SARA – BRUT”, suscrita entre las partes contratantes y la intervetoría del contrato, el día 14 de octubre de 200
.
2.3.3.- Copia auténtica del acta de recibo final de las actividades pendientes del contrato C.V.C. No. 0478 de 2000 “PROYECTO SARA – BRUT”, suscrita entre las partes contratantes, el día 27 de noviembre de 200
.
2.3.4.- Copia auténtica del acta de liquidación final del contrato C.V.C. No. 0478 de 2000, suscrita entre las partes contratantes y la interventoría del contrato, el día 22 de abril de 200, de cuyo contenido se extrae que las obras para la ejecución del proyecto SARA-BRUT iniciaron el día 22 de enero de 2001 y culminaron el día 14 de octubre de 2003.
2.3.5.- Copia autenticada de la Resolución No. 0532, fechada el 1° de julio de 1999, a través de la cual el Ministerio del Medio Ambiente otorgó a la C.V.C., licencia ambiental para llevar a cabo la ejecución del proyecto denominado SARA-BRU. Dentro de ese acto administrativo se destacan las siguientes consideraciones y disposiciones por parte del aludido Ministerio:
“…………………
“Que teniendo en cuenta los estudios ambientales y la documentación presentada a este Ministerio, la C.V.C., no solamente persigue la construcción del proyecto y la solución a un problema de agua potable sino que se compromete a la conservación y preservación de los recursos y el entorno natural de la cuenca alta del río Pescador, ya que es la principal corriente hídrica que alimentará el embalse (…)”.
“…………………
Concesión de aguas: Autorizar a la C.V.C. el uso de 450 lts/seg (0.45m3/seg) del río Pescador, cuyo destino será el suministro de agua a los municipios de Bolívar, Roldanillo, Toro y otras poblaciones. El sistema de captación se hará por gravedad mediante la utilización del embalse de regulación.
No obstante lo anterior, la C.V.C deberá reglamentar la cuenca del río Pescador, garantizando el recurso hídrico a los usuarios de la cuenca que no dependan del suministro que se les otorgará con la construcción del acueducto.
“…………………
“ARTICULO QUINTO:- La licencia ambiental otorgada mediante esta Resolución, sujeta al beneficiario de la misma al cumplimiento de las obligaciones contenidas en el Estatuto de Impacto Ambiental, el Plan de Manejo Ambiental, así como al cumplimiento de las siguientes obligaciones:
“1.- Se deberá mantener como mínimo, aguas abajo de la presa, un caudal ecológico en el río Pescador de 0.4 m3/seg con lo cual se garantiza la conservación de las especies ícticas. Así mismo, se deben mantener las concesiones ya otorgadas, especialmente las de consumo doméstico siempre y cuando dichas concesiones no sean reemplazadas por el suministro a través del acueducto que se pretende construir. De igual manera se deben revisar y controlar los permisos de vertimientos autorizados con el propósito de evitar el aumento en la contaminación especialmente aguas abajo del sitio de presa, pues si bien es cierto, el volumen de aguas vertidas se mantienen, no es así para el cuerpo receptor ya que el caudal de este se ve disminuido a causa de la captación para alimentar el embalse.
“…………………
“ARTICULO SEXTO:- Durante el tiempo de ejecución del proyecto, se deberá realizar un seguimiento ambiental permanente, a través de una interventoría ambiental contratada con una entidad especializada, con el fin de supervisar las actividades y verificar el cumplimiento de las obligaciones señaladas en el Estudio de Impacto Ambiental, Plan de Manejo Ambiental y en esta providencia.
“…………………
“ARTICULO DECIMO CUARTO:- En caso de detectarse durante el tiempo de ejecución de las obras u operación del proyecto efectos ambientales no previstos, la Corporación Autónoma Regional del Valle del Cauca C.V.C. deberá suspender los trabajos e informar de manera inmediata al Ministerio del Medio Ambiente para que determine y exija la adopción de las medidas correctivas que considere necesarias, sin perjuicio de las medidas que debe tomar el beneficiario de la misma para impedir la degradación del medio ambiente” (Se destaca en subrayas y en negrillas).
2.3.6.- Copia autenticada de la Resolución No. 0715, proferida el 30 de agosto de 1999, a través de la cual el Ministerio del Medio Ambiente modificó el acto por medio del cual le otorgó la licencia ambiental a la C.V.C., en el sentido de incluir, como beneficiarios del proyecto SARA-BRUT, los Municipios de Zarzal, La Victoria y Obando en el Departamento del Valle del Cauc
.
2.3.7.- Copia auténtica de la Resolución No. 0306, de fecha 9 de abril de 2002, por medio de la cual el Ministerio del Medio Ambiente modificó la licencia ambiental conferida a la C.V.C., para efectos de adoptar, entre otras determinaciones, las siguientes:
“(…) Se deberá mantener como mínimo, aguas abajo de la presa, un caudal ecológico en el Río Pescador de 0.35 m3/seg con lo cual se garantiza la conservación de las especies ícticas. Así mismo, se deben mantener las concesiones ya otorgadas, especialmente las de consumo doméstico siempre y cuando dichas concesiones no sean reemplazadas por el suministro a través del acueducto que se pretende construir. De igual manera se deben revisar y controlar los permisos de vertimientos autorizados con el propósito de evitar el aumento en la contaminación especialmente aguas abajo del sitio de presa, pues si bien es cierto, el volumen de aguas vertidas se mantiene, no es así para el cuerpo receptor ya que el caudal de este se ve disminuido a causa de la captación para alimentar el embalse.
2.3.8.- Copia autenticada de la Resolución No. 0545, calendada en junio 18 de 2002, en cuya virtud el Ministerio del Medio Ambiente, a petición de la C.V.C., modificó la Resolución 0306 del mismo año en el sentido de disminuir el caudal ecológico para el río Pescador con ocasión del proyecto SARA-BRUT, así:
“ARTICULO SEGUNDO.- La Corporación Autónoma Regional del Valle del Cauca –CVC– deberá garantizar el caudal ecológico para el río Pescador en 0.200 m3/seg aguas abajo del embalse, cuyo registro permanente se realizará mediante una estación de monitoreo correspondiente a la propuesta en el Estudio de Impacto Ambiental del proyecto”.
“ARTICULO CUARTO.- La CORPORACIÓN AUTÓNOMA REGIONAL DEL VALLE DEL CAUCA –CVC–, deberá tener en cuenta, en el proceso de llenado del embalse, los siguientes aspectos:
1. El caudal del Río Pescador aguas abajo del proyecto durante la etapa del llenado no podrá ser menor a los 200 lps, para lo cual, se alimentará esta zona desde la parte alta (aguas arriba de la presa) con sistemas mecánicos. Para el monitoreo del caudal se adaptará el sistema de bombeo previo inicio del llenado, para bombear como mínimo el caudal ecológico solicitado”.
“…(…)…. (Se destaca).
2.3.9.- Copia auténtica de la Resolución No. 0223 de 21 de febrero de 2003, mediante la cual el Ministerio de Ambiente, Vivienda y Desarrollo Territorial abrió investigación y se formuló pliego de cargos en contra de la C.V.C., por la supuesta inobservancia a la licencia ambiental a ella conferida para la ejecución del proyecto SARA-BRUT, decisión que encontró fundamento, entre otras motivaciones, en las siguientes:
“……………………..
“Que la Subdirección de Licencias realizó el seguimiento ambiental del proyecto a que se refiere la presente providencia, habiéndose expedido el Concepto Técnico No. 1071 de octubre 15 de 2002, en el cual, se hace el análisis de la información y de la visita de seguimiento realizada, como sigue:
“……………………..
'El proceso de llenado del embalse se inició el día 13 de junio de 2002, y de acuerdo al informe de la interventoría ambiental, se contaba con un sistema mecánico que garantizara los 350 lps, como caudal ecológico previstos en la resolución 0306 del 2002 (Vigente para dicho día).
Recogiendo los escritos remitidos a este Ministerio y referenciados en los antecedentes del presente concepto, se manifiesta que con la iniciación de las actividades de llenado del embalse del proyecto SARA BRUT, se presentaron los siguientes acontecimientos:
1. Incumplimiento de los caudales ecológicos exigidos en la licencia ambiental del proyecto, aguas abajo de la presa (350 lps antes del 18 de junio de 2002 y 200 lps después de dicha fecha), presentándose episodios de ausencia de flujo en el cauce.
2. Mortandad ícticas y demás recursos hidrobiológicos, por los eventos de desaparición de caudal aguas debajo de la presa.
3. Los caudales reportados por la CVC, medidos sobre el río Pescador aguas debajo de la presa, para el día 24 de junio reportaron valores de 102 lps.
4. Pérdida significativa del caudal del río, que impidió el normal riego de los cultivos locales.
“………………………..
“1.1. INFORME DE INTERVENTORIA AMBIENTAL
Con relación al último informe mensual de la interventoría ambiental, correspondiente al período comprendido entre el 22 de mayo y el 23 de junio de 2002, en el mismo se presentaron los siguientes incumplimiento[s] de la licencia ambiental por parte de la CVC:
“………………………..
No haber garantizado durante todo el tiempo de la etapa del llenado el caudal ecológico de 200 l.p.s. sobre el río Pescador, previsto en la resolución 0545 de 2002, causando afectación de la fauna acuática de este cuerpo de agua.
No haber realizado el registro diario de caudales sobre el río Pescador aguas debajo de la presa solicitado en la resolución 0545 de 2002.
“………………………..
Por la disminución de caudal sobre el río Pescador, en valores menos a los estipulados como caudal ecológico aguas abajo de la presa, se causó afectaciones a la biota presente en el río, actividades económicas productivas y a las actividades recreativas (…) (Se destaca).
Entre los cargos que se le formularon a la C.V.C., se encuentra el siguiente:
“…………………
“TERCER CARGO.- Presunto incumplimiento de los artículos primero y cuarto de la Resolución No. 0545 de junio 18 de 2002, por:
1) No haber garantizado durante todo el tiempo de la etapa de llenado del embalse el caudal ecológico de 200 l.p.s. sobre el río Pescador, causando afectación de la fauna acuática de este cuerpo de agua”.
2.3.10.- Copia de la relación que efectuó la Secretaría de Agricultura y Pesca (Subregión Norte) de la Gobernación del Valle del Cauca de los productos agropecuarios en el área de influencia del proyecto SARA-BRUT y del río Pescador en el Municipio de Bolívar (Valle del Cauca), de lo cual se destaca:
“………………………
“3. La tercera zona va desde el perímetro urbano de Bolívar hasta la desembocadura del río Pescador en el río Cauca, circundando los corregimientos de San Fernando, Plaza Vieja, Guare y otros. Sus principales cultivos son:
Cultivo de maíz
Cultivo de soya
Cultivo de sorgo
Cultivo de algodón
Cultivo de papaya
Cultivo de maracuyá
Otros
“………………………
“Los cultivos anteriormente mencionados se encuentran en la zona de influencia del proyecto SARA BRUT y río Pescador, por lo tanto se requiere del caudal hídrico de éste para aprovecharlo en épocas de sequía en actividades de riego
(Negrillas y subrayas fuera del texto original).
2.3.11.- Copia del documento denominado “CONSIDERACIONES DE LA INTERVENTORIA AMBIENTAL”, el cual lo aportó la misma persona que lo elaboró, Ingeniero Ramón Eduardo Agudelo Mejía –quien dirigió la interventoría ambiental respecto del proyecto SARA-BRUT– dentro de la diligencia de testimonio a él recepcionado.
La Sala le conferirá mérito probatorio, de conformidad con lo normando en el numeral 1° del artículo 252 del C. de P. C., en cuya virtud el documento privado se tiene por auténtico “Si ha sido reconocido ante el juez …
.
Dentro del informe final que elaboró la interventoría ambiental respecto de la ejecución del proyecto SARA-BRUT, se consignó la siguiente información:
“(…) la decisión que en últimas se tome sobre el caudal ecológico tendrá implicaciones de cierta gravedad sobre las concesiones de agua que la C.V.C. tiene aprobadas para ser derivadas del río Pescador aguas debajo de la represa, la mas significativa a la simple observación, son las concesiones para la irrigación de cultivos que en épocas de verano, es bien sabido, son utilizaciones exigentes.
“………………………..
“Complementariamente sugerimos que la C.V.C. en forma inmediata retome las concesiones de agua aprobadas agua debajo de la represa, revisarla si es posible, pretendiendo un caudal ecológico de 200 lps, para adelantarse a problemas con propietarios y usuarios que pueden recibir perjuicios económicos por la disminución del caudal.
“………………………..
“18.3. LO QUE QUEDO DEL RIO PESCADOR DESPUES DEL CIERRE DE LAS COMPUERTAS DE LA REPRESA PARA LLENAR EL EMBALSE DEL PROYECTO SARA-BRUT
“El 13 de junio de 2002 se bajaron las compuertas para iniciar el llenado del embalse del proyecto SARA BRUT (…).
“………………………..
“Considerando la interventoría ambiental que es de su incumbencia y responsabilidad observar el comportamiento del río Pescador bajo los efectos producidos por la asombrosa disminución de su caudal realizamos una visita ocular a todo lo largo del lecho del río entre el puente de ingreso al Municipio de Bolívar y hasta más arriba de la planta de tratamiento de agua potable de Acuavalle que surte al Municipio de Bolívar.
“Esa visita la llevamos a cabo el día 20 de junio de 2002, exactamente ocho días después de iniciarse el llenado del embalse, considerando que por el lecho del río Pescador podrían estar fluyendo entre 200 y 250 l/s en razón de los ajustes aún en proceso del caudal ecológico y de las fugas que aún existen.
“La realidad que observamos demuestra, al menos para nosotros, una situación fuertemente crítica que desdice y va en contravía de todo lo establecido en la licencia ambiental y que va a ser causa y motivo de descontentos sociales en el Municipio de Bolívar y de protestas y reclamos de los cultivadores a los cuales la C.V.C. les ha concedido licencias de agua para riego.
“Estas son las consecuencias problemáticas ya patentes al mantener la existencia del río Pescador corriendo por su lecho, amplio y pedregoso, un escaso caudal de 200 l/s.
“La importancia y gravedad de las consecuencias de esta situación, no las estableceremos por el orden en que las colocamos en este informe, todas constituyen un conjunto integrado de problemas que la C.V.C., responsable del proyecto, del cumplimiento de la licencia ambiental y de la conservación del medio ambiente en el Valle del Cauca, debe resolver y para ello iniciar de inmediato todas las actividades de mitigación ecológica y social, dado que son consecuencia de la ejecución del proyecto SARA BRUT.
“………………………..
“7. Las concesiones de agua para riego aprobadas por la C.V.C. a varios cultivadores, que pueden alcanzar en períodos de sequía, que es cuando se hace urgente el riego de los cultivos, 492 l/s, ¿Cómo podrán ser atendidas con menos de 200 l/s, si lo que debe utilizar Acuavalle para atender las necesidades del municipio de Bolívar, es prioritario y son de 26 l/s? ¿Será fácil en estas condiciones organizar turnos de riegos satisfactorios?
Son evidentes las graves consecuencias económicas por bajas en la productividad de unos cultivos sin riego oportuno y evidente.
“………………………..
SUGERENCIAS PARA MITIGAR LOS EFECTOS NEGATIVOS PLANTEADOS
“………………………..
“B. Operar el sistema del proyecto SARA BRUT, como un sistema absolutamente complementario, que permita elevar el caudal ecológico a un volumen tal que permita conservar la biota acuática aguas abajo de la represa.
“………………………..
“D. Adelantar un proceso de unidad de agricultores constituyendo una junta de usuarios para este pequeño sistema de riego por tomas individuales, que le den mayor y mas eficiente viabilidad al suministro de agua para el riego, anticipándose así a las grandes controversias que aparecen siempre ante las dificultades para utilizar conveniente y oportunamente el agua para irrigación.
“F. Para asegurar la complementariedad del Proyecto BRUT, atender las necesidades de los municipios ligados al sistema y mejorar su operación con miras a encontrar la posibilidad de aumentar por encima de 200 l/s la cantidad de agua para asegurar la vida del río Pescador aguas debajo de la represa, la C.V.C., debería adelantar un programa inmediato de mejora de las fuentes que abastecen los acueductos actualmente, aguas superficiales y pozos, para que las demandas al SARA-BRUT sean menores y de la represa se puedan derivar volúmenes de agua suficientes para normalizar la vida del Río Pescador” (Destaca la Sala).
2.4.- Dictamen pericial.
2.4.1.- El perito que intervino a lo largo de la inspección judicial rindió el siguiente informe técnico:
“1- FUENTES DE INFORMACION
1.1.- Para llevar a cabo mi experticia sobre los posibles daños y perjuicios presuntamente ocasionados a los diferentes cultivos sembrados para la fecha de los hechos (Junio 2002) tuve como soporte la información suministrada dentro de la diligencias de inspecciones judiciales en cada uno de los predios y a los diferentes documentos aportados por los accionantes en el presente proceso.
1.2.- A conceptos técnicos suministrados personalmente por los ingenieros agrónomos y administradores vinculados a la empresa 'Grajales Hnos.' del Municipio de la Unión Valle quienes llevan el estudio de las labores agro técnicas que se aplican a los diferentes cultivos que siembran en la zona de Roldanillo – La Unión – Toro y Bolívar Valle, entre ellos cultivos de maracuyá – tomate –zapallo y tabaco Rubio.
1.3.- A intercambio de información suministrada por varios agricultores que trabajan directamente en el cultivo de maíz y sorgo con una amplia experiencia en el manejo de estos.
1.4.- Registro de visitas de octubre 26 del año 2004 donde se especifica los rendimientos por planta en el cultivo de tomate.
1.5.- Gráfica de rendimiento promedio algodón semilla Kg/Ha de la variedad delta opal con promedio en la zona de Roldanillo Valle de 4.882 Kg/ha.
1.6.- Certificación de la corporación de algodoneros, expedida a nombre del señor Julián Ciro Caicedo Soto con promedio de 5.000 Kg/Ha. En la zona de Bolívar Valle.
1.7.- Cartas catastrales de los predios cultivados por los accionantes, con sus respectivos planos, áreas colindantes, ubicación y títulos de propiedad expedidas por el Instituto Geográfico 'Agustín Codazzi' Seccional Valle del Cauca.
1.8.- Finalmente anexo certificado de la Corporación de Algodoneros capítulo de Roldanillo a nombre de Raúl Andrade Torres con el fin de amparar los rendimiento en el cultivo de algodón en el semestre 'A' del año 2002 por coincidir con la fecha de los hechos que presuntamente ocasionaron los posibles daños y perjuicios diferentes cultivos (sic) sembrados por los accionantes.
“……………………….
“2- ESTIMATIVO DE VALORES Y PRODUCCIONES:
Los estimativos de valores y producciones por cosecha de conformidad con las certificaciones y conceptos técnicos expuestos en el ítem anterior, son los siguientes por hectárea de producción normal. Ejemplo:
a- CULTIVO DE MARACUYA (1 ha.)
Siembra a una distancia de 3.5 x 3.00 m. 952 plantas
Producción planta por cosecha 1 ½ años 50 kilos
Producción total por cosecha / ha 47.600 kilos
b- CULTIVO DE TOMATE (1 ha.)
Siembra distancia entre surco 1.20m entre planta 0.5m 16.000 plantas
Producción planta por cosecha (5 meses) 4 kilos
Producción total por cosecha / ha 66.400 kilos
c- CULTIVO DE ZAPALLO (1 ha.)
Siembra 3.00 x 3.00 m. de distancia 1.100 plantas
Producción planta por cosecha / ha. 40 kilos
Producción total por cosecha / ha 44.000 kilos
d-
No. Cultivo Producción normal Kg./ha.
1 Algodón 4.800 Kg./ha
2 Maíz 6.500 Kg./ha
3 Sorgo 6.300 Kg./ha
4 Maracuyá 47.600 Kg./ha
5 Tomate 66.400 Kg./ha
6 Zapallo 44.000 Kg./ha
“...(…)…”.
A continuación, el perito elaboró dos cuadros a través de los cuales se refirió, en el primero de ellos i) al predio cultivado por cada actor; ii) al área total del inmueble y al área cultivada; iii) a la ubicación del predio y al tipo de cultivo sembrado; iv) a la fuente hídrica y a la distancia –en metros– para la toma del agua y v) a la clase de riego utilizado respecto de cada siembra.
En el segundo cuadro se consignó: i) el número de kilogramos en la producción normal de cada cultivo; ii) la producción obtenida en cada cultivo para el semestre A del año 2002; iii) la diferencia en la producción; iv) el valor del kilogramo para el semestre A y, finalmente, v) a la cuantificación de la pérdida en producción por cultivo respecto de cada demandant
, para concluir lo siguiente:
“TOTAL PÉRDIDAS: QUINIENTOS VEINTE MILLONES DOSCIENTOS VEINTIOCHO MIL NOVECIENTOS CINCUENTA PESOS M/CTE. ($520.228.950).
Nota: Al accionante Eduar García Serna se le liquidó el kilo de Zapallo a $270 por cuanto fue el valor que dejó de percibir en la venta, cuyo precio era de $300 kg. En el semestre A del año 2002.
La accionante Elvira de Marmolejo y Héctor Ávila Andrade tampoco se les contabilizó las pérdidas sobre el cultivo de pasto, porque se desconoce la variedad sembrada teniendo en cuenta que existen muchas variedades resistentes a la sequía.
4.2.2.- Del anterior informe pericial se dio traslado a las partes y ello dio lugar a que fuese objeto de sendas peticiones de aclaración, corrección y adición por parte de la compañía MAPFRE Seguros Generales de Colombia y de la sociedad Acuavalle S.A., E.S.P., las cuales dieron lugar a un nuevo pronunciamiento por parte del perito en los términos que a continuación se transcriben:
“RESPECTO A LO PEDIDO POR MAPFRE DE SEGUROS GENERALES DE COLOMBIA:
Punto 1-. Se aclara que el ITEM “Fuente agua riego” no corresponde a un tipo de medición sino que es cada una de las acequias con su respectivo nombre en cada predio donde cada accionante toma el agua para su riego cuya única fuente que las alimenta es el río Pescador; cada una de las acequias que se nombran en este ítem fueron verificadas de manera directa en visita realizada a los predios en la diligencia de inspección judicial con intervención de todas las partes que asistieron. Dichas acequias para el predio de cada accionante se pueden observar en la restitución aerofotogramétrica del Agustín Codazzi que se anexó en mi informe visible en los folios 520 a 585 del cuaderno principal pero con este escrito se anexa copia de la misma plancha. (predios de Amarillo, Acequias La Molina, Tequendama y La Guevara y sus derivaciones Zanjón Plaza Vieja y Guabinero).
De igual manera respecto al ITEM 'Toma de Agua Distancia' se aclara que los valores allí consignados corresponde a la distancia que existe entre el punto exacto donde se instala la motobomba con relación a la fuente de agua, siendo la fuente las acequias y no el río Pescador. Por consiguiente y como se trata de la distancia entre la acequia y la motobomba no está incluida la zona de creciente de río pues el agua se está tomando es directamente de la acequia cuya fuente que las alimenta es el río Pescador a través de bocatomas construidas por la CVC (ver plancha) sobre el mismo río; es conveniente aclarar al despacho que la zona de creciente del río que es de 30 metros se toma del eje del lecho del río y no de la cota más allá (orilla) del mismo.
Punto 2.- Se aclara que en el ITEM 'toma de agua distancia' dentro del área calculada en los predios de cada uno de los accionantes no se incluyó la zona de creciente del río, porque como se dijo es la distancia que existe entre el punto exacto donde se instala la motobomba con relación a la fuente de agua, siendo la fuente las acequias y no el río Pescador, es decir, que el agua se toma directamente de las diferentes acequias y no directamente del río Pescador por consiguiente el área calculada de cultivo para cada predio de cada accionante es el área neta.
Punto 3.- Se aclara que en la diligencia de inspección judicial donde se toma declaración a cada accionante esto es informaron del promedio de producción del año anterior y algunos entregaron documentos de soporte, situación que fue valorada para realizar el informe rendido no sin antes confrontarla con las fichas técnicas de 'Costos de Producción por Cosecha/Hectárea' tenidos en cuenta desde el año 2000 al 2003 relacionado con los cultivos de algodón, maíz, sorgo, maracuyá, tomate, zapallo y tabaco rubio para la región de Bolívar Valle los cuales se aportan a esta aclaración como ANEXO 1 en 28 folios donde se encuentra la información de los cultivos en mención de años anteriores y posteriores donde se indica el costo de siembra, de la preparación del terreno, de la compra de la semilla, de los abonos, fertilizantes, jornales, transporte, cargue y descargue, empaque, mano de obra, asistencia técnica, etc.
Se aclara que el informe rendido como perito oficial lo realicé con base en las pruebas documentales y testimoniales aportadas en la diligencia de inspección judicial, donde en compañía de todas las partes se realizó una visita a cada predio de los accionantes en la cual se determina entre otros el área cultivada y el tipo de cultivo, obtuve en el Instituto Agustín Codazzi las fichas catastrales de cada predio de los accionantes y con entidades públicas y privadas de la zona de Bolívar Valle obtuve la ficha técnica de 'Costos de Producción por Cosecha/Hectárea' tenidos en cuenta desde el año 2000 al 2003 relacionado con los cultivos de algodón, maíz, sorgo, maracuyá, tomate, zapallo y tabaco rubio para la región de Bolívar Valle, donde se indica que para cada uno de los cultivos en mención cuál sería el valor neto de utilidad en dichos años descontando los valores en que se incurre en la preparación del terreno, insumos tales como semilla, insecticidas, fertilizantes, empaque, asistencia técnica, arrendamiento, transporte, mano de obra, riesgos, etc. Y como fuentes de información LA EMPRESA SEMILLAS VALLE, LA EMPRESA TABACO RUBIO, LA EMPRESA PROTABACO, LA CORPORACION ALGODONERA capítulo Roldanillo, LA EMPRESA AGROSURES E.A.T., CAVASA, LA EMPRESA SEMILLAS ARROYAVE, LA EMPRESA SEMBREMOS LIMITADA, LA SOCIEDAD GRAJALES HERMANOS, LA EMPRESA ADOLFO ZUÑIGA y ASIAVA PALMIRA –Asociación de Ingenieros, Agrónomos del Valle–
Punto 4.- Frente a este punto me permito aclarar que el estimativo de valores y producciones que consigné [en] el primer informe para los cultivos de maracuyá, tomate, zapallo, algodón, maíz y sorgo no se refiere al producido de cosechas en condiciones ideales las cuales se aplican en los invernaderos para experimentos de variedades de semillas, por el contrario, en base a las condiciones de suelo, ambientales, culturales propias de la región pues las fuentes de información fueron Semillas Valle donde me proporciona los rendimientos, producciones por hectárea, precio por tonelada, costos de inversión; Tabaco Rubio y Protabaco me dio la misma información y valor kilogramo pues ellos mismos lo compran; le suministran la información de costos y estimativos de producción por hectárea de algodón Corporación de Algodoneros del Valle del Cauca Capítulo Roldanillo y como son compradores me aportan el valor por tonelada de semilla fibra clasificada en el grado MB Mildred en el algodón que se obtiene en la región; Semillas Arroyave son productores y vendedores de las plántulas de tomate y semilla de zapallo certificada como también suministra asistencia técnica y costos de inversión; Sembremos Ltda suministra asistencia técnica, venta de semilla certificada e insumos para diferentes cultivos; la sociedad Grajales Hermanos son expertos en el manejo de los cultivos de Maracuyá, tomate, zapallo, tabaco rubio, son compradores de la producción de Maracuyá en la región, me suministran el valor de costos de inversión y valor por tonelada de Maracuyá; la compañía Adolfo Zúñiga es comerciante de granos y suministra semilla certificada de Maíz, Sorgo y Soya. ASIAVA PALMIRA (Asociación de Ingenieros, Agrónomos del Valle) me dieron todos los costos de inversión con relación a insumos, maquinaria, preparación, mano de obra y producción por hectárea quienes me suministraron registro de visitas, gráficas de rendimientos promedios y valores comerciales para los cultivos de la zona o región de Bolívar Valle.
Punto 5.- Se adiciona al informe inicial en 28 folios la ficha técnica de 'Costos de Producción por Cosecha/Hectárea' tenidos en cuenta desde el año 2000 al 2003 relacionado con los cultivos de algodón, maíz, sorgo, maracuyá, tomate, zapallo y tabaco rubio para la región de Bolívar Valle, donde se indica que para cada uno de los cultivos en mención cuál sería el valor neto de utilidad en dichos años descontando los valores en que se incurre en la preparación del terreno, insumos tales como semilla, insecticidas, fertilizantes, empaque, asistencia técnica, arrendamiento, transporte, mano de obra, riesgos, etc.
Aunque en los anexos se establece la utilidad neta descontando el valor de todos los costos de los cultivos en mención en la región de Bolívar Valle desde los años 2000 a 2003, se transcribe lo referente al año 2002 que es el período en que se causa el presunto daño a los cultivos del grupo actor:
El Algodón con producción promedio/hectárea 4.78 toneladas cada una con un valor de $1.514.461.oo para un total de $7.242.152,50 menos los costos de inversión de $3.025.014,10 deja como ingreso neto la suma de $4.217.138,40 pesos mcte.
El Maíz con producción promedio/hectárea 6.58 toneladas cada una con un valor de $495.000 para un total de $3.258.090.oo menos los costos de inversión de $1.782.106,30 deja como ingreso neto la suma de $1.475.983,70 pesos mcte.
El Maracuyá con producción promedio/hectárea 50.23 toneladas cada una con un valor de $392.500 para un total de $19.716.276 menos los costos de inversión de $5.599.525,20 deja como ingreso neto la suma de $14.115.749,80 pesos mcte.
El Sorgo con producción promedio/hectárea 6.58 toneladas cada una con un valor de $410.500 para un total de $2.701.911 menos los costos de inversión de $1.407.931,80 deja como ingreso neto la suma de $1.293.979,20 pesos mcte.
El Tabaco Rubio con producción promedio/hectárea 3.20 toneladas cada una con un valor de $3.093.750 para un total de $9.900.000 menos los costos de inversión de $4.483.169,20 deja como ingreso neto la suma de $5.416.830,80 pesos mcte.
El Tomate Milano con producción promedio/hectárea 67.16 toneladas cada una con un valor de $751.250 para un total de $50.453.950 menos los costos de inversión de $8.969.527,30 deja como ingreso neto la suma de $41.484.422,70 pesos mcte.
El Zapallo con producción promedio/hectárea 44.11 toneladas cada una con un valor de $271.000 para un total de $11.953.810 menos los costos de inversión de $1.674.553,30 deja como ingreso neto la suma de $10.279.256,70 pesos mcte.
Es de anotar que en mi informe inicial dentro del numeral 2 que denomino 'Estimativo de Valores y Producciones' en el literal d en la producción normal kilogramo hectárea tomo valores inferiores a los que aparecen consignados en las fichas técnicas que son los promedios estables en la región.
Punto 6.- (…) los costos de producción del área total cultivada para cada accionante fueron aportados como prueba documental y testimonial dentro de la diligencia de inspección judicial tal como obra en el expediente y que fueron tenidos en cuenta para realizar mi informe como perito oficial, aunque los accionantes no presentaron contabilidad legalmente registrada este hecho no fue impedimento para establecer los costos totales de producción para cada uno de los accionantes porque aparte de los documentos y testimonios aportados en la diligencia de inspección judicial también se contó con las fichas técnicas que se anexan a este informe donde se establecen promedios estables para cada uno de los cultivos de Maíz, Zapallo, Maracuyá, Tomate, Sorgo, Tabaco Rubio y Algodón en la región de Bolívar Valle cuya fuente de información aparece en la misma ficha técnica.
Punto 7.- Para determinar para cada uno de los accionantes el área real cultivada para el semestre A del año 2002 me fundamenté en las visitas oculares a cada uno de los predios en que se realiza la inspección judicial en compañía de las partes que asistieron a las diligencias recorriendo los predios para confrontaron (sic) los linderos con las fichas prediales elaboradas por el INSTITUTO GEOGRAFICO 'AGUSTIN CODAZZI' REGIONAL Valle del Cauca, que aporté en el INFORME OFICIAL de cada uno de los predios cultivados por los demandantes donde se indica el área, número de predio, matrícula inmobiliaria, y sus colindantes que fueron identificadas y constatadas sus áreas, localización, y nombre del propietario en la diligencia de Inspección Judicial que llevó a cabo cada uno de ellos sin ninguna oposición de parte de los representantes de los demandantes y los demandados, ver folio 520 a 585 del cuaderno principal, por el recorrido realizado en los predios y por haberse verificado de manera directa las cercas existentes con sus colindantes en alambre de púas y árboles vivos en varios sitios de sus linderos se pudo confirmar para cada accionante que el área actual es la misma que han venido cultivando o utilizando desde años anteriores y que fueron las mismas que se identificaron en la inspección judicial, que realizó con ese fin confirmando su veracidad de los predios y áreas.
Al punto 8.- Los registros que se tomaron en cuenta para determinar el estimativo en la disminución en las cosechas de cada accionante no fue teórico sino práctico y fundado en la información que adelante se detalla:
a) De los documentos y testimonios arrimados a la diligencia de inspección judicial y que hacen referencia a la venta del producto recolectado en la cosecha del semestre A del año 2002 y lo recolectado en años anteriores cuya información obra en el expediente.
b) De los documentos anexados por el suscrito a folios 516, 517, 518 y 519 del cuaderno principal que es información obtenida de la Corporación de Algodoneros del Valle del Cauca Capítulo Roldanillo y de la Empresa Semillas Arroyave donde aparece la producción Kg/hectárea Algodón y la producción Kg/ por planta de tomate de las variedades que se siembran en la zona de Bolívar Valle.
c) Toda la información se verifica con las fichas técnicas que se anexan a este informe donde se establecen promedios estables para cada uno de los cultivos de Maíz, Zapallo, Maracuyá, Tomate, Sorgo, Tabaco Rubio y Algodón en la región de Bolívar Valle cuya fuente de información aparece en la misma ficha técnica.
Al punto 9.- Dentro de la diligencia de Inspección Judicial algunos de los accionantes aportaron un registro que ellos llevan de control sobre sus cultivos de manera artesanal lo que equivale a una bitácora, de igual manera dentro de dicha diligencia se establece que no existe una contabilidad legalmente registrada pues ésta es llevada de manera artesanal donde el cultivador apunta los gastos generales en el tiempo que le ocasiona el cultivo y posteriormente los confronta con la producción y calcula su ganancia neta.
Algunos de los accionantes aportan registros de producciones anteriores y posteriores a los hechos que permiten establecer sus ingresos, mas sin embargo, las producciones de cultivos de la región de Bolívar Valle están establecidas en las fichas técnicas aportadas en este informe donde constan los costos de producción y la utilidad neta de cada cultivo. Para el grupo de los accionantes se pudo verificar con los documentos aportados en la diligencia de inspección judicial que la venta de la cosecha para el semestre A del 2002 realmente presentó una baja considerable en la producción y lógicamente esto afecta el ingreso o ganancia acostumbrada a obtener en la región de Bolívar Valle pues las fichas técnicas realizadas por esta zona son tan estables que permiten al agricultor proyectar costos de producción desde la preparación de la tierra con los gastos de alquiler de equipos, compra de semilla, los insumos, mano de obra, transporte e inclusive el empaque cargue y descargue del producto para calcular la ganancia neta.
La zona de Bolívar Valle y Roldanillo gozan de una situación especial que garantiza las cosechas pues tienen un distrito de riego lo que permite afirmar que no hay cosecha que se pierda y por esto fuentes de la región como: LA COMPAÑÍA SEMILLAS VALLE, LA EMPRESA TABACO RUBIO, LA EMPRESA PROTABACO, LA CORPORACION ALGODONERA capítulo Roldanillo, LA EMPRESA AGROSURES E.A.T., CAVASA, LA EMPRESA SEMILLAS ARROYAVE, LA EMPRESA SEMBREMOS LIMITADA, LA SOCIEDAD GRAJALES HERMANOS, LA EMPRESA ADOLFO ZUÑIGA y ASIAVA PALMIRA aseguran los rendimientos esperados en producción en dicha zona.
Al punto 10.- Para determinar el valor consignado en el ITEM 'pérdida de producción' se tuvo en cuenta la variedad de cultivo para cada accionante, el área total cultivada que se verificó en la diligencia de inspección judicial y se confirma con la ficha catastral de cada predio, Kilogramo producción normal que es la producción normal por hectárea que existe en la zona de Bolívar Valle para cada cultivo y en este caso en particular se tuvo en cuenta la información obtenida en la diligencia de inspección judicial confrontada con las fichas técnicas de cada cultivo en los años 2000 a 2003, también se atiende a la producción del semestre A del año 2002, es decir, lo que vende cada accionante soportado en las facturas de venta del producto cosechado aportadas en la diligencia de inspección judicial, el ITEM 'diferencia en producción' es el resultado obtenido entre el kilogramo producción normal por hectárea y lo vendido en el semestre A del año 2002, y el ITEM 'valor kilogramo semestre A' que se refiere al año 2002, corresponde al valor asignado en la compra por kilogramo a cada cultivo de cada accionante a esa fecha confrontado con las facturas de venta a esa fecha de los productos cosechados por cada accionante que aportó en la inspección judicial y cuyos valores están por debajo de los estimados en las fichas técnicas aportadas en este informe, y el ITEM 'pérdida de producción' es el resultado obtenido entre los ítems diferencia en producción (referido al semestre A del año 2002) y el ítem Valor Kilogramo Semestre A del año 2002.
Respecto a si para obtener el resultado consignado en el ITEM 'pérdida en producción' se tuvo en cuenta los costos de inversión se aclara que para cada accionante se determinó en el informe rendido un ítem de 'área cultivada' la cual se expresa en hectáreas y como quiera que en cada una de las fichas técnicas para cada cultivo en la zona de Bolívar Valle aparecen comprobados de manera detallada los gastos de inversión se puede tener certeza del valor que debió invertir cada accionante para cultivar una hectárea de cultivo ya sea de Maíz, Algodón, Tomate etc. Y es por esta razón que dicho valor está integrado en el ítem de 'pérdida de producción' porque aparece demostrado en el informe que cada accionante cultivó un área total determinada y un cultivo determinado con unos costos de producción determinados los cuales fueron causados y que garantizan una producción determinada, pero si la producción es menor en un área que debe arrojar mayor producción trae como consecuencia la pérdida de los gastos de inversión causados en el área determinada que no produce lo que es, gastos o costos de inversión que se reflejan en la pérdida de la producción los cuales fueron correctamente aplicados en el ítem 'pérdida en producción'.
RESPECTO A LO SOLICITADO POR ACUAVALLE SA ESP
“(…) se adiciona al informe el anexo 1 con 28 folios que contiene las fichas técnicas de 'Costos de Producción por Cosecha/Hectárea' tenidos en cuenta desde el año 2000 al 2003 relacionado con los cultivos de algodón, maíz, sorgo, maracuyá, tomate, zapallo y tabaco rubio para la región de Bolívar Valle, donde se indica que para cada uno de los cultivos en mención cuál sería el valor neto de utilidad en dichos años descontando los valores en que se incurre en la preparación del terreno, insumos tales como semilla, insecticidas, fertilizantes, empaque, asistencia técnica, arrendamiento, transporte, mano de obra, riesgos, etc. Y como fuentes de información se tienen LA EMPRESA SEMILLAS VALLE, LA EMPRESA TABACO RUBIO, LA EMPRESA PROTABACO, LA CORPORACION ALGODONERA capítulo Roldanillo, LA EMPRESA AGROSURES E.A.T., CAVASA, LA EMPRESA SEMILLAS ARROYAVE, LA EMPRESA SEMBREMOS LIMITADA, LA SOCIEDAD GRAJALES HERMANOS, LA EMPRESA ADOLFO ZUÑIGA y ASIAVA PALMIRA –Asociación de Ingenieros, Agrónomos del Valle–.
Para mayor claridad debe remitirse a los documentos que conforman el anexo 2.
CORRECCION AL INFORME ANTERIOR
Al accionante JOSE VIVENTE RIVERA se corrigen los ítems que aparecen en el informe con cifras 'años 2002 produce semestre a' (36.000Kg/plaza) y 'DIFERENCIA EN PRODUCCION' (6.496 Kg/plaza), cifras que por error aritmético están cambiadas de lugar y arrojaban un valor de pérdida en la producción de ($4.872.000) por lo tanto lo correcto es:
- ITEM 'AÑO 2002 PRODUCE SEMESTRE A' (6.496 Kg/plaza)
- ITEM 'DIFERENCIA EN PRODUCCION' (36.000 Kg/plaza)
- ITEM 'PERDIDA EN PRODUCCION' ($27.000.000).
Como quiera que esta corrección altera el valor del total de las pérdidas para todos los accionantes el nuevo valor es de ($541.948.950) y en todo lo demás me ratifico en el informe inicial
.
4.2.3.- Del anterior escrito se corrió traslado a los sujetos procesales. La prueba pericial fue objetada por error grave tanto por la C.V.C., como por la compañía MAPFRE Seguros Generales de Colombia S.A
.
4.2.4.- La C.V.C., solicitó dentro de la objeción por error grave por ella propuesta la práctica de un nuevo dictamen pericial, petición probatoria a cuyo decreto accedió el Magistrado Ponente en primera instancia, a través de auto de septiembre 18 de 2006, para cuyo efecto se designó y se posesionó un segundo perito –Ingeniero Agrónomo
.
4.2.5.- El segundo peritaje decretado y practicado para acreditar la objeción por error grave que propuso la C.V.C., respecto del primer dictamen pericial, lo rindió el nuevo auxiliar de la Justicia el día 31 de enero de 200, dentro del cual se consignó lo siguiente:
“(…) se revisaron los predios de los accionantes en el proceso contra la Gobernación del Valle y otros. Esta visita se hizo el día 6 de diciembre y se concluyó el día 7 de diciembre del año 2006. El objetivo de la visita fue para constatar y aclarar los siguientes interrogantes:
1- verificación y existencia de los predios afectados.
2- extensión, área total y el área cultivada.
3- Cultivo actual.
4- Distancia del río pescador hasta los predios afectados y longitud de las acequias para riego de los predios y su existencia – longitud desde la bocatoma hasta su utilización.
Se anota que la longitud de las acequias existentes son las siguientes:
ACEQUIA
LA MOLINA = 2300 mts de longitud.
LA GUEVARA = 1350 mts de longitud
LA TEQUENDAMA = 3515 mts de longitud
Del río pescador hasta el final distancias comprobadas:
5- Si el grupo accionante eran o son agricultores.
6- Si es posible establecer de la información recogida e inspección judicial el valor de los daños y perjuicios.
Se inicia este informe con los siguientes agricultores:
En orden de visitas efectuadas:
RUBEN DARIO TASCON R. # 1
PREDIO URBANO
AREA TOTAL: 1 has + 4.424 mts
AREA CULTIVADA: 9000 mts
CULTIVO ACTUAL: barbecho, es decir lo que queda después de un cultivo lote, enmalezado, se entregó el lote porque el agricultor se quebró o sea que por falta de agua en el momento que más se necesitaba y el cultivo fracasó (de maracuyá que él sembró).
DISTANCIA DEL RIO PESCADOR HASTA EL PREDIO: 100 mts
LONGITUD DE LA ACEQUIA DESDE LA BOCATOMA HASTA EL PUNTO DONDE SE UTILIZA EL AGUA: 120 mts.
En ese momento el señor Rubén Darío Tascón R. se dedica a otras labores para poder subsistir él y su familia, puesto que la quiebra en la agricultura fue total y sigue arrastrando las deudas.
Por cultivo de maracuyá que intentó establecer así quedan resumidos los daños y perjuicios.
JAVIER QUIZA TOMICH R. # 2
PREDIO PIPI No. 2
AREA TOTAL: 35 has + 3209 mts
AREA CULTIVADA: 20 has + 3209 mts
CULTIVO ACTUAL: PAPAYA 03 has.
PASTO = 5 has.
PAPAYA = 3 has
MAIZ = 9 has
DISTANCIA DEL RIO PESCADOR HASTA EL PREDIO: 150 mts
LONGITUD DE LA ACEQUIA DESDE LA BOCATOMA HASTA EL PUNTO DONDE SE UTILIZA EL AGUA: 180 mts.
ZANJON PLAZA VIEJA =
El señor Javier Quiza Tomich arrastra las deudas de la pérdida por falta de agua de la cosecha de maíz sembrada en esa época.
JUAN EDUARDO CAICEDO SOTO
PREDIO: el oasis
AREA TOTAL: 16 has + 7116 mts2.
AREA CULTIVADA: 15 has.
CULTIVO ACTUAL: maíz
El cultivo motivo del fracaso fue 15 has de algodón, que por falta de agua cogió el cultivo en floración, generalmente este cultivo tiene 60 días de floración siendo la primera floración la más importante, porque son las flores que se convierten en cápsulas que son las que más pesan y el 50% de la producción total. Y esta fue la floración que se perdió por falta de agua.
DISTANCIA DEL RIO PESCADOR HASTA EL PREDIO EN MENCION: 100 mts
LONGITUD DE LA ACEQUIA TEQUENDAMA QUE SE CONVIERTE EN ZANJON PLAZA VIEJA: 140 mts. En este momento no hay agua para riego.
JUAN EDUARDO CAICEDO SOTO
PREDIO: las palmeras
AREA TOTAL: 6 has + 1440 mts2.
AREA CULTIVADA: 6 has.
CULTIVO ACTUAL: maíz.
Las mismas consideraciones; puesto que es el mismo agricultor.
ALVARO GARCIA
PREDIO: el oasis
AREA TOTAL: 16 has + 7116 mts2.
AREA CULTIVADA: 1 has.
CULTIVO ACTUAL: maíz-tomate.
El señor Luis Álvaro García tenía contrato de arrendamiento, le tocó entregar el lote, puesto que fueron grandes pérdidas que todavía está pagando.
En el momento sigue sembrando tomate en otro lote arrendado siembra tomate en invernadero. 3000 mts2.
DISTANCIA DESDE EL RIO PESCADOR HASTA EL PREDIO: 100 mts
LONGITUD DE LA ACEQUIA DESDE LA BOCATOMA HASTA EL PUNTO DONDE SE UTILIZA EL AGUA: 140 mts.
ACEQUIA LA TEQUENDAMA – ZANJON PLAZA VIEJA
EFRAIN MARMOLEJO BENITEZ
PREDIO: el clavito
AREA TOTAL: 11 has + 5750 mts.
AREA CULTIVADA: 8 has.
CULTIVO ACTUAL: pimentón-maracuyá-uva
UVA: 3 has.
MARACUYA: 5 has.
PIMENTON: 2 has.
Este agricultor sembró sorgo 8 has. También fracasó por falta de agua en época de floración lo que disminuyó hasta un 40% la producción, ya que es la época más crítica de cualquier cultivo semestral.
DISTANCIA DESDE EL RIO PESCADOR HASTA EL PREDIO: 80 MTS
LONGITUD DE LA ACEQUIA DESDE LA BOCATOMA HASTA EL PUNTO DONDE SE UTILIZA EL AGUA: 160 mts.
NOMBRE DE LA ACEQUIA: la Tequendama
SEMBRO: 1 ha. de tabaco rubio con las mismas consecuencias, como es el mismo lote de 11 has. se sembró, en 1 ha se sembró el tabaco rubio y en 8 has el sorgo.
La distancia del río pescador y la longitud de la acequia la Tequendama es igual 80 mts. Y 160 mts2. Respectivamente.
JUAN CAICEDO SOTO
PREDIO: la dilia, el guzpeño – la luisa san Juanito sin nombre
AREA TOTAL: 30 has. + 5000 mts2.
CULTIVO ACTUAL: maíz
DISTANCIA DESDE EL RIO PESCADOR HASTA EL PREDIO: 14 mts2
LONGITUD DE LA ACEQUIA DESDE LA BOCATOMA HASTA EL PUNTO DONDE SE UTILIZA EL AGUA: 160 mts.
En este momento el agricultor Julián Caicedo Soto cultiva sembrando el predio, hoy maíz tiene 90 días y le ha llovido, lo cual se (sic) visualiza una buena producción, sigue pagando deudas, por la cosecha que perdió parcialmente.
EVER MONDRAGON M
PREDIO: el idilio no. 1 (el gólgota)
AREA TOTAL: 6 has + 1206 mts2.
AREA CULTIVADA: 4 has. + 1406 mts2.
CULTIVO ACTUAL: no hay.
En la época crítica se sembró sorgo 4 has. + 1206 mts2.
Limón: 0.5 has.
PROTECCION DEL RIO: 1 ½ ha. Ya existía y se ha mantenido, consta de árboles o arbustos, tales como caña brava, ceibas, carboneros, etc.
Con el río pescador seco no se pudo regar ni por el río, ni por la acequia Tequendama que tiene una longitud desde la bocatoma hasta el punto donde se utiliza el agua igual a 80 mts.
La distancia del río Pescador hasta el predio es de 40 mts.
Hay dos puntos para el riego o sea el río y la acequia Tequendama que tiene longitud desde la bocatoma hasta el punto donde se utiliza el agua igual de 80 mts.
DISTANCIA DESDE EL RIO PESCADOR HASTA EL PREDIO: 40 mts
Hay dos puntos para el riego o sea el río y la acequia Tequendama.
El sorgo se mermó la producción porque el agua faltó en la época de floración época crítica para una buena producción.
BLAS ANTONIO GUEVARA
PREDIO: la planta
AREA TOTAL: 1 ha. + 7480 mts2.
AREA CULTIVADA: 1 ha.
CULTIVO ACTUAL: potrero
En la época crítica se sembró 1 ha. de maíz amarillo, la sequía se presentó en la floración y con la escasez de agua en esta época se mermó la producción total.
El agua se toma de la acequia Tequendama cuya distancia desde el río pescador hasta el predio es de 20 mts. La longitud de la acequia desde la bocatoma hasta el punto donde se utiliza el agua es de 80 mts.
JOSE VICENTE RIVERA
PREDIO: la teresa
AREA TOTAL: 4 has. + 2777 mts2.
AREA CULTIVADA: 6400 mts2.
CULTIVO ACTUAL: guayaba coronilla
El agricultor sembró para esa época 6400 mts2 de tomate y su producción se bajó ostensiblemente, por las mismas razones expuestas, falta de agua en la floración. La distancia desde el río pescador hasta el predio es de 150 mts. La longitud de la acequia desde la bocatoma hasta el punto donde se utiliza el agua es de 180 mts. Acequia la Tequendama.
EUGENIO OVIEDO OTERO
PREDIO: la teresa
AREA TOTAL: 4 has. + 2777 mts2.
AREA CULTIVADA: 1 ha + 6000 mts2
CULTIVO ACTUAL: maíz-guayaba-pera
El agricultor sembró maracuyá en esa época crítica con los mismos resultados. Baja producción. La distancia desde el río pescador hasta el predio es de 150 mts. La longitud de la acequia la Tequendama desde la bocatoma hasta el punto donde se utiliza el agua es de 180 mts.
ORLANDO VALENCIA
PREDIO: el recuerdo
AREA TOTAL: 7 has. + 3283 mts2.
AREA CULTIVADA: 1 ha + 2800 mts2
CULTIVO ACTUAL: potrero
CULTIVO AFECTADO: zapallo mexicano, sembró también 1 ha de tomate ambos cultivos fueron afectados, por la falta de agua, principalmente el tomate. Causa igual deficiencia de agua en época crítica.
DISTANCIA DESDE EL RIO PESCADOR HASTA EL PREDIO: 150 mts
LONGITUD DE LA ACEQUIA LA TEQUENDAMA DESDE LA BOCATOMA HASTA EL PUNTO DONDE SE UTILIZA EL AGUA: 180 mts.
JAIME VASQUEZ OSPINA
PREDIO: la fortaleza
AREA TOTAL: 9 has. + 3121 mts2.
AREA CULTIVADA: 9 has.
CULTIVO ACTUAL: papaya-melón
DISTANCIA DESDE EL RIO PESCADOR HASTA EL PREDIO: 80 mts
LONGITUD DE LA ACEQUIA DESDE LA BOCATOMA HASTA EL PUNTO DONDE SE UTILIZA EL AGUA: 100 mts. Acequia la Tequendama.
Sembró pasto estrella y tiene 14 vacas de leche: 6 en producción dando 50 litros de leche y los vende a $600 por litro. Sigue arrastrando las deudas de la siembra de maíz blanco que sembró en esa época.
JOSE ANTONIO GUEVARA MENDOZA
# 1
PREDIO: grano de oro – el pencil – el delirio – bonanza
AREA CULTIVADA: 3 has. + 6000 mts2.
AREA TOTAL: 3 has. + 9330 mts2.
CULTIVO ACTUAL: yuca-maíz
# 2
PREDIO: los lirios – el río
AREA TOTAL: 8 has. + 7975 mts2.
AREA CULTIVADA: 8 has. + 7000 mts2.
DISTANCIA DESDE EL RIO PESCADOR HASTA EL PREDIO: 80 mts
LONGITUD DE LA ACEQUIA DESDE LA BOCATOMA HASTA EL PUNTO DONDE SE UTILIZA EL AGUA: 120 mts. El delirio, Grano de Oro, etc., utiliza el agua de la acequia La Guevara y para el predio Los Lirios el río (sic) utiliza el agua del río pescador.
En el predio # 1 se sembró maíz; 3 has + 6000 mts.
En el predio # 2 se sembró algodón.
En ambos predios se obtuvo una producción muy baja debido a la falta de lluvia en la época crítica de la floración baja, considerablemente la producción. Este agricultor sigue pagando deudas.
HECTOR AVILA
# 1
PREDIO: la chamba
AREA TOTAL: 16 has. + 650 (sic) mts2.
AREA CULTIVADA: 4 has. + 4800 (sic) mts2.
CULTIVO ACTUAL: zapallo
DISTANCIA DESDE EL RIO PESCADOR HASTA EL PREDIO: 100 mts
LONGITUD DE LA ACEQUIA DESDE LA BOCATOMA HASTA EL PUNTO DONDE SE UTILIZA EL AGUA: 120 mts
Acequia la Guevara, sembró maíz, sorgo: 4 has + 4800 mts2
# 2
PREDIO: la chamba
Sembró sorgo: 5 has. + 7600 mts2.
La deficiencia de agua en la época crítica fue fatal para la baja producción, agricultor que tuvo que arrendar un lote de este predio para poder pagar las deudas del fracaso anterior.
SANTIAGO QUINTERO TEJADA
PREDIO: bellavista
AREA TOTAL: 71 has. + 3496 mts2.
AREA CULTIVADA: 44 has.
CULTIVO ACTUAL: maíz
DISTANCIA DESDE EL RIO PESCADOR HASTA EL PREDIO: 80 mts
LONGITUD DE LA ACEQUIA DESDE LA BOCATOMA HASTA EL PUNTO DONDE SE UTILIZA EL AGUA: 100 mts.
ACEQUIA LA MOLINA
El agricultor en mención, le tocó entregar el lote que tenía arrendado, por la cantidad de deudas que aún arrastra ya que no ha podido pagar la cogida del algodón que sembró en esa época.
VICTOR HUGO MARMOLEJO
PREDIO: el clavo
AREA TOTAL: 9 has. + 4359 mts2.
AREA CULTIVADA: 9 has.
CULTIVO ACTUAL: maracuyá
Aquí sembró 9 has de algodón.
PREDIO: el clavito
AREA TOTAL: 11 has. + 5750 mts2.
AREA CULTIVABLE: 2 has.
CULTIVO ACTUAL: maracuyá
Sembró 2 has de algodón.
PREDIO: jamaica lote callana
AREA TOTAL: 72 has. + 5750 mts2.
AREA CULTIVADA: 5 has.
CULTIVO ACTUAL: maracuyá
Sembró algodón 5 has.
PREDIO: el idilio
AREA TOTAL: 10 has. + 2010 mts2.
AREA CULTIVABLE: 10 has.
Sembró: 10 has de maíz
CULTIVO ACTUAL: maracuyá
En este momento tiene cultivos de maracuyá e higuerilla.
DISTANCIA DESDE EL RIO PESCADOR HASTA EL PREDIO: 80 mts.
LONGITUD DE LA ACEQUIA DESDE LA BOCATOMA HASTA EL PUNTO DONDE SE UTILIZA EL AGUA: 160 mts.
La acequia la Tequendama para la época crítica sembró 16 has. de algodón, el clavo: clavito-jamaica y maíz 11 has. En el Idilio el cultivo más afectado por la falta de agua fue el algodón: 16 has. con menos producción de maíz: 10 has.
Aún no se ha recuperado del fracaso.
PIEDAD CRISTINA MARMOLEJO BENITEZ
PREDIO: jamaica lote el caney
AREA TOTAL: 72 has. + 0625 mts2.
AREA CULTIVABLE: 5 has.
SEMBRO: 5 has de algodón.
CULTIVO ACTUAL: maracuyá.
PREDIO: jamaica lote el caney
AREA TOTAL: 72 has. + 0625 mts2.
AREA CULTIVABLE: 5 has.
CULTIVO ACTUAL: maracuyá.
SEMBRO: 5 has de maíz.
DISTANCIA DESDE EL RIO PESCADOR HASTA EL PREDIO: 80 mts
LONGITUD DE LA ACEQUIA LA TEQUENDAMA DESDE LA BOCATOMA HASTA EL PUNTO DONDE SE UTILIZA EL AGUA: 160 mts.
Tanto el maíz como el algodón fueron muy afectados por la falta de agua en época muy crítica del cultivo que es la floración del algodón como el maíz, sigue arrastrando deudas.
EDWAR GARCIA SERNA
PREDIO: la maría
AREA TOTAL: 1 ha. + 4062 mts2.
AREA CULTIVABLE: 1 ha.
CULTIVO ACTUAL: papaya.
Sembró 1 ha de zapallo mexicano
DISTANCIA DESDE EL RIO PESCADOR HASTA EL PREDIO: 100 mts
LONGITUD DE LA ACEQUIA LA TEQUENDAMA-ZANJON PLAZA VIEJA: 120 mts.
Total fracaso con el cultivo del zapallo, bajísima producción.
En este momento tiene sembrada 1 ha de papaya, el riego es por goteo: más o menos el cultivo tiene 30 días.
En conclusión, estos agricultores visitados personalmente, doy fe que aún el 90% de ellos no se ha recuperado de las pérdidas por el desastre de no haber tenido agua, en una época tan crítica como la floración de los cultivos lo cual afectó la producción ostensiblemente. Mi punto de vista muy personal es que estos agricultores que son gente trabajadora y buenos colombianos, que se dedican únicamente a la agricultura no deberían tener esa pesada carga de arrastrar deudas, por una mala cosecha, no por negligencia ni abandono de sus cultivos sino por causas que ellos no provocaron.
En general son suelos de textura franca aptos para cualquier cultivo de tierra caliente
(Negrillas y subrayas adicionales).
4.2.6.- De la anterior prueba se dio nuevamente traslado a las partes y respecto de dicho dictamen se elevó una nueva objeción por error grave por parte de la C.V.C., la cual fue denegada por el Magistrado Sustanciador del proceso en primera instancia, mediante decisión de marzo 20 de 2007, <<… toda vez que esa experticia fue decretada y presentada, con el objeto de probar a su vez, las objeciones formuladas al dictamen rendido por el perito OSCAR ALVAREZ REYES, y en esas condiciones, en los términos del art. 238 numeral 5° del C.P.C. … 'El dictamen rendido como prueba de las objeciones no es objetable …'>.
4.2.7.- La nueva prueba pericial también fue objeto de peticiones de aclaración, adición y/o complementación por parte del grupo actor, de la compañía MAPFRE Seguros Generales de Colombia S.A., y de la C.V.C, lo cual dio lugar a un nuevo pronunciamiento del perito, así:
“Para Complementar: Estoy adjuntando diez y ocho certificados de tradición y libertad del grupo de accionantes dentro del proceso contra DPTO DEL VALLE Y OTROS.
Para Aclarar: para aclarar y complementar, los interrogantes formulados en el informe presentado el 31 de Enero de 2007, no sólo por un plano fotográfico, se puede calcular el área de los lotes visitados, está el certificado de tradición y libertad, otra forma es la cantidad de semilla plantada por hectáreas, según la distancia de siembra o el número de plantas germinadas en esa área. Con estos argumentos se aclara y amplía el segundo interrogante.
El tercer interrogante sobre el cultivo actual, se dejó constancia de lo que yo observé, visitando en vivo y en directo, los lotes de los accionantes afectados.
"Para aclarar y complementar el cuarto interrogante o sea, distancia del río Pescador hasta los predios afectados, y la longitud de las acequias para riego de los predios desde la bocatoma hasta su utilización, se puede aclarar y complementar que en el informe presentado inicialmente se expresa muy nítido, en cada uniforme (sic) de los usuarios el nombre de la acequia y la distancia hasta el lote sembrado, pero para más claridad repito lo anterior descrito:
ACEQUIAS
LA MOLINA = 2300 mts de longitud.
LA GUEVARA = 1350 mts de longitud
LA TEQUENDAMA = 3515 mts de longitud
El quinto interrogante, se explicó en el informe qué está haciendo a qué se dedica cada usuario o accionante.
El sexto interrogante, se contesta en la conclusión final, página 10 del informe quedando tácita la explicación.
Sin embargo se puede aclarar y ampliar, con ejemplos muy claros citando los siguientes: nombres propios y sus dificultades:
El agricultor SANTIAGO QUINTERO TEJADA, quedó tan quebrado económicamente, que no podía ir al Municipio de Bolívar – Valle, porque no había podido pagar la poquita recolección de algodón que se cosechó.
Pero el caso mas deprimente fue el del señor JOSE VICENTE RIVERA este agricultor sembró una ha de tomate, no cosechó nada, utilizando un término popular 'quedó en la calle' para expresivo (sic). Los amigos tuvieron que darle la alimentación para poder sobrevivir.
Otro caso es el del señor VICTOR HUGO MARMOLEJO BENITEZ, le tocó vender parte de la finca para poder pagar las deudas, de un desastre que él no ocasionó.
Como conclusión final, se puede decir que mi informe del 31 de Enero de 2007, es lo más real que se pudo verificar y se ha aclarado y ampliado y me sostengo en la veracidad de mi informe inicial.
5.- Los hechos probados en el proceso.
De conformidad con la comunidad probatoria descrita en precedencia, la Subsección encuentra acreditado, en síntesis y de manera principal, lo siguiente:
5.1.- Que entre la Corporación Autónoma Regional del Valle del Cauca –C.V.C.– y la sociedad CONCONCRETO S.A., se celebró el contrato C.V.C. No. 0478, el día 11 de diciembre del año 2000, cuyo objeto lo constituyó la “Construcción del Sistema de Abastecimiento Regional de Agua para los municipios de Bolívar, Roldanillo, La Unión, Toro, Zarzal, La Victoria, Obando y los corregimientos de Ricaurte y la Herradura …”.
5.2.- Que las obras para la ejecución del aludido contrato, también denominado “Proyecto SARA-BRUT”, iniciaron el día 22 de enero de 2001 y culminaron el día 14 de octubre de 2003.
5.3.- Que para efectos de lograr el objeto del contrato debía necesariamente construirse y desde luego llenarse la respectiva represa de abastecimiento, para lo cual se utilizaría el caudal del río Pescador “… principal corriente hídrica que alimentará el embalse …”, tal como se determinó en la licencia ambiental respectiva, por parte del Ministerio del Medio Ambiente.
5.4.- Que una vez se produjo el cierre de las compuertas para abastecer el embalse, lo cual se produjo a partir del día 13 de junio del año 2002, el cauce del río Pescador resultó directa y gravemente afectado, por cuanto su caudal disminuyó de manera progresiva hasta que prácticamente, por un término que osciló entre 15 y 30 días, se produjo su desecamiento en el sector de aguas abajo de la represa.
5.5.- Que como consecuencia de la reducción y la consiguiente desaparición del cauce del río Pescador, especialmente en la parte baja de dicho río, resultaron afectados de manera directa los usuarios y/o beneficiarios de ese caudal porque dejaron de contar con la única fuente hídrica con la cual abastecían sus cultivos, lo cual produjo, a su vez, la disminución y pérdida de las respectivas cosechas ante la ausencia de agua.
En ese sentido, la Sala encuentra probado el daño antijurídico alegado por el grupo demandante, en cuanto sus integrantes como beneficiarios del río Pescador –única fuente hídrica para la irrigación de sus cultivos–, perdieron –en todo o en parte– lo sembrado ante la disminución y posterior ausencia de agua para abastecerlos, actuación claramente derivada del cerramiento de las compuertas para llenar la represa con el caudal del mencionado río.
6.- Responsabilidad patrimonial y extracontractual de la entidad pública demandada.
Como se indicó anteriormente, la parte demandada se opuso al fallo apelado porque el Tribunal Administrativo del Valle del Cauca habría efectuado un análisis indebido del acervo probatorio, cuestión que claramente se traduce en una oposición a la responsabilidad patrimonial que le fue impuesta en sede de primera instancia, pues básicamente los señalamientos efectuados por la C.V.C., apuntan a determinar la inexistencia del daño que alega el grupo demandante, lo cual le permite a esta Subsección determinar, como en efecto lo está, la configuración de la responsabilidad patrimonial de la Corporación Autónoma demandada por los hechos que en su contra se adujeron en la demanda.
Pues bien, el Tribunal Administrativo de primera instancia atribuyó responsabilidad patrimonial a la entidad demandada C.V.C., con fundamento en el daño especial, sin embargo, la Sala encuentra que dicha responsabilidad patrimonial está comprometida pero a título de falla en el servicio, dado que existen diversas situaciones, todas ellas constitutivas de irregularidades que permiten determinar que la entidad pública demandada no actuó con la diligencia y con el cuidado necesarios para evitar esa clase de problemas, amén de que con ese actuar la C.V.C., incumplió diversas obligaciones por ella contraídas como contraprestación del otorgamiento de la licencia ambiental, tal como lo consideró la interventoría ambiental del proyecto al sostener que todo ello constituía una “… situación fuertemente crítica que desdice y va en contravía de todo lo establecido en la licencia ambiental” y con base en ello, precisamente, se abrió investigación de índole disciplinaria en contra de la C.V.C.
Para la Sala resulta completamente claro que el proyecto SARA-BRUT, al menos en cuanto se refiere al abastecimiento de la represa, se antepuso al mantenimiento y a la conservación del caudal ecológic
del río Pescador, principal fuente hídrica para el cumplimiento de ese proyecto y única fuente de riego de los cultivos pertenecientes a los usuarios de esa cuenca hidrográfica, toda vez que se prefirió y, por ende, se incrementó el nivel de agua para llenar la presa y, como consecuencia obligada de ello, ese mismo caudal se redujo a un nivel no apto para la otra parte que se beneficiaba desde antes del mismo caudal, propio del cauce normal del río, lo cual trajo consigo, de manera inexorable, la pérdida del fluido destinado para atender las concesiones otorgadas a los agricultores de la zona con base en la mencionada fuente hídrica.
Así lo anotó la interventoría ambiental al señalar que las problemáticas por ella advertidas estribaban en mantener “… la existencia del río Pescador corriendo por su lecho, amplio y pedregoso, un escaso caudal de 200 l/s.” (Se destaca).
Nótese cómo la aludida interventoría expresó lo siguiente:
“El proyecto partió con la certeza de que el caudal ecológico establecido en la licencia ambiental era de 400 lps y desde nuestra llegada nos enteramos de dos pretensiones de la C.V.C., aparentemente contradictorias, solicitar la ampliación de las redes de distribución a los Municipios de Obando, la Victoria y Zarzal, aprobada teniendo en cuenta la capacidad del río Pescador para mantener en forma permanente ciertas cotas de funcionamiento del embalse, y a su vez la insistencia en la solicitud para que el Ministerio del Medio Ambiente autorizara que el caudal ecológico fuera sólo de 200 lps (…).
Lo anterior se encuentra corroborado a través de los actos proferidos por el Ministerio del Medio Ambiente, relacionados con el otorgamiento de la licencia ambiental a la C.V.C., para la ejecución del proyecto SARA-BRUT, comoquiera que en la primera decisión, contenida en la Resolución 0532 del 1° de julio de 1999, se le autorizó a dicha entidad el uso de “450 lts/seg (0.45m3/seg) del río Pescador”, para destinarlos al suministro de agua para los Municipios de Bolívar, Roldanillo y Toro; sin embargo, como consecuencia de un recurso de reposición que interpuso la C.V.C., contra la mencionada decisión administrativa, el Ministerio del Medio Ambiente accedió a la pretensión que dicho recurso planteaba en el sentido de incluir a los municipios de Zarzal, La Victoria y Obando (Valle del Cauca) como beneficiarios del proyecto SARA-BRU
.
Más adelante, a solicitud igualmente de la C.V.C., el Ministerio del Medio Ambiente modificó de nuevo la licencia ambiental 0532 de 1999, para efectos de reducir el caudal ecológico del río Pescador, por cuanto le autorizó a la C.V.C., mantener dicho caudal “… en 0.200 m3/seg aguas abajo del embalse …, lo cual claramente significó un incremento en el agua utilizada para el abastecimiento de la represa, pero en contraste evidente a ello, una reducción ostensible en el cauce normal de esa fuente hídrica.
La Subsección en modo alguno desconoce que la aludida reducción del caudal ecológico del río Pescador para la parte posterior de la presa la autorizó el Ministerio del Medio Ambiente –entidad no demandada ni vinculada al presente proceso–, pero no por ello puede o debe excluirse la participación directa y determinante de la C.V.C., en que esa situación se produjera, puesto que fue ella misma la que solicitó, de un lado, el ingreso de tres municipios más al proyecto SARA-BRUT en condición de beneficiarios y, del otro, la consiguiente reducción del caudal ecológico del río Pescador –peticiones incluso consideradas contradictorias por la interventoría Ambiental–, sin tener en cuenta el irrisorio caudal ecológico con el cual contarían los demás usuarios del río Pescador que días después resultarían gravemente afectados con ese hecho.
La Subsección comparte la apreciación de la interventoría ambiental según la cual la actuación de la C.V.C., en cuanto solicitó la disminución del caudal ecológico para la parte baja de la represa resultó contradictoria, en la medida en que según lo indicó el señor Fabio Alexánder Agudelo Sern
, el caudal ecológico con el cual inició el proyecto SARA-BRUT había sido determinado por la propia C.V.C., a través de un estudio previo, por manera que proceder más adelante, luego de que incluso el impacto en el cauce del río Pescador –por su evidente reducción después el cierre abrupto de las compuerta
– fue pronosticado, constituía todo un contrasentido, de cara a la afectación negativa que ello generaría en los usuarios de esa fuente hídrica, como en efecto sucedió.
Como si lo anterior fuere poco, que en modo alguno lo es, el aludido caudal ecológico de 200 l/s para la parte de abajo de la represa –ya de por sí insuficiente– ni siquiera pudo mantenerse por la C.V.C., dado que el material probatorio antes descrito demuestra con suficiencia que el río Pescador se secó por un tiempo, suficiente para que el desabastecimiento de agua para el riego de los cultivos fuese total y, por lo tanto, los cultivos de los demandantes resultaran seriamente afectados.
Precisamente porque la C.V.C., no sostuvo el caudal ecológico que se le otorgó mediante la Resolución 0545 de 2002, el Ministerio del Medio Ambiente formuló pliego de cargo en contra de la entidad demandada, pues ni siquiera logró mantener el caudal de '0.200 m3/seg aguas abajo del embalse':
“……………………..
“Recogiendo los escritos remitidos a este Ministerio y referenciados en los antecedentes del presente concepto, se manifiesta que con la iniciación de las actividades de llenado del embalse del proyecto SARA BRUT, se presentaron los siguientes acontecimientos:
“1. Incumplimiento de los caudales ecológicos exigidos en la licencia ambiental del proyecto, aguas abajo de la presa (350 lps antes del 18 de junio de 2002 y 200 lps después de dicha fecha), presentándose episodios de ausencia de flujo en el cauce.
“………………….
3. Los caudales reportados por la CVC, medidos sobre el río Pescador aguas debajo de la presa, para el día 24 de junio reportaron valores de 102 lps.
4. Pérdida significativa del caudal del río, que impidió el normal riego de los cultivos locales.
“…………………
“TERCER CARGO.- Presunto incumplimiento de los artículos primero y cuarto de la Resolución No. 0545 de junio 18 de 2002, por:
1) No haber garantizado durante todo el tiempo de la etapa de llenado del embalse el caudal ecológico de 200 l.p.s. sobre el río Pescador (…)” (Se destaca).
A lo anterior se adiciona la consideración, no menos significativa y que se relaciona desde luego con lo hasta ahora expuesto, de que dentro de las actuaciones a las cuales se comprometió la Corporación Autónoma Regional aquí demandada para sostener el caudal ecológico del río Pescador en '0.200 m3/seg aguas abajo del embalse', se llevaría a cabo un sistema de bombe, el cual, según el Director de la interventoría ambiental, fue suspendido por la propia C.V.C., sin razón aparente para ell
–
.
Para la Sala resulta más que evidente la desatención, por parte de la C.V.C., de las sugerencias y/o recomendaciones efectuadas por parte del equipo que integró la interventoría ambiental del proyecto SARA-BRUT, toda vez que el expediente no contiene una sola prueba que permita establecer que ante las situaciones evidentes y advertidas por la interventoría, la parte demandada hubiere actuado para tratar de evitar o al menos mitigar las repercusiones negativas que la disminución y consecuente pérdida del caudal ecológico del río Pescador traería consigo; por el contrario, los hechos hablan por sí solos, comoquiera que un efecto directo e inmediato del cierre de las compuertas para llenar la represa fue la pérdida temporal de la única fuente de irrigación de los cultivos predominantes del sector y, por lo tanto, la afectación de estos últimos.
La anterior situación fue completamente predicha por la interventoría ambiental, la cual sostuvo en forma clara lo siguiente: “Son evidentes las graves consecuencias económicas por bajas en la productividad de unos cultivos sin riego oportuno y evidente” y para ello diseñó diversas alternativas o estrategias, tales como:
“………………………..
“B. Operar el sistema del proyecto SARA BRUT, como un sistema absolutamente complementario, que permita elevar el caudal ecológico a un volumen tal que permita conservar la biota acuática aguas abajo de la represa.
“………………………..
“D. Adelantar un proceso de unidad de agricultores constituyendo una junta de usuarios para este pequeño sistema de riego por tomas individuales, que le den mayor y mas eficiente viabilidad al suministro de agua para el riego, anticipándose así a las grandes controversias que aparecen siempre ante las dificultades para utilizar conveniente y oportunamente el agua para irrigación.
“F. Para asegurar la complementariedad del Proyecto BRUT, atender las necesidades de los municipios ligados al sistema y mejorar su operación con miras a encontrar la posibilidad de aumentar por encima de 200 l/s la cantidad de agua para asegurar la vida del río Pescador aguas debajo de la represa, la C.V.C., debería adelantar un programa inmediato de mejora de las fuentes que abastecen los acueductos actualmente, aguas superficiales y pozos, para que las demandas al SARA-BRUT sean menores y de la represa se puedan derivar volúmenes de agua suficientes para normalizar la vida del Río Pescador”.
No obstante lo anterior, la parte demandada permaneció desprevenida y pasiva frente a esa problemática, lo cual llevó a las consecuencias ya conocidas, cuestión que precisamente desencadenó la respectiva investigación disciplinaria, lo cual corrobora la desatención y la conducta irregular por parte de la C.V.C., respecto de las obligaciones contraídas en la licencia ambiental y en el proyecto en sí mismo.
De conformidad con todo lo expuesto, la Sala encuentra comprometida la responsabilidad patrimonial de la demandada Corporación Autónoma Regional del Valle del Cauca por el daño causado al grupo actor.
7.- Identificación del grupo e indemnización de perjuicios.
7.1.- Calidad de concesionarios del río Pescador.
En la demanda se indicó lo siguiente:
“11. Todos los integrantes presentes y ausentes del grupo actor, el cual está conformado por mas de CIEN personas tal como aparece en el estudio realizado por la CVC mencionado; son unos concesionarios legales por medio de resoluciones usuarios (sic) del Río Pescador y otros temporales en virtud de contratos de arrendamientos de parcelas con los concesionarios legales subrogándose en los permisos de utilización de agua para riego de cultivos en virtud de la ley 1541 de 1.978 de la cual el uso del bien público es fundamental para que cada de uno de los actores pueda lograr con éxito su cultivo que es su oficio, y sin este servicio el individuo no puede ejercer ni trabajar en su oficio de agricultor
(Se deja destacado en negrillas).
Más adelante se señaló:
“Es de conocimiento de los demandados que la comunidad que habita en el Municipio de Bolívar Valle y sus corregimientos se dedica exclusivamente a las labores agropecuarias de donde derivan su sustento y el de sus familias; así pues todas aquellas personas que son usuarios de las aguas superficiales de Río Pescador para sus cultivos, unos que tienen concesiones legales por medio de resoluciones en el manejo del agua y otros son usuarios temporales en virtud de contratos de arrendamientos de parcelas con los concesionarios legales subrogándose en los permisos de utilización de agua para riego de cultivos y otros sin ningún tipo de concesión legal pero que son pequeños agricultores artesanales que derivan su sustento y el de sus familias de la actividad agrícola utilizando las aguas del Río Pescador son directamente los perjudicados y este deberá ser el criterio para identificarlos (Se deja destacado en subrayas y en negrillas).
Así las cosas, se tiene que los miembros del grupo demandante comparecieron al proceso en condición de “usuarios” del agua del río Pescador: i) unos de ellos como concesionarios de dicho recurso natural; ii) otros en calidad de arrendadores de fundos o de partes de terrenos de quienes serían concesionarios y iii) una tercera categoría corresponde a quienes carecía de título para utilizar ese bien público, pero que aún así obtenían provecho para sus actividades agrícolas.
Pues bien, para determinar la procedencia de las indemnizaciones y de las reclamaciones –posteriores– que en ese mismo sentido llegaren a formularse por parte de quienes pretendan integrarse al grupo demandante, resulta necesario revisar la normativa que regula la materia, partiendo de la definición que la ley civil le ha atribuido a las aguas de uso público y a la regulación que frente a su uso prevé el ordenamiento jurídico.
Es así cómo el artículo 677 del Código Civil, consagra:
“Los ríos y todas las aguas que corren por cauces naturales son bienes de la Unión, de uso público en los respectivos territorios.
“Exceptúanse las vertientes que nacen y mueren dentro de una misma heredad: su propiedad, uso y goce pertenecen a los dueños de las riberas, y pasan con éstos a los herederos y demás sucesores de los dueños.”
Por su parte, el artículo 18 del Decreto 1541 de 1978 –por el cual se reglamentó el Decreto-ley 2811 de 1974–, en relación con la determinación de aguas de dominio público, prevé:
“De acuerdo con los artículos 81 del Decreto-Ley 2811 de 1974 y 677 del Código Civil, son aguas privadas las que nacen y mueren en una heredad, brotando naturalmente a la superficie dentro de la heredad y evaporándose por completo o desapareciendo bajo la superficie por infiltración, dentro de la misma y siempre que su dominio privado no se haya extinguido conforme al artículo 82 del Decreto-Ley 2811 de 1974. No son aguas privadas, por tanto, las que salen de la heredad o confluyen a otro curso o depósito que sale o se extiende fuera de la heredad de nacimiento” (Negrillas fuera del texto original).
Respecto de esta clase de aguas (de dominio público), el artículo 80 del Decreto-ley 2811 de 1974, también dispone:
“Sin perjuicio de los derechos privados adquiridos con arreglo a la ley, las aguas son de dominio público, inalienables e imprescriptibles.
“Cuando en este código se hable de aguas sin otra calificación, se deberán entender las de dominio público” (Se destaca).
Al tenor del artículo 83 del Decreto-ley 2811 de 1974, las fuentes de agua de dominio público, son:
“Salvo derechos adquiridos por particulares, son bienes inalienables e imprescriptibles del Estado:
a) El álveo o cauce natural de las corrientes;
b) El lecho de los depósitos naturales de agua;
c) Las playas marítimas, fluviales y lacustres;
d) Una faja paralela a la línea de mareas máximas o la del cauce permanente de ríos y lagos, hasta de treinta metros de ancho;
e) Las áreas ocupadas por los nevados y los cauces de los glaciares, y
f) Los estratos o depósitos de las aguas subterráneas” (Se destaca).
Y el artículo 5 del Decreto 1541 de 1978, por su parte, prevé:
“Artículo 5°.- Son aguas de uso público:
a. Los ríos y todas las aguas que corran por cauces naturales de modo permanente o no;
b. Las aguas que corran por cauces artificiales que hayan sido derivadas de un cauce natural;
c. Los lagos, lagunas, ciénagas y pantanos;
d. Las aguas que estén en la atmósfera;
e. Las corrientes y depósitos de aguas subterráneas;
f. Las aguas y lluvias;
g. Las aguas privadas, que no sean usadas por tres (3) años consecutivos, a partir de la vigencia del Decreto-ley 2811 de 1974, cuando así se declara mediante providencia del Instituto Nacional de los Recursos Naturales Renovables y del Ambiente, Inderena, previo el trámite previsto en este Decreto, y
h. Las demás aguas, en todos sus estados y formas, a que se refiere el artículo 77 del Decreto-ley 2811 de 1974, siempre y cuando no nazcan y mueran dentro del mismo predio” (Destaca la Subsección).
De acuerdo con el anterior marco normativo, resulta completamente claro que el dominio privado de fuentes de agua constituye un hecho excepcional, dado que se requiere que nazcan en el mismo predio y se evaporen o filtren en él; de no ser así, se entiende que son de dominio del Estado, tal como ocurre en este caso, por cuanto el río Pescador, de cuyo cauce se beneficiaban los demandantes, es una fuente de agua de propiedad del Estado y, por ende, corresponde a un típico bien de uso público.
Ahora bien, la regla general para el uso de aguas de esta categoría, se encuentra consagrada en el artículo 86 del aludido Decreto-ley 2811 de 1974, a cuyo tenor:
“Toda persona tiene derecho a utilizar las aguas de dominio público para satisfacer sus necesidades elementales, las de su familia y las de sus animales, siempre que con ello no cause perjuicios a terceros.
“El uso deberá hacerse sin establecer derivaciones, ni emplear máquina ni aparato, ni detener o desviar el curso de las aguas, ni deteriorar el cauce o las márgenes de la corriente, ni alterar o contaminar las aguas en forma que se imposibilite su aprovechamiento por terceros.
“Cuando para el ejercicio de este derecho se requiera transitar por predios ajenos, se deberá imponer la correspondiente servidumbre.”
Por su parte, la Sección Tercera del Consejo de Estado, con fundamento en el artículo 8
del aludido Decreto, ha sostenido que <<Otro uso diferente de las aguas de dominio público se encuentra sujeto a concesión>.
En efecto, la Sala ha considerado:
“Las normas transcritas [contenidas en los Decretos 2811 de 1974 y 1541 de 1978] establecen un régimen especial para el uso de aguas de dominio público, cuya regla general predica que pueden ser utilizadas para el consumo doméstico; para otro tipo de usos, como el agrícola, industrial, minero o energético se requiere de una concesión por parte del Estado, quien establece la cantidad, las condiciones y los limites de su utilización (…)”. (Se destaca).
Las anteriores determinaciones se acompasan con lo dispuesto en el artículo 8 del Decreto 1541 de 1978, según el cual: “No se pueden derivar aguas de fuentes o depósitos de aguas de dominio público, ni usarlas para ningún objeto, sino con arreglo a las disposiciones del Decreto-ley 2811 de 1974 y del presente reglamento”.
En el presente caso, como ya se dijo, se trata de una fuente hídrica del Estado y su uso se encuentra sometido a un régimen especial, toda vez que su aprovechamiento, ocupación o explotación, sólo se permite a través de la concesión y, en todo caso, su administración y autorización para tal uso radica en cabeza del Estado, tal como lo prevén el artículo 155 del Decreto-ley 2811 de 197
y 31 de la Ley 99 de 1993.
Y en relación con el otorgamiento de la concesión, el aludido artículo 31 de la Ley 99 de 199
, prevé que estará a cargo de la Corporación Autónoma Regional correspondiente.
Por consiguiente, la condición de usuario de una fuente hídrica deriva del otorgamiento de la respectiva concesión por parte de la Corporación Autónoma Regional respectiva, en este caso por la C.V.C., razón por la cual quienes pretendan formar parte del grupo actor necesariamente deberán acreditar dicha calidad, mediante el acto correspondiente.
En relación con este tema, la Sala encuentra que le asiste la razón a la parte impugnante en cuanto ella, en su recurso de apelación, adujo lo siguiente:
“Dentro de la sentencia de primera instancia no se determinaron las concesiones de agua vigentes al momento de ocurrencia de los hechos, “… siendo de suma importancia resaltar que el único instrumento que puede reconocer a cualquier persona … el derecho a utilizar aguas del río Pescador, son las concesiones que otorgan las autoridades ambientales, en este caso la CVC”. (Se destaca).
Lo anterior impone precisar que aquellas personas que según la propia demanda habrían usado con fines agrícolas el caudal del río Pescador <<sin ningún tipo de concesión legal>> no podrán resultar beneficiados de la condena que aquí se establecerá, toda vez que carecen del título legal para ello.
Al respecto conviene señalar, incluso, que el parágrafo tercero –adicionado por el artículo 216 de la Ley 1450– del artículo 43 de la Ley 99 de 1993 prevé la posibilidad de que el Estado imponga el pago de tasas por la utilización de aguas a quienes las utilizan sin la debida concesión; sin embargo, tal situación, como en forma expresa lo previó el legislador, no legitima ese aprovechamiento indebido del recurso hídrico público, por cuanto la misma disposición legal consagra la consiguiente adopción de medidas preventivas y sancionatorias, así:
“ARTÍCULO 43. TASAS POR UTILIZACIÓN DE AGUAS. La utilización de aguas por personas naturales o jurídicas, públicas o privadas, dará lugar al cobro de tasas fijadas por el Gobierno Nacional que se destinarán al pago de los gastos de protección y renovación de los recursos hídricos, para los fines establecidos por el artículo 159 del Código Nacional de Recursos Naturales Renovables y de Protección al Medio Ambiente, Decreto 2811 de 1.974. El Gobierno Nacional calculará y establecerá las tasas a que haya lugar por el uso de las aguas.
El sistema y método establecidos por el artículo precedente para la definición de los costos sobre cuya base se calcularán y fijarán las tasas retributivas y compensatorias, se aplicarán al procedimiento de fijación de la tasa de que trata el presente artículo.
“………………………
PARÁGRAFO 3o. La tasa por utilización de aguas se cobrará a todos los usuarios del recurso hídrico, excluyendo a los que utilizan el agua por ministerio de ley, pero incluyendo aquellos que no cuentan con la concesión de aguas, sin perjuicio de la imposición de las medidas preventivas y sancionatorias a que haya lugar y sin que implique bajo ninguna circunstancia su legalización
(Se destaca).
Pues bien, resulta que en el presente proceso no se acreditó, en debida forma, que los actores que resultaron beneficiados de la condena de primera instancia –porque respecto de quienes no lo fuero
no hubo impugnación– hayan sido o sean legalmente usuarios del río Pescador, dado que no obran en el expediente los respectivos actos por medio de los cuales la C.V.C., les habría otorgado la concesión respectiva.
No obstante lo anterior, la Sala tendrá en cuenta, para efectos de que la presente decisión realmente constituya una fallo en concreto para algunos de los actores que acudieron al proceso y, por lo tanto, con él se sometieron a las contingencias, a los riesgos, a los gastos y a los esfuerzos inherentes al litigio, las siguientes pruebas:
a).- El listado que la interventoría ambiental realizó respecto de aquellas personas que tendrían la respectiva concesión para ser usuarios legales del río Pescado
;
b).- El documento elaborado por la propia C.V.C., en el mes de noviembre de 2002 denominado “ANALISIS ESTADO ACTUAL DE AGUAS SUPERFICIALES DEL RIO PESCADOR, en el cual aparece un registro de personas que sería usuarias del río Pescador.
Con base en la información contenida en ambos documentos, la Sala les reconocerá, a los actores que allí aparezcan, la indemnización respectiva, cuya cuantificación se establecerá más adelante.
La anterior determinación encuentra fundamento en las siguientes consideraciones:
Si los documentos antes descritos no los tuviere en cuenta la Subsección, no existiría entonces diferencia alguna entre quienes acudieron al proceso y quienes posteriormente lleguen a integrarse al grupo actor, por la sencilla razón de que los ciudadanos afectados con la actuación de la C.V.C., que sí participaron actualmente en el proceso mediante la presentación de la demanda, no contarían entonces con una indemnización determinada a su favor, sino que tendrían que resultar beneficiados del monto correspondiente para cada uno de ellos dentro de la suma ponderada que se determinará más adelante y, por lo tanto, nada los diferenciaría de aquellas otras personas, posiblemente afectadas con el hecho dañoso aquí atribuido a la parte demandada, en cuanto acudan ante el Fondo para la Defensa de los Derechos e Intereses Colectivos con el propósito de resultar beneficiados con la indemnización correspondiente.
A juicio de la Sala, una decisión en ese sentido desconocería su propia Jurisprudencia y el entendimiento que la misma le ha concedido a esta clase de acciones y desde luego a las determinaciones que dentro de la sentencia deban adoptarse; al respecto, la Sección Tercera de la Corporación ha considerado:
“Para eventos como el que ahora ocupa la atención de la Sala, en los cuales el grupo resulta ser abierto y ante la posibilidad, propia de las acciones de grupo y expresamente contemplada en la ley, de que con posterioridad a la sentencia algunos miembros del grupo –cuyo número, se insiste, se desconoce– que no participaron en el proceso puedan acudir ante el Fondo para la Defensa de los Derechos e Intereses Colectivos con el fin de reclamar las respectivas indemnizaciones, se impone la necesidad de que el fallo, tal como ordena la Ley, establezca o determine la suma ponderada de las indemnizaciones individuales, mecanismo adecuado en el contexto de la equidad propia de las acciones colectivas que contribuye a dotar a las mismas de características singulares y rasgos definitorios específicos por cuya virtud se justifica su existencia misma y se logra distinguir de los demás mecanismos judiciales, especialmente de los tradicionales diseñados para la protección de orden exclusivamente individual.
En el caso concreto, la suma ponderada de las indemnizaciones individuales será determinada con arreglo a las directrices establecidas en el numeral 3 del artículo 65 de la Ley 472, de manera tal que en primer lugar se determinarán, según lo dispone su letra a), “[l]as indemnizaciones individuales de quienes formaron parte del proceso como integrantes del grupo” y, posteriormente, se definirán, según lo prevé la letra b) de la norma legal en cita, “[l]as indemnizaciones correspondientes a las solicitudes que llegaren a presentar oportunamente los interesados que no hubieren intervenido en el proceso”.
La diferenciación que la ley establece entre los integrantes del grupo que concurrieron al proceso –esto es los demandantes propiamente dichos o, lo que es lo mismo, quienes conforman el 'grupo demandante'– y aquellos que no lo hicieron pero que igual forman parte del grupo –es decir los beneficiarios del fallo que no fungieron como actores–, lejos de resultar discriminatoria y, por tanto, violatoria del Principio Constitucional y a la vez Derecho Fundamental a la Igualdad, a juicio de la Sala constituye una diferenciación válida y razonable, la cual encuentra asidero fáctico en el hecho de que los primeros tomaron la iniciativa de promover la demanda; hicieron suya la carga de la prueba y en virtud de ello cumplieron con el esfuerzo de acopiar y allegar los elementos probatorios necesarios para acreditar la ocurrencia de los hechos consignados en la demanda y soportar así, en debida forma, sus pretensiones; otorgaron poder para ser representados dentro de la actuación judicial; desde su vinculación al proceso decidieron correr la suerte colectiva del grupo afectado y desecharon, por ende, la posibilidad de ser excluidos del mismo, con lo cual, consecuencialmente, renunciaron a la opción de promover su propia acción de manera individual; además, con ese proceder asumieron las contingencias propias de todo proceso judicial, en cuanto siempre resulta incierto el resultado de un litigio y, por tanto, desde un comienzo tuvieron la incertidumbre de que la causa pudiere llegar, de manera regular, a su etapa final o, incluso, de que el fallo definitivo pudiere resultar adverso a sus pretensiones; en ese sentido, decidieron asumir también los costos que la atención misma del proceso suele generar, como por ejemplo efectuar el pago de la reproducción de documentos requeridos para la presentación de la demanda y su traslado; pagar las sumas fijadas para la realización de notificaciones; cubrir honorarios del profesional del Derecho seleccionado por ellos mismos para que los represente durante la actuación en cumplimiento de la exigencia legal relacionada con el ius postulando; pagar los gastos correspondientes a las pruebas periciales por ellos solicitadas así como los honorarios de los respectivos peritos, al tiempo que corrieron también con el riesgo de ser condenados a pagar las costas del proceso.
Por el contrario, nada de lo anterior hicieron ni asumieron –contingencias, riesgos, gastos, esfuerzos-, los demás integrantes del grupo que no actuaron en el proceso pero que igualmente quedarán cobijados, en calidad de beneficiarios, por los efectos del presente fallo, a menos que logren demostrar las circunstancias contempladas para evitar esa consecuencia, según las previsiones de la letra b) del artículo 65 de la Ley 472
. (Se destaca).
En ese sentido, la Sala estima que si en esta sentencia no se distingue a las personas que formaron parte del grupo actor desde el inicio de la litis entre aquellas que probablemente lo harán mas adelante sin haber tenido que asumir la carga de demostrar tal condición, se estaría incurriendo en una vulneración del derecho a la igualdad de las primeras, pues, se reitera, estas personas asumieron las contingencias, los riesgos, las erogaciones, los esfuerzos y, en sí, muchas de las cargas que el ejercicio de su derecho de acción les generó, de suerte que ese mérito debe resultar reflejado en una decisión distinta frente a ellos, en este caso con una indemnización concreta que resarza el daño a ellos irrogado, por lo cual la Sala efectuará la diferencia entre unos y otros y lo hará con base en el mencionado documento de la interventoría ambiental.
A lo anterior se agrega que el artículo 65 de la Ley 472 de 1998, le ordena al juez que la condena respectiva debe corresponder a una indemnización colectiva, “en modo alguno contempla la posibilidad de que la misma pueda proferirse en abstracto
.
Lo anterior, bueno es precisarlo, de manera alguna releva a TODOS los actores de allegar ante el Fondo para la Defensa de los Derechos e Intereses Colectivos los documentos que corroboren su condición de usuarios –debidamente constituidos– del río Pescador, mediante el aporte, en copia autenticada o en su original, de los actos administrativos por medio de los cuales se les otorgó la concesión para el aprovechamiento del agua del río Pescador y, desde luego, tal autorización deberá haber estado vigente para la época de ocurrencia de los hechos, motivo por el cual el pago de la condena correspondiente para cada uno de ellos estará supeditada a la verificación de tales presupuestos por parte del aludido Fondo.
Así pues, a folios 125 a 127 del cuaderno 9 del expediente obra copia de un listado que elaboró la interventoría ambiental respecto de los nombres de los predios y de los actores con concesión para el uso de las aguas del río Pescador y allí se encuentran consignados los siguientes actores:
1.- Jaime Antonio Vásquez Ospina;
2.- Efraín Marmolejo Benítez;
3.- Blas Antonio Guevara Mondragón;
4.- Santos Iván Eduardo Caicedo Soto;
5.- Julián Ciro Caicedo Soto, y
6.- José Antonio Guevara Mendoza,
7.- Héctor Ávila Andrade, y
8.- Hébert Mondragón Mondragón.
Y, por su parte, en el informe que elaboró la C.V.C sólo se encuentra la demandante Elvira Benítez de Marmolejo, como usuaria del río Pescador, sin embargo, en relación con esta demandante, se tiene que no fue beneficiaria –directa– de la sentencia de primera instancia porque frente a ella –y fue la única– el dictamen pericial no arrojó pérdida por producción debido a que en su predio no tenía siembra alguna para la época del hech.
Comoquiera que la decisión del Tribunal Administrativo de primera instancia en el sentido de denegar la indemnización solicitada a favor la señora Elvira Benítez de Marmolejo no fue objeto de impugnación, tal negativa cobró firmeza y, por lo tanto, la aludida demandante no está habilitada para integrarse al grupo después de proferida esta sentencia, como tampoco lo están los señores Robert Jairo Echeverri Cañarte, Horacio Andrade Mesa, Iván Fajardo y Carlos Alberto Andrade Pérez –a quienes se les denegaron sus pretensiones– pues respecto de todos ellos operó la cosa juzgada.
A lo anterior se adiciona que si bien la referida demandante Elvira Benítez de Marmolejo aparecía como usuaria del río Pescador, según la relación de la C.V.C., lo cierto es que lo era junto con su esposo respecto del mismo predio, el también demandante Efraín Marmolejo Benítez, a quien sí se le reconoció la indemnización respetiva, razón adicional para denegar la indemnización solicitada a favor de la señora Elvira Benítez de Marmolejo.
Ahora bien, en relación con los demás actores beneficiados con el fallo de primera instancia, señores Víctor Hugo Marmolejo, Piedad Cristina Marmolejo Benítez, Eduar García Serna, Darío Varela Gómez, Santiago Quintero Tejada, Rubén Darío Tascón Rodríguez, José Orlando Valencia Grisales, Orlando Cabal Toro, José Vicente Rivera Oviedo, Eugenio Oviedo Toro, Luis Álvaro García y Javier Quiza Tomich, la Sala encuentra que no fueron incluidos dentro de la relación que elaboró la interventoría ambiental, ni dentro de aquella que hizo la propia C.V.C., motivo por el cual los mencionados actores no serán beneficiarios –directos– de la indemnización que se dispondrá en este proveído, sino que deberán acudir posteriormente, ante el Fondo para la Defensa de los Derechos e Intereses Colectivos, a acreditar su calidad de concesionarios de dicha fuente hídrica, mediante los documentos antes descritos.
En consecuencia, se revocará en este punto la sentencia apelada en cuanto en ella se les reconoció una indemnización concreta a favor de los aludidos actores.
De otra parte, en línea con lo que se ha dejado expuesto acerca de la calidad que se obtiene de usuario legal de las fuentes hídricas del Estado mediante la concesión otorgada por la Corporación Autónoma Regional correspondiente, la Sala advierte que aquellas personas que pretendan integrar el grupo demandante como “usuarias” del río Pescador y, por ende, afectadas con el cerramiento de las compuertas con ocasión del proyecto SARA-BRUT, en cuanto hubieren tenido la condición de cesionarias, arrendatarias, comodatarias y/o usufructuarias de los concesionarios de dicha fuente hídrica para la irrigación de sus cultivos, deberán acreditar, de un lado, que los titulares del uso del mencionado río eran concesionarios legales o debidamente constituidos, es decir, que tenía una concesión otorgada y, de otro lado, que tales concesionarios tenían autorización para arrendar, ceder o prácticamente transferir el uso de las aguas del río que mediante concesión les fue otorgada por la C.V.C., toda vez que ese aprovechamiento, se reitera, sólo se efectúa mediante la mencionada figura.
Así lo dispone de manera diáfana el Decreto ley 2811 de 1974:
“Artículo 94º.- Cuando el concesionario quisiere variar condiciones de una concesión, deberá obtener previamente la aprobación del concedente”.
“Artículo 95º.- Previa autorización, el concesionario puede transpasar, total o parcialmente, el derecho que se le haya concedido.
La autorización podrá negarse por motivos de utilidad pública o interés social, señaladas en la ley” (Se destaca).
7.2.- Liquidación de los perjuicios para quienes, en principio, son considerados concesionarios del río Pescador.
Según se acaba de determinar, los únicos actores beneficiados a través de una indemnización en concreto con el fallo apelado y que se incluyeron por parte de la interventoría ambiental como posibles concesionarios del río Pescador, son los señores Jaime Antonio Vásquez Ospina, Efraín Marmolejo Benítez, Blas Antonio Guevara Mondragón, Santos Iván Eduardo Caicedo Soto, Julián Ciro Caicedo Soto, José Antonio Guevara Mendoza, Héctor Ávila Andrade y Hébert Mondragón Mondragón, respecto de quienes se entrará a establecer la cuantía de la indemnización de perjuicios a su favor y se hará con base en el dictamen pericial rendido en el proceso.
El Tribunal Administrativo a quo, luego de denegar la objeción por error grave contra el primer dictamen pericial, le otorgó a este plena validez probatoria y, con base en él, tasó los perjuicios a favor de los actores descritos en la parte resolutiva de su decisión, con base en lo siguiente:
“(…) ninguna vocación de prosperidad asiste al reproche que por error grave endilgan las accionadas al primer dictamen, objeción que será desestimada, pues devienen infundados los argumentos esgrimidos para sustentarla. La Sala acogerá como definitivo el dictamen rendido por el perito Oscar Álvarez Reyes, pues considera que contiene los elementos de juicio necesarios para la adecuada estimación y valoración de los perjuicios materiales inflingidos a veinte (20) de los accionantes, representados en la pérdida en producción de sus cultivos, por causa de la súbita disminución de las aguas del río Pescador, hecho acaecido para permitir el almacenamiento de agua en la presa SARA-BRUT; amén de que refleja fielmente la situación sufrida por éstos y proporciona convicción y certeza plena no solo de la existencia de tales perjuicios ocasionados, sino también de la magnitud y cuantía de los mismos, aspectos que están debidamente soportados con los documentos, informes, testimonios e investigaciones acopiados, que dan cuenta de la firmeza, precisión y claridad de sus fundamentos y de las conclusiones a que llegó dicho auxiliar de la justicia
.
Pues bien, de conformidad con el artículo 233 del Código de Procedimiento Civil, la peritación como medio de prueba es procedente para verificar hechos que interesen al proceso y requieran especiales conocimientos científicos, técnicos o artísticos. El perito debe informarle razonadamente al juez lo que de acuerdo con esos conocimientos especializados sepa de los hechos –y no cuestiones de Derecho– que se sometan a su experticio, sin importarle a cuál de la partes beneficia o perjudica, por manera que su dictamen debe ser personal y contener conceptos propios sobre las materias objeto de examen y no de otras personas por autorizadas que sean, sin perjuicio de que pueda utilizar auxiliares o solicitar por su cuenta el concurso de otros técnicos, bajo su dirección y responsabilidad, todo ello de acuerdo con lo normado en el numeral 2 del artículo 237 del C. de P. Civi
.
Para su eficacia probatoria, la prueba pericial debe reunir ciertas condiciones de contenido, a saber: a) la conducencia en relación con el hecho a probar; b) que el perito sea competente, es decir, un verdadero experto para el desempeño del cargo; c) que no exista un motivo serio para dudar de su imparcialidad; d) que no se haya probado una objeción por error grave; e) que el dictamen esté debidamente fundamentado y sus conclusiones sean claras firmes y consecuencia de las razones expuestas; f) que haya surtido contradicción; g) que no exista retracto del mismo por parte de perito y en fin que otras pruebas no lo desvirtúen. El dictamen del perito debe ser claro, preciso y detallado; en él se deben explicar los exámenes, experimentos e investigaciones efectuadas, lo mismo que los fundamentos técnicos, científicos o artísticos de las conclusiones, según las voces del numeral 6 del artículo 237 del C. de P. C
.
A su turno, el artículo 241 ejusdem señala que al valorar o apreciar el juez el dictamen de los peritos tendrá en cuenta la firmeza, precisión y calidad de sus fundamentos, la competencia de los peritos y los demás elementos probatorios que obren en el proceso. Con esto se quiere significar que el juez es autónomo para valorar el dictamen y verificar la lógica de sus fundamentos y resultados, toda vez que el perito es un auxiliar de la Justicia, pero él no la imparte ni la administra, por manera que el juez no está obligado a “… aceptar ciegamente las conclusiones de los peritos, pues si ello fuese así, estos serían falladores …
.
En suma, el juez está en el deber de estudiar bajo la sana crítica el dictamen pericial y en la libertad de valorar sus resultados; si lo encuentra ajustado y lo convence, puede tenerlo en cuenta total o parcialmente al momento de fallar; o desechar sensatamente y con razones los resultados de la peritación por encontrar sus fundamentos sin la firmeza, precisión y claridad que deben estar presentes en el dictamen para ilustrar y transmitir el conocimiento de la técnica, ciencia o arte de lo dicho, de suerte que permita al juez de la causa otorgarle mérito a esta prueba por llegar a la convicción en relación con los hechos objeto de la mism
.
La Sala advierte que si bien dentro del presente proceso se decretó un segundo peritaje, lo cierto es que su práctica tuvo como finalidad demostrar la objeción por error grave que contra aquel se propuso, de modo que ante la falta de prosperidad de dicha objeción, la segunda prueba técnica agotó su cometid
–
–.
Ahora bien, según se expuso anteriormente, el informe pericial rendido en el proceso fue consecuencia de la inspección judicial que se practicó respecto de los diferentes predios afectados, actuación que, como resulta apenas natural, no pudo arrojar información concreta y unívoca en relación con la existencia de cultivos para la época de los hechos por el simple paso del tiempo.
No obstante lo anterior, la diligencia practicada permitió, de un lado, establecer que los predios inspeccionados sí se beneficiaban del río Pescador, a través de las distintas acequias y/o bocatomas de las cuales recogían el agua los agricultores para ejercer su respectiva actividad agrícola en los inmuebles; de otro lado, la inspección judicial también permitió la recepción de testimonio de varias personas ajenas al proceso, cuyos relatos resultan importantes para el establecimiento de los cultivos sembrados por algunos de los actores y que como consecuencia del cierre de las compuertas para abastecer la represa del proyecto SARA-BRUT, tales siembras resultaron afectadas, en todo o en parte.
Asimismo, la diligencia permitió el aporte de gran variedad de documentos, para efectos de demostrar diferentes aspectos, tales como i) cultivos existentes; ii) áreas sembradas; iii) inversiones, costos y gastos de los cultivadores en sus respectivas siembras y iv) posibles pérdidas reportadas como consecuencia de la disminución de sus cosechas e incluso ante la ausencia total de las mismas.
En ese sentido, la Sala encuentra que el perito, utilizó como fuente de información, diversos informes suministrados por entidades vinculadas al agro en la región afectad''––
; también contó con fichas técnicas, gráficas y planos relacionados con los rendimientos elaboradas por entidades igualmente vinculadas a la actividad del cultivo en la zona del Departamento del Valle del Cauca, en cuya virtud se obtenían parámetros y cifras promediadas para los cultivos de algodón, maíz, sorgo, maracuyá, tomate, zapallo y tabaco rubio en la época determinada del daño y lo que usualmente reportarían en cosechas los predios afectados.
También se encuentra que el auxiliar de la Justicia tuvo en cuenta, para efectos de determinar las áreas afectadas, la información contenida en las fichas catastrales de cada predio, en las cuales figuraba la cabida total de los fundos; en dichas fichas de catastro, según el perito, estaban consignados, además, los “… respectivos planos, áreas colindantes, ubicación y títulos de propiedad …”.
El perito tuvo a su alcance, además, la información de cada cultivo en relación con años anteriores y posteriores, para a partir de allí establecer los costos y gastos de la siembra, esto es el valor de los insumos –semillas, abonos, fertilizantes, entre otros–; el valor de preparación del terreno; el pago de jornales, transporte, cargue y descargue, empaque, mano de obra y asistencia técnica, en orden a determinar la ganancia neta proyectada que se habría tenido en relación con el área cultivada y de allí extrajo la pérdida que estimó para el período de afectación, para cada cultivo.
Esa información, de años anteriores y posteriores al hecho dañoso –se recuerda que la afectación de los predios fue transitoria, mientras se llenó la represa– relacionada con el área cultivada coincidió con lo expuesto por los testigos dentro de la práctica de la inspección judicial; según el perito “… es la misma que han venido cultivando o utilizando desde años anteriores y que fueron las mismas que se identificaron en la inspección judicial …”.
Finalmente, el monto obtenido por concepto de pérdidas respecto de cada actor beneficiario de la condena de primera instancia, fue calculado as:
| ACTOR | CULTIVO | AREA TOTAL CULTIVADA | Kg. PRODUCCION NORMAL | AÑO 2002 PRODUCE SEMESTRE A | DIFERENCIA EN PRODUCCION | V/R kg. SEMESTRE A | PERDIDA EN PRODUCCION |
| Jaime Vásquez Ospina | Maíz | 9 has. | 58.500 | 38.440 | 28.100 | 480 | $9.648.000 |
Efraín Marmolejo | Sorgo tabaco | 8 has. 1 has. | 50.400 3.200 | 24.000 1.300 | 26.400 1.900 | 385 4.600 | $10.164.000 $8.740.000 |
| Blas Antonio Guevara | Maíz | 1 ha. | 6.500 | 3.120 | 3.380 | 480 | $1.622.400 |
Iván Eduardo Caicedo | Maíz Algodón | 6 has. 15 has. | 39.000 72.000 | 12.572 63.720 | 26.428 8.270 | 480 1.500 | $12.685.440 $12.405.000 |
Julián Ciro Caicedo | Algodón | 30 has. 5.000 M2 | 146.400 | 104.000 | 42.400 | 1.500 | $63.600.000 |
José Antonio Guevara | Maíz Algodón | 30 has. 6000 M2 30 has. 6000 M2 | 23.400 41.760 | 10.275 32.456 | 13.125 9.304 | 480 1.500 | $6.300.000 $13.956.000 |
Héctor Ávila Andrade | Maíz Sorgo | 4 has. 5000 M2 5 has. 5000. | 29.250 34.650 | 20.239.59 21.203.77 | 9.010.41 13.446.23 | 480 385 | $4.325.000 $5.176.800 |
Hérbert Mondragón | Sorgo | 4 has. | 25.200 | 1.518 | 23.682 | 385 | $9.117.570 |
En consecuencia, la Subsección acogerá el dictamen pericial –con su respectiva aclaración y complementación– rendido en el proceso, toda vez que aprecia la correcta identificación de las fuentes utilizadas por el perito y el método de valoración de la pérdida, lo cual ofrece el mérito y la credibilidad suficientes para determinar lo que en él se consignó, además de que se trata de una prueba debidamente allegada al proceso y su objeto se encuentra íntimamente ligado con la finalidad del mismo, esto es cuantificar los perjuicios a los demandantes por la afectación de sus cultivos a causa de la falta de agua para su irrigación, con lo cual se cumplen los presupuestos de pertinencia y conducencia del medio probatorio; frente a la prueba se garantizó plenamente el ejercicio del derecho de contradicción por parte de los sujetos procesales, tal como de manera amplia se expuso en el auto que denegó la petición de nulidad procesal que elevó la parte demandada en su recurso de apelación.
A lo anterior se agrega que la prueba técnica se basó en documentación allegada en debida forma al expediente; también registra las investigaciones, datos, cifras y estadísticas acogidas por el perito de información suministrada por personas –naturales y jurídicas– involucradas directamente con la actividad agrícola en la región donde estaban ubicados los cultivos, amén de encontrar sustento y coincidencia tanto con la inspección judicial practicada respecto de cada predio afectado, como con las declaraciones recepcionadas en dicha diligencia a terceras personas, quienes, también en forma directa, conocían la situación de cada predio, sus extensiones, los cultivos allí sembrados y la producción –al menos comparativamente con otros años– de cada fundo, porque precisamente trabajaban en ellos; de igual manera, el perito explicó la metodología utilizada e incluyó los respectivos soportes, los cuales fundamentaron cada una de sus conclusiones, así como los cálculos y las fórmulas que arrojaron los resultados a los que arribó el auxiliar de la Justicia.
En relación con este último aspecto cabe reiterar que la inspección judicial que se practicó respecto de los predios afectados por la actuación de la C.V.C., no arrojó una información precisa en relación con la existencia de cultivos para la época de los hechos y mucho menos de las pérdidas de cada actor, ello, se itera, como consecuencia lógica del paso del tiempo; sin embargo, para establecer precisamente los efectos nocivos ante la pérdida –total o parcial– de los cultivos y calcular los perjuicios irrogados a cada demandante, se contó con la presencia de un perito, quien, como ya se dijo, además de contar con la información reportada por los testigos en cada visita a los predios, obtuvo informes adicionale
''––––
para rendir su experticio por parte de compañía––
''
que i) prestan asistencia técnica en la región, ii) que comercializan semillas certificadas e insumos para diferentes cultivos, iii) que suministran la información de costos y estimativos de producción por hectárea de cultivos a la Corporación de Algodoneros del Valle del Cauca, iv) que producen y venden las plántulas de tomate y semillas de manejo en los cultivos de maracuyá, tomate, zapallo, tabaco rubio; v) que compran, a su vez, la producción de tales cosechas en la región y vi) que comercializan granos y suministran semillas certificadas de maíz, sorgo y soya, entre otras. En algunos casos, se contó con una bitácora de obra y los registros de los agricultores, circunstancia que se confrontó con la información de las fichas técnicas, lo cual otorga mayor credibilidad a la consistencia de los cálculos realizados por el perit
.
Por lo tanto la Sala, en virtud de lo dispuesto en el artículo 241 del C. de P. C., estima que el dictamen pericial contiene conclusiones que ameritan credibilidad y razonabilidad en relación con las cifras allí consignadas, amén de que tuvo fundamento en criterios técnicos y financieros y utilizó medidas estadísticos y se apoyó en información pertinente, objetiva y contrastada.
En línea con lo expuesto, la Subsección mantendrá –actualizada a la fecha de este proveíd
– la indemnización reconocida en sede de primera instanci a los señores Jaime Antonio Vásquez Ospina, Efraín Marmolejo Benítez, Blas Antonio Guevara Mondragón, Santos Iván Eduardo Caicedo Soto, Julián Ciro Caicedo Soto, José Antonio Guevara Mendoza, Héctor Ávila Andrade y Hébert Mondragón Mondragón, así:
| 1.- Jaime Antonio Vásquez Ospina | $ 16'209.893.oo |
| 2.- Efraín Marmolejo Benítez | $ 31'761.174,oo |
| 3.- Blas Antonio Guevara Mondragón | $ 2'725.845.oo |
| 4.- Santos Iván Eduardo Caicedo Soto | $ 42'155.197.oo |
| 5.- Julián Ciro Caicedo Soto | $ 110'692.874.oo |
| 6.- José Antonio Guevara Mendoza | $ 34'032.710.oo |
| 7.- Héctor Ávila Andrade | $ 15'964.258 |
| 8.- Hébert Mondragón Mondragón | $ 15'318.701.oo |
TOTAL | $ 268'860.652.oo |
7.3.- La suma ponderada.
Ante la eventualidad de que personas que no intervinieron expresamente en el presente litigio acudan al Fondo para la Defensa de los Intereses Colectivos, para acogerse a este fallo dentro de los veinte (20) días siguientes a su publicación, según lo dispone el artículo 55 de la Ley 472, la Sala insiste en que para tal efecto deberán demostrar su condición de concesionarios de las aguas del río Pescador, vigente para el mes de junio del año 2002, mediante el respectivo acto –en copia auténtica o en su original– a través del cual la C.V.C., les concedió la aludida concesión y que en el evento en el cual algunos de los posibles beneficiarios de la condena hubieren sido usuarios de dicha fuente hídrica como cesionarios o arrendatarios de quienes tenían concesión para el efecto, se deberá igualmente acreditar que los concesionarios contaban con la debida autorización para ceder, arrendar o, en general, transferir tal concesión por parte de la C.V.C., tal como lo dispone el ya mencionado artículo 95 del Decreto 2811 de 1974.
La Subsección reitera que en tratándose de acciones de grupo, una vez dictada la sentencia estimatoria, se abre paso una nueva etapa en sede administrativa, ante la cual, desde luego, no resulta procedente reabrir el debate probatorio en cuanto a las calidades individuales de los interesados ni en cuanto a la existencia y monto de los perjuicios de la misma índole, lo cual supondría atribuir, de manera indebida y sin ley habilitante, a las autoridades administrativas funciones relacionadas con el decreto, práctica y valoración de pruebas tendientes a realizar la liquidación de la sentencia –con la contingencia de que haya lugar a nuevos y numerosos litigios–, lo cual resulta ajeno a la normatividad vigente sobre la materi
.
La Ley 472 establece, en su artículo 65-1, que la sentencia dictada en el curso de una acción de grupo, en tanto sea estimatoria de las pretensiones, habrá de disponer “[e]l pago de una indemnización colectiva, que contenga la suma ponderada de las indemnizaciones individuales”, tema respecto del cual la Jurisprudencia de la Sala ha precisado:
“(…) cuando la Ley 472 ordena que la sentencia que se profiera en el curso de una acción popular (sic), en tanto sea estimatoria de las pretensiones, debe disponer el pago de una indemnización colectiva que contenga la suma o el valor ponderado de las indemnizaciones individuales, debe tenerse en cuenta que ponderar en su acepción propia de las matemáticas, es “atribuir un peso a un elemento de un conjunto con el fin de obtener la media ponderada”.
Por su parte, media ponderada se define como: 'Mat. Resultado de multiplicar cada uno de los números de un conjunto por un valor particular llamado su peso, sumar las cantidades así obtenidas y dividir esa suma por la suma de todos los pesos
.
Importa destacar que en el ordenamiento colombiano, cuando en el artículo 65 de la Ley 472 expedida en el año de 1998, le ordena al juez que la condena respectiva debe corresponder a una indemnización colectiva, en modo alguno contempla la posibilidad de que la misma pueda proferirse en abstracto –como se sugiere en el Código Modelo de Procesos Colectivos para Iberoaméric–
–––
–, sino que se refiere a “la suma ponderada de las indemnizaciones individuales”, atendiendo al principio de equidad que ha inspirado estas acciones desde sus orígenes en el derecho anglosajón y que, en nuestro medio, constituye un criterio auxiliar de la actividad judicial –tal como dispone el artículo 230 de la Constitución Política– y uno de los principios que el legislador consagra para la valoración judicial de los daños, según establece la Ley 446 en su artículo 1
.
Obedece también la anterior concepción al criterio que en general ha inspirado la consagración de estos mecanismos judiciales en las diferentes legislaciones, según el cual, en las acciones de grupo, 'todos cobran aunque no todos cobran todo' –como excepción al principio de reparación integral–, lo cual resulta especialmente importante cuando se trata de grupos de textura abiert
, esto es aquellos de los cuales no se conoce o no se puede conocer el número total de integrantes al momento de dictarse la respectiva sentencia y que, de acuerdo con el diseño normativo actual, pueden llegar posteriormente, ante el Fondo, a hacer efectiva su indemnización en cuanto resulten cubiertos por los efectos de la sentencia, aunque no hubieren actuado dentro del respectivo proceso judicial.
Debe tenerse en consideración que la filosofía que inspira las acciones colectivas no es exactamente la misma que orienta a las acciones individuales.
“…(…)…
.
Pues bien, para indemnizar a aquellos integrantes del grupo que no acudieron al proceso pero que quedarán cobijados por los efectos del presente fallo –beneficiarios– y que se encuentren habilitados para formular sus respectivas solicitudes de pago, se utilizará el método de cálculo de la media aritmética ponderada, para realizar un estimativo acerca de tales potenciales integrantes con el único fin de establecer el monto de la suma que la parte demandada deberá entregar al Fondo para la Defensa de los Derechos e Intereses Colectivos para la realización de dichos pagos, pero dejando claro que tal estimativo no comporta límite máximo alguno en el número de integrantes que pudiere impedir a estos la posibilidad de acudir a obtener el pago de su reconocimiento en caso de que superen el número que ha de tenerse en cuenta para efectos del cálculo correspondiente y menos que el mencionado Fondo pueda entender, a partir de dicho número de potenciales integrantes, que no podrá recibir solicitudes válidas que superen el mismo o que no podrá efectuar los pagos respectivos a quienes se presentaren con posterioridad al último integrante que corresponda al número que ha de utilizarse para el cálculo anunciad
.
Teniendo en cuenta que en el presente caso se ha concluido que existe responsabilidad a cargo de la parte demandada para con los integrantes del grupo, la Sala estima que los beneficiarios de este fallo que no concurrieron al proceso, pero que podrían resultar cobijados por las decisiones que en él se adopten se estiman en 79 personas, de acuerdo con lo siguiente:
Según lo expuesto por el señor Dagoberto Gómez España –Técnico Operativo de la C.V.C., para la fecha de ocurrencia de los hechos– “(…) Los usuarios del río Pescador son 95 …, aproximadamente.
Por su parte, en la demand
se indicó que el grupo actor –presentes y ausentes– estaría integrado por más de 100 personas, de conformidad con la relación que obra en el estudio que elaboró la C.V.C., en el año 2002.
Pero ocurre que la C.V.C., en el denominado “ANALISIS ESTADO ACTUAL DE AGUAS SUPERFICIALES DEL RIO PESCADOR”, registró un número de 92 usuarios –que no concesionarios– de dicho río, en su zona baj
, relación dentro de la cual, bueno es señalarlo, se encuentran aquellos demandantes que también se incluyeron por parte de la interventoría ambiental y que serán beneficiarios de una indemnización concreta con este fallo.
A su turno, en la relación que efectuó la interventoría ambiental del proyecto SAR-BRUT, se incluyó un número de 76 personas y/o predios como supuestos concesionarios del aludido rí.
En todo caso, no serían más de 100 personas, como se afirmó en la demanda.
Para efectos de determinar la indemnización colectiva, la Sala acogerá el número de usuarios previsto por la C.V.C., por tratarse de una relación que proviene no sólo de la parte demandada, sino de la autoridad que, según la ley, le compete autorizar, mediante la concesión respectiva, el uso de una fuente hídrica pública, en este caso el río Pescador, por manera que se trata precisamente de la entidad que puede y debe tener la información precisa respecto de tales usuarios.
De ese modo, a los 92 posibles usuarios se le deben descontar los 8 actores que en este litigio tendrán derecho –si acreditan ser concesionarios legales del río Pescador– a recibir la indemnización anteriormente descrita; también habrán de reducirse los actores a quienes les fueron denegadas las súplicas de la demanda en sede de primera instancia, o sea 5 demandantes, para cuyo efecto se tiene entonces que los eventuales beneficiarios de la aludida fuente hídrica serían 79 actores.
Ahora bien, la Sala ya ha dejado claro –porque incluso la propia parte actora lo precisó en la demanda– que el grupo demandante en este proceso también está integrado por personas que no tenían autorización legal para abastecer sus cultivos con el agua del río Pescador para la época de los hechos, cuestión que permite inferir que ese número de 79 posibles usuarios resultará reducido en fracción, toda vez que la relación hecha por la C.V.C., no se refiere, de manera puntual, a concesionarios o usuarios con concesión o licenciamiento legal, sino que lo hizo, en términos generales, en relación con los usuarios de la parte baja del río Pescador.
Sin embargo, no es posible establecer un dato exacto en relación con las personas que carecían del aludido título habilitante y, por esa misma razón, se desconoce cuántas serían las personas que tenían concesión para ser considerados usuarios legales del río Pescador, motivo por el cual la Sala mantendrá el número de 79 beneficiarios potenciales de este proveído para efectos de fijar la suma ponderada, sin que ello comporte un detrimento del erario, dado que, como ya anticipó, ese número posiblemente se reduzca, tema del cual se ocupa el inciso final del artículo 65-3 de la Ley 472 de 1998, al disponer, en forma mandatoria, que “[l]os dineros restantes, después de haber pagado todas las indemnizaciones serán devueltos al demandado”.
Establecido lo anterior, y con el fin de estimar un dato promedio de las eventuales reclamaciones, se procederá a aplicar la fórmula de la media aritmética ponderada, en este caso utilizando como factor de ponderación la extensión de cada terreno cultivado, expresado en la unidad de medida por hectáreas, de acuerdo con el monto de la pérdida estimada en cada cultivo–, para lo cual se tomaran los siguientes datos del l dictamen pericial, así:
| AFECTADO | HECTAREAS | Valor de las pérdidas según el dictamen |
| Jaime Vásquez Ospina | 9 has. | $ 9'648.000 |
José Antonio Guevara | 3 has. 6000 M2 (0.6 ha) = 3.6 has 8 has. 7000 M2 (0.7 has) = 8.7 has. | $ 6'300.000 $ 13'956.000 |
| Efraín Marmolejo | 8 has. 1 ha. | $ 10'164.000 $ 8'740.000 |
| Víctor Hugo Marmolejo | 16 has. 10 has. | $ 54'000.000 $ 16'800.000 |
| Piedad C Marmolejo | 5 has. 5 has. | $ 4'590.000 $ 7'209.600 |
| Elvira de Marmolejo | o | o |
Iván Eduardo Caicedo | 6 has. 15 has. | $ 12'685.440 $ 12'405.000 |
Luis Alvaro García | 1 ha. | $ 15'551.250 |
Julián Ciro Caicedo | 30 has. 5.000 M2 (0.5 has) = 30.5 has. | $ 63'600.000 |
| Eduar García Serna | 1 ha. | $ 8'235.000 |
| Blas Antonio Guevara | 1 ha. | $ 1'622.400 |
Orlando Valencia | 1 ha. 2000 M2 (0.2 has) = 1.2 has 0 + 6400 m2 = 0.64 has. | $ 1'920.000 $ 8'400.000 |
Eugenio Oviedo Otero | 1 ha + 6000 M2 (0.6 has.) = 1.6 has. | $ 12'726.000 |
José Vicente Rivera | 0 ha + 6400 M2 = 0.64 has. | $ 4'872.000 |
Darío Varela | 3 + 5000 M2 (0.5 has.) = 3.5 has. | $ 5'499.840 |
Héctor Ávila Andrade | 4 + 500 (0.05 has.) = 4.05 has. 5 + 500 (0.05 has.) = 5.05 has | $ 4'325.000 $ 5'176.800 |
| Orlando Caval Toro | 44 has. | $ 205'215.000 |
Rubén Darío Tascón | 0 + 9.000 m2 = 0.9 has. | $ 8'982.750 |
Javier Quiza Tomich | 20 has. | $ 8'487.300 |
| Hérbet Mondragón | 4 has. | $ 9'117.570 |
Establecido lo anterior, y con el fin de estimar un dato promedio de las eventuales reclamaciones, se procederá a aplicar la fórmula de la media aritmética ponderad http://www.virtual.unal.edu.co/cursos/ciencias/2001065/
_obj_1.gif)
, de acuerdo con lo que se desarrolla en el siguiente cuadro, elaborado con base en los datos antedichos:
# de cultivos observados | Cantidad de hectáreas en el respectivo cultivo | Indemnización individual por cultivo según dictamen | valor ponderado por hectárea (cantidad de hectáreas x indemnización individual) |
| 1 | 9 | 9.648.000 | 86.832.000 |
| 2 | 3,6 | 6.300.000 | 22.680.000 |
| 3 | 8,7 | 13.956.000 | 121.417.200 |
| 4 | 8 | 10.164.000 | 81.312.000 |
| 5 | 1 | 8.740.000 | 8.740.000 |
| 6 | 16 | 54.000.000 | 864.000.000 |
| 7 | 10 | 16.800.000 | 168.000.000 |
| 8 | 5 | 4.590.000 | 22.950.000 |
| 9 | 5 | 7.209.000 | 36.045.000 |
| 10 | 6 | 12.685.440 | 76.112.640 |
| 11 | 15 | 12.405.000 | 186.075.000 |
| 12 | 1 | 15.551.250 | 15.551.250 |
| 13 | 30,5 | 63.600.000 | 1.939.800.000 |
| 14 | 1 | 8.235.000 | 8.235.000 |
| 15 | 1 | 1.622.400 | 1.622.400 |
| 16 | 1,2 | 1.920.000 | 2.304.000 |
| 17 | 0,64 | 8.400.000 | 5.376.000 |
| 18 | 1,6 | 12.276.000 | 19.641.600 |
| 19 | 0,64 | 4.872.000 | 3.118.080 |
| 20 | 3,5 | 5.499.840 | 19.249.440 |
| 21 | 4,05 | 4.325.000 | 17.516.250 |
| 22 | 5,05 | 5.176.800 | 26.142.840 |
| 23 | 44 | 205.215.000 | 9.029.460.000 |
| 24 | 0,9 | 8.982.750 | 8.084.475 |
| 25 | 20 | 8.487.300 | 169.746.000 |
| 26 | 4 | 9.117.570 | 36.470.280 |
| SUMA | 206,38 | 519.778.350 | 12.976.481.455 |
VALOR PROMEDIO PONDERADO POR HECTÁREA (12.976.481.455/206,38) | 62.876.642,38 | ||
INDEMNIZACION PROMEDIO POR HECTAREA Y POR CULTIVO (62.876.642,38/26) | $ 2'418.331.39 | ||
NUMERO DE PERSONAS ESTIMADAS EN EL GRUPO AFECTADO | 79 | ||
VALOR TOTAL SUMA PONDERADA DE INDEMNIZACION PARA EL GRUPO AFECTADO (2'418.331,39 x 79) | $ 191'048.259,54 | ||
Para el presente caso, el factor de ponderación que arroja el dictamen corresponde al área de terreno (hectáreas), por tipo de cultivo, para cuyo efecto debe tenerse en cuenta que todas las personas fueron afectadas, pero no todas en igual proporción, habida consideración de que las superficies cultivadas eran distintas respecto de cada demandante, además del tipo de cultivo, el número de cultivos y la estructura de costos y gastos de acuerdo con lo que estimó la indemnización del dictamen pericial practicado en este proceso.
Así las cosas, el monto a aprovisionar por cada posible reclamante estará cuantificado mediante el valor promedio de la pérdida por hectárea y por cultivo que arrojó la muestra de los 26 cultivos observados, es decir la suma individual de $ 2'418.331.39, multiplicado por el número de personas que se estiman afectadas (79), de $191'048.179,81 como indemnización total estimada para el grupo afectado, suma inferior a la estimada por el Tribunal Administrativo de primera instancia en el fallo apelado, esto es $ 433'700.000.
Se advierte que la diferencia obedece a la que el Tribunal Administrativo a quo aplicó una proporción simple, de lo cual se aparta la Sala por cuanto se debe calcular un promedio ponderado, el cual en este caso no hace otra cosa que considerar el peso específico de los distintos cultivos que fueron materia de análisis, para proyectar una indemnización estimada para el grupo afectado, siguiendo los términos que sugiere la expresión de la suma ponderada referida por la ley, es decir, que el cálculo matemático debe considerar un promedio ponderado y no un promedio simple, precisamente para reconocer los distintos factores que pesan sobre la pérdida estimada en cada cultivo.
Ahora bien, teniendo en cuenta que los montos que sirvieron de fundamento para determinar la suma ponderada provienen del valor de las pérdidas reportadas en el dictamen pericial, calculadas a junio del año 2002, se impone actualizar el respectivo rubro a valor present', lo cual arroja la cifra de $ 322'364.651, es decir que a cada posible beneficiario de este fallo le corresponderá un monto de $ 4'207.147.
7.4.- Conclusión.
Con el fin de abarcar TODAS las indemnizaciones individuales, la parte demandada deberá entregar, al Fondo para la Defensa de los Derechos e Intereses Colectivos, la suma de $ 591'225.30'
y si después de realizar los pagos de tales indemnizaciones individuales resulta algún excedente en relación con la totalidad de la suma que para estos propósitos la entidad demandada deberá entregar al aludido Fondo, aquel deberá devolverse a la Corporación Autónoma Regional del Valle del Cauca, de conformidad con los dictados del inciso final del numeral 3 del artículo 65 de la Ley 472 de 1998.
Por el contrario, si dentro del término establecido en la ley para obtener el pago de las condenas establecidas en la presente sentencia y con el lleno de los requisitos aquí señalados para el efecto, se presentan integrantes del grupo que no concurrieron al proceso en un número que supere a la señalada cantidad de 79 integrantes del grupo en condición de beneficiarios, el valor calculado para el pago de sus respectivas indemnizaciones individuales deberá ser dividido entre todos ello.
8.- Otras determinaciones.
La entidad demandada deberá entregar al Fondo para la Defensa de los Derechos e Intereses Colectivos las sumas que aquí se determinan dentro de los diez (10) días siguientes a la ejecutoria de la presente providencia, de conformidad con lo establecido en el artículo 65-3 de la Ley 472.
En todo caso, una vez se paguen las correspondientes indemnizaciones, tanto a favor de los integrantes del grupo que concurrieron al proceso (demandantes), como a favor de los demás miembros del grupo que no lo hicieron pero que se acojan al fallo (beneficiarios), el Fondo para la Defensa de los Derechos e Intereses Colectivos habrá de rendir las respectivas cuentas a la entidad demandada, dando cumplimiento a lo dispuesto en el inciso final del artículo 65-3 de la Ley 472, norma según la cual “[l]os dineros restantes, después de haber pagado todas las indemnizaciones serán devueltos al demandado”.
Y con el propósito de dar cumplimiento a las exigencias establecidas en el numeral 2 del artículo 65 de la Ley 472, oportuno resulta reiterar que para hacer efectivo el pago del reconocimiento que aquí se ordena a favor de los integrantes del grupo afectado, quienes en su condición de beneficiarios entren a formar posteriormente parte del mismo, necesariamente deberán presentarse ante el Tribunal Administrativo del Valle del Cauca, dentro del término establecido para el efecto en el numeral 4° del artículo 65 de la Ley 472, esto es dentro de los veinte (20) días siguientes a la publicación del correspondiente extracto de la sentencia y, además, deberán acreditar de manera fehaciente y concurrente ante el Fondo para la Defensa de los Derechos e Intereses Colectivos su condición de concesionarios LEGALES de las aguas del río Pescador para la época de ocurrencia de los hechos, es decir para el mes de junio del año 2002 y este presupuesto, se insiste, también se les exigirá a quienes acudieron a este proceso porque de ello pende el pago de la indemnización que frente a ellos será reconocida, tal como se expuso anteriormente.
Comoquiera que la condena en costas que se le impuso a la entidad pública demandada en el fallo apelado y el porcentaje del 10% que se fijó como honorarios a favor del abogado que ha representado al grupo, no fueron objeto de impugnación por la parte demandada, la Sala no abordará ese tema.
En mérito de lo expuesto, el Consejo de Estado, en Sala de lo Contencioso Administrativo, Sección Tercera, Subsección A, administrando justicia en nombre de la República de Colombia y por autoridad de la ley,
F A L L A :
PRIMERO: MODIFICANSE los numerales QUINTO y SEXTO de la sentencia apelada, esto es la proferida por el Tribunal Administrativo del Valle del Cauca, el día 29 de junio de 2007, los cuales quedarán así:
“QUINTO: CONDÉNASE a la Corporación Autónoma Regional del Valle del Cauca –CVC–, a pagar por concepto de perjuicios materiales, a favor de quienes lleguen posteriormente a integrar el grupo actor, la suma de $ 322'364.651. Dicha cantidad será depositada en el Fondo para la Defensa de los Derechos e Intereses Colectivos de la Defensoría del Pueblo, dentro de los diez (10) días siguientes a la ejecutoria de esta providencia y será administrada por el Defensor del Pueblo, quien también estará a cargo de pagar las indemnizaciones individuales del grupo, presentes y ausentes del proceso. Todas las solicitudes presentadas oportunamente se tramitarán y decidirán conjuntamente mediante acto administrativo en el cual se reconocerá el pago de la indemnización previa comprobación de los requisitos exigidos en la sentencia para demostrar que forma parte del grupo en cuyo favor se decretó la condena (inc. 2°, literal b, numeral 3°, Art. 65 de la Ley 472 de 1998).
“SEXTO: Para efectos del pago de la respectiva indemnización, los miembros presentes del grupo actor se acreditarán ante el Defensor del Pueblo con su documento de identidad y con el acto –en copia auténtica o en su original– por medio del cual la C.V.C., le concedió la respectiva concesión para el aprovechamiento del caudal del río Pescador, vigente para la época de los hechos, a quienes se reconocerán las siguientes sumas de dinero:
| 1.- Jaime Antonio Vásquez Ospina | $ 16'209.893.oo |
| 2.- Efraín Marmolejo Benítez | $ 31'761.174,oo |
| 3.- Blas Antonio Guevara Mondragón | $ 2'725.845.oo |
| 4.- Santos Iván Eduardo Caicedo Soto | $ 42'155.197.oo |
| 5.- Julián Ciro Caicedo Soto | $ 110'692.874.oo |
| 6.- José Antonio Guevara Mendoza | $ 34'032.710.oo |
| 7.- Héctor Ávila Andrade | $ 15'964.258 |
| 8.- Hébert Mondragón Mondragón | $15'318.701.oo |
TOTAL | $268'860.652.oo |
SEGUNDO: CONFÍRMASE en todo lo demás el fallo apelado.
TERCERO: Ejecutoriada esta providencia devuélvase el expediente al Tribunal de origen.
CÓPIESE, NOTIFÍQUESE Y CÚMPLASE
HERNÁN ANDRADE RINCÓN
CARLOS ALBERTO ZAMBRANO BARRERA