RESOLUCIÓN 612 DE 2012
(junio 15)
Diario Oficial No. 48.469 de 22 de junio de 2012
INSTITUTO GEOGRÁFICO AGUSTÍN CODAZZI
Por la cual se expide la metodología para definir la tarifa del Impuesto Predial Unificado aplicable a los Resguardos Indígenas.
LA DIRECTORA GENERAL (E) DEL INSTITUTO GEOGRÁFICO “AGUSTÍN CODAZZI,
en ejercicio de sus facultades, especialmente la otorgada por el parágrafo 1o del artículo 23 de la Ley 1450 de 2011, y
CONSIDERANDO:
Que por la Ley 1450 de 2011 se expidió el Plan Nacional de Desarrollo, 2010-2014.
Que el artículo 4o de la Ley 44 de 1990, modificado por el artículo 23 de la Ley 1450 de 2011, dispone que la tarifa del Impuesto Predial Unificado (IPU), será fijada por los respectivos concejos.
Que el parágrafo 1o del artículo 23 de la mencionada ley estableció que para dar cumplimiento a lo dispuesto por el artículo 24 de la Ley 44 de 1990, modificado por el artículo 184 de la Ley 223 de 1995, la tarifa de Impuesto Predial Unificado (IPU), aplicable para resguardos indígenas será la resultante del promedio ponderado de las tarifas definidas para los demás predios del respectivo municipio o distrito, según la metodología que expida el Instituto Geográfico “Agustín Codazzi” (IGAC),
Que el artículo 184 de la Ley 223 de 1995 señala la obligación de la Nación de girar anualmente las sumas que los municipios o distritos donde existan resguardos indígenas dejen de recaudar por IPU o no hayan recaudado por el impuesto y las sobretasas legales, de acuerdo con certificación que en ese sentido expida el tesorero municipal.
Que el IGAC debe expedir la metodología para que cada municipio o distrito establezca la tarifa de IPU aplicable a resguardos indígenas, según lo dispone el parágrafo 1o del artículo 23 de la Ley 1450 de 2011, esto es, el promedio ponderado de las tarifas definidas para los demás predios del respectivo municipio o distrito.
En mérito de lo expuesto, se
RESUELVE:
ARTÍCULO 1o. Expedir la siguiente metodología para determinar la tarifa del Impuesto Predial Unificado (IPU), aplicable a los resguardos indígenas, según el promedio ponderado de las tarifas definidas para los demás predios de los respectivos municipios o distritos:
1. Cada municipio o distrito agrupará los bienes inmuebles de su jurisdicción de acuerdo con las categorías definidas previamente por el Concejo Municipal o Distrital para la aplicación de las tarifas del IPU.
2. A partir de los distintos grupos de bienes inmuebles determinados, cada municipio o distrito calculará el recaudo esperado por IPU. El cálculo del recaudo esperado será el resultado de multiplicar la suma de los avalúos catastrales vigentes para los bienes inmuebles que conforman cada grupo, por la tarifa que le corresponda según el Estatuto Tributario y/o Código de Rentas del respectivo municipio o distrito. Dentro de la operación no se incluirán los resguardos indígenas que estén constituidos mediante resolución emitida por el Incora o Incoder o quien haga sus veces, y que estén registrados como tales. Tampoco se tendrán en cuenta los predios exentos y los excluidos de pago de IPU.
3. El resultado del cálculo del recaudo esperado por IPU en cada municipio o distrito se dividirá en el avalúo catastral de los bienes inmuebles que conforman el municipio o distrito, con excepción de los bienes inmuebles exentos o excluidos del IPU y los resguardos indígenas. De esta manera se obtendrá el promedio ponderado, equivalente a la tarifa nominal promedio para aplicarla en el IPU a liquidar en cada municipio o distrito donde existan resguardos indígenas debidamente constituidos. Así las cosas, la compensación que debe hacer la Nación, en cumplimiento del artículo 184 de la Ley 223 de 1995 y en favor de los municipios y distritos con resguardos indígenas, equivaldrán a la multiplicación de la tarifa nominal promedio por el avalúo catastral de cada resguardo en el municipio o distrito respectivo.
4. En los casos donde el resguardo indígena ocupe área en más de un municipio y distrito, en cada uno de ellos la tarifa se establecerá de acuerdo con el procedimiento antes señalado. En consecuencia, la tarifa puede ser diferente de un municipio o distrito a otro donde el resguardo tenga presencia.
Fórmulas matemáticas:
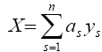
Para ejecutar la metodología que describe esta resolución se plantea la expresión tarifa _resguardo, que representa la ecuación del promedio ponderado de las tarifas del IPU del municipio o distrito a calcular, cuyo resultado será el valor a multiplicar por los avalúos catastrales de los resguardos indígenas existentes.
![]()
Donde:
| X: | Recaudo esperado del IPU para la vigencia fiscal. |
| A: | Avalúo total municipal o distrital excluyendo el avalúo de resguardos indígenas legalmente constituidos y el avalúo catastral de los predios exentos o excluidos. |
El numerador de la expresión (X) se calcula como la sumatoria de los recaudos esperados del IPU de conformidad con las tarifas especificadas en el acuerdo municipal o distrital para la respectiva vigencia fiscal.

Donde:
| s: | Designa las diferentes tarifas para el cobro del IPU, definidas para el municipio o distrito: |
s = 1, 2, 3,…, n
| as: | Avalúo catastral de todos los predios pertenecientes a la tarifaria s. |
| ys: | Cada tarifa de IPU. |
El denominador de la expresión (A) está dado por la siguiente resta:
A =At – Ari – Aex
| At: | Avalúo catastral total del municipio o distrito. |
| Ari: | Avalúo catastral de los resguardos indígenas. |
| Aex: | Avalúo catastral de los predios exentos o excluidos de pago del IPU. |
ARTÍCULO 2o. Para contribuir con la adecuada implementación de la metodología antes descrita, la Nación, los municipios y distritos con resguardos indígenas, desarrollarán mecanismos de control y validación de la información para asegurar con precisión el cálculo de la tarifa que debe aplicarse.
ARTÍCULO 3o. La presente resolución rige a partir de la fecha de publicación en el Diario Oficial.
Publíquese y cúmplase.
Dada en Bogotá, D.C., a 15 de junio de 2012.
La Directora General (e),
MERCEDES VÁSQUEZ DE GÓMEZ.