RESOLUCIÓN 307 DE 2017
(diciembre 22)
Diario Oficial No. 50.493 de 31 de enero de 2018
AGENCIA NACIONAL DE MINERÍA
Por la cual se señala y delimita la Zona Minera Indígena del Resguardo Indígena Monochoa, ubicado en el municipio de Solano departamento de Caquetá y Santander (Araracuara) departamento de Amazonas.
LA VICEPRESIDENTE DE PROMOCIÓN Y FOMENTO DE LA AGENCIA NACIONAL DE MINERÍA,
en uso de las facultades legales establecidas por el artículo 122 de la Ley 685 de 2001, y en especial las conferidas en el numeral 7 del artículo 17 del Decreto 4134 de 2011, la Resolución 1032 del 9 de diciembre de 2016, y
CONSIDERANDO:
Que el artículo 122 de la Ley 685 de 2001 establece que “La autoridad minera señalará y delimitará, con base en estudios técnicos y sociales, dentro de los territorios indígenas, zonas mineras indígenas en las cuales la exploración y explotación del suelo y subsuelo mineros deberán ajustarse a las disposiciones especiales del presente Capítulo sobre protección y participación de las comunidades y grupos indígenas asentados en dichos territorios (…)”.
Que el numeral 1 del artículo 4o del Decreto 4134 de 2011 establece que la Agencia Nacional de Minería (ANM), debe ejercer la función de autoridad minera o concedente en el territorio nacional.
Que el numeral 7 del artículo 17 del Decreto 4134 de 2012 asigna a la Vicepresidencia de Promoción y Fomento la función de “Dirigir los estudios técnicos y sociales requeridos para señalar y delimitar las zonas mineras indígenas, de comunidades negras y mixtas, así como la declaratoria de las mismas, en los términos establecidos en la ley” y en los términos del concepto emitido por la Oficina Asesora Jurídica de la Agencia Nacional de Minería, mediante memorando interno número 20131200111993, “la facultad de delimitar y declarar zonas mineras indígenas, de comunidades negras o mixtas se encuentra en cabeza de la Vicepresidencia de Promoción y Fomento”.
Que el Ministerio de Minas y Energía mediante radicado número 20122610355152 de 7 de noviembre de 2012 (Folios 1-6), remitió la solicitud de señalización y delimitación de una Zona Minera Indígena, presentada a dicha entidad mediante radicado número 2012060693 de 1 de noviembre de 2012, por parte de Nelson Rodríguez Morales, Gobernador del Cabildo Guamaraya, mediante escrito radicado número 2012060693 de 1 de noviembre de 2012.
Que mediante oficio número 20124230306511 del 3 de diciembre de 2012 (Folio 37), la Agencia Nacional de Minería solicitó a la Dirección de Asuntos Indígenas Rom y Minorías del Ministerio del Interior, certificación sobre el nombre del representante legal o de quien o quienes a la fecha, ejercían como autoridades tradicionales del Cabildo Guamaraya del Resguardo Indígena Monochoa.
Que la Dirección de Asuntos Indígenas, Rom y Minorías del Ministerio del Interior a través de constancia emitida el 26 de diciembre de 2012 y recibida por la ANM mediante radicado número 20124120401922 de 26 de diciembre de 2012 (Folio 46), señaló lo siguiente:
“Consultadas las bases de datos institucionales de esta Dirección y las aportadas por el Incora (hoy Incoder), en jurisdicción del municipio de Solano, departamento de Caquetá y Puerto Santander, departamento de Amazonas, se registra el Resguardo Indígena Monochoa, constituido legalmente por el Incora (hoy Incoder) mediante Resoluciones número 233 del 26 de noviembre de 1975, número 31 del 6 de abril de 1988 y número 31 del 15 de diciembre de 2004 (Ampliación).
Que consultadas las bases de datos institucionales de registro de autoridades y/o cabildos indígenas de esta Dirección, se registra el señor Nelson Rodríguez Morales, identificado con cédula de ciudadanía número 6.716.117 expedida en Puerto Leguízamo, como Gobernador del Cabildo Indígena de la Comunidad Guamaraya, la cual hace parte del Resguardo Monochoa en jurisdicción de Puerto Santander, Amazonas, según acta de posesión número 007/12 de fecha 22 de junio de 2012, suscrita por la Corregiduría de Puerto Santander”.
Que mediante radicado número 20144100277541 de 22 de agosto de 2014 (Folio 113), esta Agencia convocó a la comunidad del Cabildo Guamaraya del Resguardo Indígena Monochoa, a través del Gobernador, con el fin de realizar la socialización de señalización y declaración de Zona Minera Indígena para el Resguardo Indígena Monochoa, reunión que se llevó a cabo en las instalaciones del Resguardo Indígena el 10 y 11 de noviembre de 2014 como consta a folios 250 al 258 del expediente y en la cual la comunidad manifestó su voluntad de continuar con el trámite.
Que mediante contrato de consultoría número 0081 de 2014, suscrito entre la Agencia Nacional de Minería y GEMI S.A.S., se adelantó la visita técnica de reconocimiento geológico minero al área del Resguardo Indígena Monochoa – cabildo Guamaraya, como consta en el informe de visita recibido de diciembre de 2014 (Folios 116 -265).
Que de acuerdo con el informe de visita realizado, en el acápite de conclusiones y recomendaciones (Folios 235-237) se establece:
9. CONCLUSIONES
El potencial minero para el Resguardo Indígena Monochoa identificado, corresponde, a las márgenes del río Caquetá, para la extracción de oro aluvial, la Formación Araracuara compuesta por estratos de cuarzo areniscas con más del 90% en sílice es acta para la industrial del vidrio, fabricación de bloques y ladrillos. Por último los depósitos terciarios superiores amazónicos compuestos por areniscas cuarzosas y limolitas son ideales para la fabricación de materiales de construcción.
Geológicamente el territorio del Resguardo Indígena Monochoa, está conformado estratigráficamente y cronológicamente por las areniscas de la formación Araracuara, le sigue los paquetes arenáceos del Terciario Superior Amazónico y por último los depósitos cuaternarios como lo son las terrazas aluviales y los depósitos aluviales recientes.
Los recorridos de campo que permitieron la identificación de sitios con potencial minero y de interés social para la comunidad del Resguardo Indígena Monochoa estuvieron acompañados por los señores Efrén Rodríguez, Plácido Mendoza y Eusebio Mendoza.
Para el componente social se consideran las siguientes conclusiones:
El territorio del resguardo de Monochoa, hace parte del Predio Putumayo donde comparte territorio con 13 etnias más.
Los territorios de Monochoa y Predio Putumayo, tanto los resguardados titulados y constituidos legalmente, como el territorio ancestral de los grupos Muinane y Uitoto, están siendo afectados actualmente por la presencia de personas extrañas a las comunidades indígenas que buscan usufructuarse de manera particular y explotar el patrimonio natural de los grupos y comunidades indígenas que han habitado, cuidado y conservado tradicionalmente estos territorios y esta región.
Las condiciones de vida de los pueblos Uitoto y Muinane, en relación con el sector de derechos como salud, educación y vivienda, entre otros aspectos, evidencia condiciones de dignidad en cuanto a la cultura y la identidad de dichos pueblos, esto por conservar las formas tradicionales de la vida social, reflejadas en los usos y costumbres para las prácticas de la medicina tradicional y los procesos de formación y educación en la cultura tradicional, procesos que se llevan a cabo en la Casa Ceremonial o Maloka de cada uno de los Clanes y en el entorno natural o territorio tradicional. No obstante, estos principios de identidad y dignidad para estas comunidades, el sector de derechos por parte del Estado colombiano presenta debilidad en cuanto al apoyo, la inclusión y participación en los procesos de gobierno y desarrollo, a los cuales tienen derecho constitucional todos los pueblos y comunidades indígenas del país. En este sentido, ejercer el derecho de prelación para la declaratoria de zona minera indígena, constituye para los pueblos Uitoto y Muinane, habitantes del resguardo de Monochoa y Predio Putumayo, un avance en el goce y ejercicio de sus derechos como grupos étnicos.
Como un paso fundamental en la configuración del plan de vida de estos pueblos, el avance en el trámite para la declaratoria de la zona minera indígena, fortalece el ejercicio de la gobernabilidad de las autoridades indígenas Uitoto y Muinane en sus territorios y los procesos de ordenamiento ambiental y territorial de los mismos a través de la exclusión de los Sitios Sagrados, los Sitios Prohibidos y las Zonas de Interés Cultural. Así como la delimitación de las zonas con potencial minero dentro de sus territorios tradicionales.
En el tema de la salud para los pueblos del resguardo Monochoa se resuelve a través de la medicina tradicional y sus propias prácticas culturales frente a los procesos de salud y enfermedad, el conocimiento de su territorio y de su legado ancestral frente al reconocimiento de las fuerzas y energías naturales y cósmicas.
10. RECOMENDACIONES
El Resguardo Indígena Monochoa presenta una zona de potencial geológico minero para extracción de oro aluvial, además de materiales para construcción, agregados pétreos, asociada al río Caquetá, y algunos de sus afluentes, por lo que se recomienda a la Agencia Nacional de Minería continuar con el proceso de declaratoria como Zona Minera Indígena.
En consideración a los resultados obtenidos a partir de la visita técnica para el territorio ancestral y tradicional de los pueblos Uitoto y Muinane en el Resguardo de Monochoa; en los componentes geológico y social, y cuyos resultados están relacionados con la identificación de los Sitios Sagrados, Sitios Prohibidos, Zonas de Interés Cultural y Zonas de Potencial Minero, dentro del territorio de estos pueblos amazónicos, se recomienda a la Agencia Nacional de Minería, apoyar y avanzar en el trámite requerido para que las comunidades indígenas de los pueblos Uitoto y Muinane puedan fortalecer su proceso de consolidación étnica, cultural y territorial a través de la declaratoria de la zona minera indígena y el ejercicio pleno de gobernabilidad sobre la misma, en el marco de sus derechos sobre los territorios que tradicional y ancestralmente han habitado y de los cuales depende su pervivencia y permanencia como culturas indígenas.
Que el Ministerio del Interior, mediante certificación “Sobre la presencia o no de comunidades étnicas en las zonas de proyectos, obras o actividades a realizarse” número 1370 de 30 de septiembre de 2015 (Folios 285-307), certificó que: “…se registraba la presencia del Resguardo Indígena Monochoa de la etnia Huitoto, registrado con Resolución 233-26-11-75, 31-06-08-88 y 031-15-04 del Incora, en el área del proyecto: “DELIMITACIÓN DE ZONA MINERA DEL RESGUARDO MONOCHOA, UBICADO EN LOS MUNICIPIOS DE SOLANO Y PUERTO SANTANDER EN EL DEPARTAMENTO DE CAQUETÁ…”.
Que la Agencia Nacional de Minería convocó a la comunidad del Resguardo Indígena Monochoa mediante comunicación con radicado número 20164100305091 de 1 de septiembre de 2016 (Folio 340) a través del Gobernador, a la reunión de validación del trámite de delimitación y declaración de zona minera indígena, la cual se llevó a cabo en el Resguardo Indígena el 14 de septiembre de 2016 como consta a folios 342 al 345 del expediente y como resultado de la misma, el Gobernador del Resguardo Indígena Monochoa, señor Eusebio Mendoza y miembros del Resguardo Indígena, manifestaron lo siguiente, conforme obra a folio 346:
(...)
Con base en lo anterior, manifestamos a ustedes que conocemos los efectos legales, los derechos y deberes correlativos que se generan a favor del Resguardo Indígena Monochoa con ocasión del señalamiento y delimitación de la Zona Minera, todo lo cual, generará beneficios de carácter social, económico y ambiental que son compatibles con nuestros usos y costumbres indígenas, por lo tanto, al estar plenamente de acuerdo, solicitamos no adelantar Consulta Previa para el señalamiento y delimitación de la Zona Minera Indígena de iniciativa de nuestra comunidad, en tanto la misma propende por la garantía del ejercicio de nuestros derechos a la autonomía, al autogobierno y a la identidad cultural, entre otros.
Que mediante radicado número 20164100334841 de 29 de septiembre de 2016 (Folios 350- 351), esta Agencia solicitó a la Dirección de Consulta Previa del Ministerio del Interior el pronunciamiento sobre el documento de consentimiento emitido por el Resguardo Indígena Monochoa en atención a la solicitud de no llevar a cabo consulta previa para el señalamiento y delimitación de la Zona Minera Indígena, tratándose de una solicitud de iniciativa autónoma de la referida comunidad étnica.
Que el Ministerio del Interior, mediante radicado número OFI16-000038329-DCP-2500 de 14 de octubre de 2016, radicado ante la ANM bajo el número 20165510354672 de 8 noviembre de 2016 (Folios 352-354), se pronunció respecto al consentimiento emitido por el Resguardo Indígena Monochoa, en los siguientes términos:
(…)
D. CONCEPTO FINAL
Según el análisis realizado, esta Dirección debe informar a la Agencia Nacional de Minería (ANM) que en el contexto del proyecto estudiado y considerando los argumentos previamente expuestos y la manifestación expresa de la comunidad “Resguardo Indígena Monochoa”, no se debe agotar el proceso de consulta previa respecto de esta comunidad.
Que atendiendo el referido pronunciamiento de la Dirección de Consulta Previa del Ministerio del Interior y el consentimiento emitido por el Resguardo Indígena Monochoa, esta Autoridad procederá de conformidad.
Que el Instituto Colombiano de la Reforma Agraria (Incora), expidió la Resolución número 31 del 6 de abril de 1988, “Por la cual se confiere el carácter legal de Resguardo a un sector de las tierras reservadas en beneficio de la población indígena Witoto del Paraje Monochoa, situado en jurisdicción del Municipio de Solano, Departamento del Caquetá” (Folios 423-427), y expidió el Acuerdo número 31 de 15 de diciembre de 2004 “Por la cual se amplía el Resguardo Indígena Huitoto de Monochoa, con un globo de tierra conformado por terrenos que tienen la calidad de Reserva Indígena a favor de esta comunidad, mediante resolución 233 de septiembre 26 de 1975, ubicado en jurisdicción del municipio de Puerto Solano, departamento del Caquetá” (Folios 419-422).
Que la Agencia Nacional de Tierras (ANT), expidió el Acuerdo número 25 de 2017 “por el cual se amplía el Resguardo Indígena Uitoto (Murui –Muinai) de Monochoa, sobre un territorio de ocupación ancestral (baldío) localizado en jurisdicción del municipio de Solano, departamento del Caquetá” (Folios 408-418).
Que a folios 426 al 427 del expediente que nos ocupa, obra el Informe de Revisión documental del trámite para señalar y declarar una Zona Minera Indígena a favor del Resguardo Indígena Monochoa, a través del cual, el Grupo de Fomento concluyó lo siguiente:
Conclusión: Teniendo en cuenta las recomendaciones del informe de visita efectuado y la documentación soporte del expediente, este se encuentra ajustado al procedimiento de Delimitación y Declaración de Zonas Mineras – Código: MIS 1-P-002, Versión: 2, vigente desde el 11 de marzo de 2015.
Que la comunidad del Resguardo Indígena Monochoa, junto con el Gobernador del Resguardo, manifestó expresamente la voluntad de la Comunidad Étnica de continuar con la delimitación y declaración de una zona minera indígena en el Resguardo Indígena Monochoa.
De acuerdo con lo anterior se recomienda: continuar con el trámite de la solicitud de zona minera para el Resguardo Indígena Monochoa.
Que el área susceptible para señalar y delimitar como Zona Minera Indígena, se encuentra dentro del área adjudicada como territorio del Resguardo Indígena Monochoa de acuerdo con la cobertura oficial de resguardos indígenas incorporada en el Catastro Minero.
Que mediante memorando número 20172200267993 de 30 de octubre de 2017 (Folios 428-466), el Grupo de Catastro y Registro Minero remitió el Certificado de Área Libre ANM-CAL-0208-17 y reportes gráficos ANM-RG-3261-17 y ANM-RG-3675 del 23 de octubre de 2017, los cuales contienen la alinderación final del área susceptible de establecer como Zona Minera dentro del Resguardo Indígena Monochoa, en los municipios de Solano, departamento del Caquetá y Santander (Araracuara), departamento de Amazonas en donde se indica en el reporte de superposiciones que el área libre total es de 264.370,6192 hectáreas en (1) un área. Estos resultados atendiendo el reporte de superposiciones que se establece a continuación:
REPORTE DE SUPERPOSICIONES
| CAPA | EXPEDIENTE | MINERAL/DESCRIPCIÓN | PORCENTAJE |
| RESERVA FORESTAL | AMAZONIA | RESERVA FORESTAL LEY 2ª DE 1959 - RAD ANM 20155510225722 - INCORPORADO 28/07/2015 | 30,8823% |
| ÁREA DE RESERVA ESPECIAL EN TRÁMITE | SOLANO (Con visita programada según BD ARE Grupo Fomento) | ORO Y SUS CONCENTRADOS | 0,016194% |
3 ÁREA LIBRE
Como se indicó en el literal número 2 (Estudio de Superposiciones), sobre el área de interés no existen títulos ni áreas excluibles de la minería, por lo cual no se realiza recorte del área inicial.
4. REPRESENTACIÓN GRÁFICA
La representación gráfica del área anteriormente descrita se presenta en el reporte gráfico ANM-RG-3261-17 y ANM-RG-3675-17.
(…)
Que es de indicar que el Certificado de Área Libre ANM-CAL-0208-17 y reportes gráficos ANM-RG-3261-17 y ANM-RG-3675 del 23 de octubre de 2017, se señalaron las áreas a establecer como sitios de especial significado cultural, social y económico para la comunidad, las cuales se encuentran ubicadas dentro del polígono del Resguardo Indígena Monochoa, en las coordenadas que se indicarán en la parte resolutiva de la presente resolución; por tanto, estas serán señaladas como áreas indígenas restringidas de minería en virtud de lo dispuesto en el artículo 127 de la Ley 685 de 2001.
FUNDAMENTOS DE LA DECISIÓN
Que el Capítulo XIV – Grupos Étnicos del Código de Minas – Ley 685 de 2001, establece las Zonas Mineras Indígenas en los siguientes términos:
Artículo 122. La autoridad minera señalará y delimitará, con base en estudios técnicos y sociales, dentro de los territorios indígenas, zonas mineras indígenas en las cuales la exploración y explotación del suelo y subsuelo mineros deberán ajustarse a las disposiciones especiales del presente Capítulo sobre protección y participación de las comunidades y grupos indígenas asentados en dichos territorios.
(…)
Que el artículo 123 de la Ley 685 de 2001, establece territorio y comunidad indígena en los siguientes términos:
Artículo 123. Territorio y Comunidad Indígenas. Para los efectos previstos en el artículo anterior, se entienden por territorios indígenas las áreas poseídas en forma regular y permanente por una comunidad, parcialidad o grupo indígena de conformidad con lo dispuesto en la Ley 21 de 1991 y demás leyes que la modifiquen, amplíen o sustituyan.
Que el artículo 127 del Código de Minas – Ley 685 de 2001, establece las áreas indígenas restringidas en los siguientes términos:
Artículo 127. Áreas indígenas restringidas. La autoridad indígena señalará, dentro de la zona minera indígena, los lugares que no pueden ser objeto de exploraciones o explotaciones mineras por tener especial significado cultural, social y económico para la comunidad o grupo aborigen, de acuerdo con sus creencias, usos y costumbres.
Que en atención a lo establecido en el Informe de Visita al Resguardo Indígena Monochoa, frente a la identificación de áreas indígenas restringidas, en el numeral 8.1.11. (Folios 228-233), y georreferenciadas en los polígonos que se señalarán en la parte resolutiva del presente acto administrativo, las mismas no podrán ser objeto de exploraciones o explotaciones mineras por tener especial significado cultural, social y económico para el Resguardo Indígena Monochoa, de acuerdo con sus creencias, usos y costumbres.
Es pertinente indicar a los interesados que la declaración de la Zona Minera Indígena del Resguardo Indígena Monochoa, no constituye u otorga derecho alguno a las comunidades para explorar o explotar minerales dentro de la misma.
Que el artículo 124 del Código de Minas, frente al derecho de prelación sobre el otorgamiento de concesión minera establece lo siguiente:
Artículo 124. Derecho de prelación de grupos indígenas. Las comunidades y grupos indígenas tendrán prelación para que la autoridad minera les otorgue concesión sobre los yacimientos y depósitos mineros ubicados en una zona minera indígena. Este contrato podrá comprender uno o varios minerales.
Que en ejercicio de este derecho, la comunidad tendrá derecho a explorar y explotar los recursos minerales presentes en la zona minera, a través de un contrato de concesión; por tanto, el Resguardo Indígena Monochoa, deberá presentar ante esta Entidad, una propuesta que debe cumplir con los requisitos establecidos en el artículo 271 del Código de Minas y/o la norma que lo modifique o adicione, en caso de pretender explotar los recursos mineros identificados en la zona a señalar.
Que cumplidos los requisitos señalados en los artículos 122, 125 y 127 de la Ley 685 de 2001, se considera procedente señalar y declarar la Zona Minera Indígena en el Resguardo Indígena Monochoa, en los municipios de Solano, departamento del Caquetá y Santander (Araracuara), departamento de Amazonas.
La Vicepresidencia de Promoción y Fomento de la Agencia Nacional de Minería, toma la presente decisión basado en los estudios y análisis efectuados por los profesionales de las áreas técnica y jurídica del Grupo de Fomento y con el visto bueno del Gerente de Fomento de la Vicepresidencia de Promoción y Fomento. Conforme a lo anterior,
Que en mérito de lo expuesto,
RESUELVE:
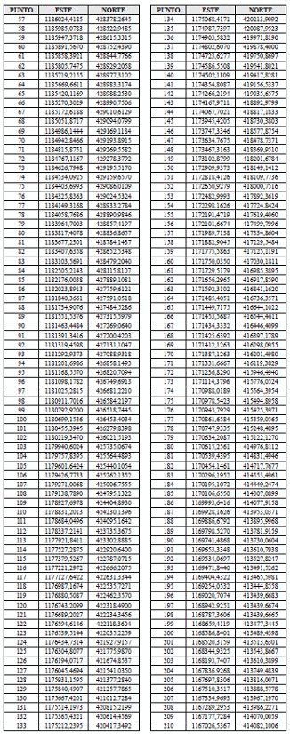
ARTÍCULO 1o. Señalar y delimitar como Zona Minera Indígena a favor del Resguardo Indígena Monochoa, ubicado en el municipio de Solano departamento de Caquetá y Santander (Araracuara), departamento de Amazonas, el área comprendida dentro de una extensión superficiaria de 264.370,6192 hectáreas, localizada en jurisdicción de los municipios de Solano departamento de Caquetá y Santander (Araracuara), departamento de Amazonas, cuyos linderos son los siguientes:
| DESCRIPCIÓN DEL P.A. | PRIMER PUNTO DE LA POLIGONAL |
| PLANCHA IGAC DEL P.A. | 511 |
| DATUM | BOGOTÁ |
| ORIGEN | CENTRAL |
| MUNICIPIOS | SOLANO – CAQUETÁ, SANTANDER (Araracuara) - AMAZONAS |
| ÁREA TOTAL | 264.370,6192 hectáreas |
ALINDERACIÓN DE LA ZONA NÚMERO 1





























ARTÍCULO 2o. Señalar los siguientes polígonos ubicados dentro de la Zona Minera Indígena alinderada en el artículo primero de la presente resolución, como áreas indígenas restringidas dentro de las cuales no se podrán realizar actividades mineras al tenor de lo establecido en el artículo 127 de la Ley 685 de 2001, conforme a la parte motiva del presente acto administrativo:
ALINDERACIÓN DEL ÁREA INDÍGENA RESTRINGIDA INT CULTURAL Y PROTECC, Área: 3.097.3788 hectáreas


ALINDERACIÓN DEL ÁREA INDÍGENA RESTRINGIDA SITIO PROHIBIDO
Área: 4.310.4066 hectáreas

ALINDERACIÓN DEL ÁREA INDÍGENA RESTRINGIDA PI, Área: 5.078.5533 hectáreas


ALINDERACIÓN DEL ÁREA INDÍGENA RESTRINGIDA P2, Área: 4.631.9829 hectáreas

ALINDERACIÓN DEL ÁREA INDÍGENA RESTRINGIDA P3, Área: 1039.4509 hectáreas


ALINDERACIÓN DEL ÁREA INDÍGENA RESTRINGIDA P4, Área: 749.3425 hectáreas


ALINDERACIÓN DEL ÁREA INDÍGENA RESTRINGIDA P5, Área: 3.117.5427 hectáreas

ARTÍCULO 3o. La señalización y alinderación de esta Zona Minera Indígena, se hace sin perjuicio de los títulos mineros vigentes y las solicitudes presentadas dentro del área señalada en el artículo primero de la presente resolución, los cuales continuarán con el trámite respectivo de conformidad con lo establecido en el Capítulo XIV de la Ley 685 de 2011 – Código de Minas.
ARTÍCULO 4o. La presente señalización y alinderación de zona minera indígena le permite al Resguardo Indígena Monochoa ejercer el derecho de prelación en los términos establecidos en el artículo 124 de la Ley 685 de 2001.
ARTÍCULO 5o. La presente resolución no otorga derechos para adelantar actividades mineras de exploración, construcción y montaje y/o explotación minera dentro de la zona minera señalada y delimitada.
ARTÍCULO 6o. Ordénese la publicación de la presente resolución en el Diario Oficial.
ARTÍCULO 7o. Por tratarse de un acto administrativo de carácter general, contra la presente resolución no procede recurso alguno de acuerdo con lo establecido en el artículo 75 del Código Contencioso Administrativo.
ARTÍCULO 8o. La presente resolución rige a partir de la fecha de su inscripción en el Registro Minero.
ARTÍCULO 9o. Una vez publicada remitir copia a la Gerencia de Catastro y Registro Minero de la ANM, para su correspondiente inscripción en el Registro Minero Nacional, de acuerdo a lo establecido en el literal i) del artículo 332 de la Ley 685 de 2001.
ARTÍCULO 10. Remitir copia de la presente resolución a la Dirección de Asuntos Indígenas, Minorías y Rom, del Ministerio del Interior, para lo de su competencia.
ARTÍCULO 11. Comuníquese la presente decisión a la Comunidad Indígena del Resguardo Indígena Monochoa, ubicado en los municipios de Solano, departamento del Caquetá, y Santander (Araracuara), departamento de Amazonas, a favor de la cual se señala y delimita la presente Zona Minera Indígena.
Dada en Bogotá, D. C., a 22 de diciembre de 2017.
Publíquese, comuníquese y cúmplase.
La Vicepresidente de Promoción y Fomento,
Fanny Elizabeth Guerrero Maya.