RESOLUCIÓN 40125 DE 2022
(abril 6)
Diario Oficial No. 52.012 de 21 de abril de 2022
MINISTERIO DE MINAS YENERGÍA
Por la cual se aplica la metodología de fórmula adoptada por la Comisión Rectora del Sistema General de Regalías para incentivar la producción de recursos naturales no renovables y el transporte marítimo y fluvial de estos recursos y sus derivados y establece la asignación y distribución parcial para el bienio 2021-2022.
EL MINISTRO DE MINAS Y ENERGÍA,
en uso de las facultades legales, en especial las conferidas en los numerales 4 y 8 del artículo 2o, numeral 8 del literal A del artículo 7o de la Ley 2056 de 2020, el parágrafo 1 del artículo 6o de la Ley 2072 de 2020 y el artículo 1.2.8.1.1. del Decreto número 1821 de 2020, y
CONSIDERANDO:
Que el 26 de diciembre de 2019 fue sancionado el Acto Legislativo 05, por el cual se modifica el artículo 361 de la Constitución Política y se dictan otras disposiciones sobre el régimen de regalías y compensaciones.
Que el parágrafo 7 transitorio del artículo 361 de la Constitución Política señaló que “Un 7% de los ingresos del Sistema General de Regalías se destinarán a una asignación para la Paz que tendrá como objeto financiar proyectos de inversión para la implementación del Acuerdo Final para la Terminación del Conflicto y la Construcción de una Paz Estable y Duradera, incluyendo la financiación de proyectos destinados a la reparación de víctimas. Igual destinación tendrá el 70% de los ingresos que por rendimientos financieros genere el Sistema General de Regalías en estos años, con excepción de los generados por las asignaciones directas de que trata el inciso segundo del presente artículo. El 30% restante se destinará para incentivar la producción de municipios, en cuyos territorios se exploten los recursos naturales no renovables y a los municipios y distritos con puertos marítimos y fluviales por donde se transporten dichos recursos o derivados de los mismos”.
Que en desarrollo del Acto Legislativo 05 de 2019, el 30 de septiembre de 2020 fue expedida la Ley 2056 de 2020, por la cual se regula la organización y el funcionamiento del Sistema General de Regalías.
Que de conformidad con lo establecido en los numerales 4 y 8 del artículo 2o de la Ley 2056 de 2020, hacen parte de los fines y objetivos del Sistema General de Regalías (SGR) o Sistema-: “Fomentar la estructuración de proyectos que promuevan el desarrollo y la formalización de la producción minero-energética, en particular la minería pequeña, mediana y artesanal” e “Incentivar o propiciar la inversión prioritariamente en la restauración social y económica de los territorios donde se desarrollen actividades de exploración y explotación de recursos naturales no renovables, así como en la protección y recuperación ambiental, sin perjuicio de la responsabilidad ambiental que le asiste a las empresas que adelanten dichas actividades, en virtud de la cual deben adelantar acciones de conservación y recuperación ambiental en los territorios en los que se lleven a cabo tales actividades”.
Que el artículo 4o de la Ley 2056 de 2020 estableció que la Comisión Rectora del SGR es el órgano encargado de dictar, mediante acuerdos, las regulaciones y lineamientos de carácter administrativo orientadas a asegurar el adecuado funcionamiento del Sistema.
Que el numeral 11 del artículo 5o de la Ley 2056 de 2020 indicó como función de la Comisión Rectora del SGR “Adoptar las metodologías que presente el Ministerio de Minas y Energía para la distribución y asignación de los recursos que se destinen para incentivar la producción de las entidades en cuyo territorio se exploten o se prevean explotar recursos naturales no renovables”.
Que el numeral 8, literal A del artículo 7o de la Ley 2056 de 2020 señaló que el Ministerio de Minas y Energía será el encargado de “Establecer la metodología de distribución y asignación de recursos para las entidades territoriales de los recursos que del Sistema General de Regalías se destinen para incentivar la producción y formalización en las entidades cuyos territorios se exploten o se prevean explotar recursos naturales no renovables”.
Que el parágrafo transitorio del artículo 22 de la Ley 2056 de 2020 estableció que durante los 20 años siguientes a la entrada en vigencia del Acto Legislativo 04 de 2017, el 30% de los rendimientos financieros “Se destinará para incentivar la producción de municipios en cuyos territorios se exploten los recursos naturales no renovables y a los municipios y distritos con puertos marítimos y fluviales por donde se transporten dichos recursos o derivados de los mismos”.
Que el artículo 28 de la mencionada Ley señala que “Con los recursos del Sistema General de Regalías se podrán financiar proyectos de inversión en sus diferentes etapas, siempre y cuando esté definido en los mismos el horizonte de realización. Igualmente, se podrán financiar estudios y diseños como parte de los proyectos de inversión, que deberán contener la estimación de los costos del proyecto en cada una de sus fases subsiguientes, con el fin de que se pueda garantizar la financiación de estas. (…)”. Lo anterior de conformidad con la metodología para la formulación de los proyectos de inversión establecida por el Departamento Nacional de Planeación. En todo caso, no podrán financiarse gastos permanentes (…)”.
Que con el objetivo de compilar y racionalizar las normas de carácter reglamentario que rigen el SGR, se expidió el Decreto Único Reglamentario del SGR 1821 de 2020, el cual contiene entre otras cosas, en el Capítulo 1 del Título 8 de la Parte 2 lo correspondiente a las metodologías y asignación de los recursos del incentivo a la exploración, producción y formalización.
Que los artículos 1.2.8.1.1. y 1.2.8.1.2. del mencionado decreto indicaron los criterios para que el Ministerio de Minas y Energía establezca las metodologías de distribución y asignación de los recursos del incentivo a la exploración, producción y formalización, según corresponda, así como, las condiciones para su adopción por parte de la Comisión Rectora del SGR.
Que el artículo 6o de la Ley 2072 de 2020, por la cual se decreta el presupuesto del Sistema General de Regalías para el bienio del 1 de enero de 2021 al 31 de diciembre de 2022, incorporó al presupuesto de ingresos del SGR los montos correspondientes a los rendimientos financieros que se generaron al 30 de agosto de 2020 en la cuenta única del Sistema General de Regalías, destinando en el numeral 2 la suma de cuatrocientos setenta y nueve mil trescientos cuarenta y tres millones quinientos sesenta y nueve mil cuarenta y un pesos ($479.343.569.041) moneda corriente, para “INCENTIVO A LA PRODUCCIÓN - ACTO LEGISLATIVO 04 DE 2017”.
Que la Agencia Nacional de Minería (ANM) certificó mediante oficio con radicado 1-2020-053111 del 18 de noviembre de 2020 la información de municipios donde se explotan minerales y de municipios o distritos portuarios por donde se transportaron minerales y certificó que a dichos municipios se les proyectó ingresos de asignaciones directas para el presupuesto del Sistema General de Regalías bienio 2021-2022.
Que adicionalmente, a través de correo electrónico con radicado 1-2021-013085 del 13 de abril de 2021 la ANM dio alcance a la información relacionada en el considerando anterior, con la cual se aplicó la metodología para los municipios donde se explotan minerales y para los municipios y distritos con puertos marítimos y fluviales por donde se transportan estos recursos o derivados de los mismos.
Que la Agencia Nacional de Hidrocarburos (ANH) certificó mediante oficio con radicado 1-2020-052906 del 17 de noviembre de 2020, “Los municipios que registran explotación de hidrocarburos y que, conforme a la proyección de producción, se les realizó pronóstico de asignaciones directas para el presupuesto del bienio 2021-2022”. Adicionalmente informó “[L]os municipios y distritos a los cuales, con la información de la que se dispone, se les ha venido adelantando distribución de participación en regalías por el transporte de hidrocarburos en puertos marítimos y fluviales del país y a quienes se les realizó pronóstico de asignaciones directas para el presupuesto del bienio 2021-2022”.
Que el 16 de febrero de 2021 el Ministerio de Minas y Energía expidió la Resolución 40043, por la cual se establecen los objetivos y fines del incentivo a la exploración, producción y formalización y se definen los pasos para su acceso.
Que una vez surtidas las sesiones 81 del 5 de abril de 2021 y 83 del 12 de octubre de 2021, la Comisión Rectora del SGR adoptó en el Acuerdo Único del Sistema General de Regalías. las metodologías para la distribución y asignación del incentivo a la producción del 30% de los rendimientos financieros del SGR destinados a los municipios en cuyos territorios se exploten recursos naturales no renovables y a los municipios y distritos con puertos marítimos y fluviales por donde se transporten dichos recursos o derivados de los mismos.
Que con base en lo anterior, el Ministerio de Minas y Energía expidió la Resolución número 40124 del 21 de abril de 2021, a través de la cual aplicó la metodología para incentivar la producción de recursos naturales no renovables y el transporte marítimo y fluvial de estos recursos y sus derivados y se asignaron recursos al Archipiélago de San Andrés, Providencia y Santa Catalina, estableciendo la primera distribución y asignación parcial de los recursos del incentivo a la producción por la suma de doscientos noventa y siete mil ciento noventa y tres millones doce mil ochocientos seis pesos ($297.193.012.806) moneda corriente, para el bienio 2021-2022, determinándose como beneficiarios a 212 municipios.
Que de conformidad con lo señalado en el inciso segundo del numeral 5.2 del Anexo 5 del Acuerdo Único de la Comisión Rectora, para la aplicación de la metodología de “Convocatoria pública y competitiva para la distribución y asignación de los recursos del incentivo a la producción”, el Ministerio de Minas y Energía dispondrá del 20% de los recursos de los rendimientos financieros incorporados mediante la Ley 2072 de 2020 destinados a incentivar la producción, que corresponde a la suma de noventa y cinco mil ochocientos sesenta y ocho millones setecientos trece mil ochocientos pesos ($95.868.713.800) moneda corriente.
Que como consecuencia de lo señalado y en cumplimiento de lo dispuesto en el numeral 5.1 del Anexo 5 del Acuerdo Único de la Comisión Rectora, para la aplicación de la metodología de “Fórmula que desarrolle los criterios de distribución y establezca el valor del incentivo a asignar a los municipios beneficiarios”, el Ministerio de Minas y Energía podrá distribuir y asignar el valor restante de los recursos incorporados en la Ley 2072 de 2020 para incentivar la producción, que corresponde a la suma de ochenta y seis millones doscientos ochenta y un millones ochocientos cuarenta y dos mil cuatrocientos treinta y cinco pesos ($86.281.842.435) moneda corriente.
Que con base en las metodologías adoptadas por la Comisión Rectora del Sistema General de Regalías, a través del presente acto administrativo se aplicará la metodología de la fórmula para incentivar la producción de recursos naturales no renovables y el transporte marítimo y fluvial de estos recursos y sus derivados y establecerá la asignación y distribución parcial para el bienio 2021-2022.
Que en cumplimento de lo establecido en el artículo 8o de la Ley 1437 de 2011, en concordancia con lo previsto en la Resolución 40310 del 20 de abril de 2017, el texto del presente acto administrativo se publicó en la página web del Ministerio de Minas y Energía para comentarios de los interesados.
Que, con fundamento en lo anterior,
RESUELVE:
ARTÍCULO 1o. OBJETO. Aplicar la metodología de la “Fórmula que desarrolle los criterios de distribución y establezca el valor del incentivo a asignar a los municipios beneficiarios” para la distribución parcial de los recursos del incentivo a la producción, de conformidad con lo dispuesto en el numeral 5.1 del Anexo 5 del Acuerdo Único de la Comisión Rectora del Sistema General de Regalías.
ARTÍCULO 2o. CRITERIOS DE LA METODOLOGÍA ADOPTADA POR LA COMISIÓN RECTORA PARA LA DISTRIBUCIÓN Y ASIGNACIÓN. Para la distribución y asignación de los recursos de los que trata la presente resolución se desarrollan los siguientes criterios de la metodología adoptada por la Comisión Rectora del Sistema General de Regalías: (i) Participación en el presupuesto de asignaciones directas para el bienio correspondiente, (ii) fortalecimiento institucional y de la economía legal, (iii) zonas más afectadas por el conflicto armado, (iv) necesidades básicas insatisfechas y (v) buen desempeño en la aprobación de los recursos del incentivo a la producción.
ARTÍCULO 3o. PROYECTOS DE INVERSIÓN. Las entidades territoriales beneficiarias podrán presentar cualquier tipo de proyecto de inversión susceptible de ser financiado con recursos del Sistema General de Regalías, siempre que se enmarque en alguno de los siguientes objetivos y fines:
a) Restauración social.
b) Restauración económica.
c) Protección y recuperación ambiental.
d) Formalización de la producción minera.
ARTÍCULO 4o. PRODUCCIÓN A INCENTIVAR. Incentivar con los recursos asignados en la presente resolución a los municipios en donde se explotan crudo, carbón, gas, metales preciosos y níquel, teniendo en cuenta que en las proyecciones de ingresos de regalías para el bienio 2021-2022 aportados por la Agencia Nacional de Minería y la Agencia Nacional de Hidrocarburos, estos representan el 99,7% de los ingresos corrientes del Sistema General de Regalías, de conformidad con la información presentada en la exposición de motivos del proyecto de Ley 2072 de 2020 para el bienio 2021-2022 de acuerdo con lo siguiente:
| Tipo de recurso natural no renovable | Presupuesto de regalías por RNNR en 2021-2022 (en MM) | Participación |
| Crudo | 11.119 | 72% |
| Carbón | 2.194 | 14% |
| Gas | 1.171 | 8% |
| Metales Preciosos | 568 | 4% |
| Níquel | 330 | 2% |
| Subtotal | 15.381 | 99,7% |
| Otros recursos naturales no renovables | 46 | 0,3% |
| Total Regalías | 15.428 | 100% |
ARTÍCULO 5o. RECURSOS ASIGNADOS AL INCENTIVO A LA PRODUCCIÓN. De los recursos del 30% de rendimientos financieros asignados en la Ley 2072 de 2020 para incentivar la producción, mediante el presente acto administrativo se distribuirá el dieciocho por ciento (18%) correspondiente a la suma de ochenta y seis mil doscientos ochenta y un millones ochocientos cuarenta y dos mil cuatrocientos treinta y cinco pesos ($86.281.842.435) moneda corriente.
ARTÍCULO 6o. ENTIDADES TERRITORIALES BENEFICIARIAS DEL INCENTIVO. Para la asignación del incentivo a la producción, se consideran como beneficiarias las entidades territoriales que cumplan con las siguientes condiciones:
a) Municipios donde se exploten recursos naturales no renovables: los cuales se acreditan conforme con las certificaciones emitidas por la Agencia Nacional de Hidrocarburos y la Agencia Nacional de Minería, o quien haga sus veces, según corresponda, en las que se especifican los municipios donde se exploten recursos naturales no renovables de crudo, gas, carbón, níquel y metales preciosos para el bienio 2021-2022; y que su participación en el presupuesto de asignaciones directas dentro de los municipios certificados sea igual o mayor al 0.02% de la sumatoria de las proyecciones de asignaciones directas que recibirán los municipios donde se exploten recursos naturales no renovables, de conformidad con lo dispuesto en la nota al pie 15 del Anexo 05 del Acuerdo Único del SGR.
b) Municipios y distritos con puertos marítimos y fluviales por donde se transportan los recursos naturales no renovables o derivados de los mismos, los cuales se acreditan conforme con las certificaciones emitidas por la Agencia Nacional de Hidrocarburos y la Agencia Nacional de Minería, o quien haga sus veces, según corresponda.
ARTÍCULO 7o. DISTRIBUCIÓN DE LA ASIGNACIÓN DE LOS RECURSOS A LAS ENTIDADES TERRITORIALES BENEFICIADAS. El valor del incentivo a la producción para las entidades territoriales beneficiarias se determinará de acuerdo con lo establecido en el Anexo 5 del Acuerdo Único de la Comisión Rectora del SGR y lo descrito a continuación:
Los recursos a que se refiere el artículo 5 de la presente resolución, se destinarán un 90% para incentivar la producción en los municipios en cuyos territorios se exploten los recursos naturales no renovables y un 10% para los municipios y distritos con puertos marítimos y fluviales por donde se transportan estos recursos o derivados de los mismos.
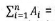
Para tal efecto, el valor del incentivo se establecerá con base en la siguiente fórmula y se aplicará según corresponda a los municipios donde se exploten recursos naturales no renovables o a los municipios y distritos con puertos marítimos y fluviales por donde se transportan los recursos naturales no renovables o derivados de los mismos:
![]()
Las siguientes variables se desarrollarán sobre el 90% de los recursos a distribuir:
Ii = Valor del incentivo para el municipio productor o municipio o distrito con puertos marítimos y fluviales por donde se transportan los recursos naturales no renovables o derivados de los mismos, según corresponda.
Mf = Monto de los recursos a distribuir con el objeto de asignar un valor que permita que los municipios y distritos beneficiarios del incentivo presenten y aprueben proyectos de inversión que se enmarquen en la restauración social y económica, la protección y recuperación ambiental y la formalización de la producción minera, con los cuales se fortalecerá su capacidad institucional en el ciclo de los proyectos de inversión, así como la promoción de economías legales. Para el caso de esta metodología corresponde al 20% del valor a distribuir.
n = Número de municipios o municipios y distritos beneficiarios, según corresponda.
i = Municipio productor de crudo, gas, carbón, níquel o metales preciosos o municipio o distrito con puerto marítimo y fluvial por donde se transportan los recursos naturales no renovables o derivados de los mismos, certificado por la Agencia Nacional de Hidrocarburos o la Agencia Nacional de Minería, o quien haga sus veces, según corresponda.
Ai = Proyección de ingresos de las Asignaciones Directas para el bienio 2021-2022 del municipio productor (i) o del municipio o distrito (i) con puertos marítimos y fluviales por donde se transportan los recursos naturales no renovables o derivados de los mismos, certificada por la Agencia Nacional de Hidrocarburos y la Agencia Nacional de Minería, o quien haga sus veces, según corresponda.
Sumatoria de las proyecciones de ingresos de las asignaciones directas para los municipios donde se exploten recursos naturales no renovables (i) a los municipios o distritos (i) con puertos maritimos y fluviales por donde se transportan los recursos naturales no renovables o derivados de los mismos, para el benio 2021-2022
Mv = Monto de los recursos que se distribuira de acuerdo con la participacion de las Asignaciones Directas del municipio o distrito beneficiario sobre la sumatoria e la proyección de Asignaciones Directas del total de municipios a beneficiar. Para el caso de esta metodologia corresponde al 70% del valor a distribuir.
Mz = Monto de los recursos a distribuir que se asignara en partes iguales entre aquellos municipios mas afectados por el conflicto armado que fueron definidos en el Decreto 1650 de 2017 o el Decreto Ley 893 de 2017. Para el caso de esta metodologia es el 5% del valor a distribuir.
m = Numero de municipios beneficiarios y que son considerados ZOMAC o PDET definidos en el Decreto 1650 de 2017 o el Decreto Ley 893 de 2017, respectivamente.
Zi = Variables que toma el valor de uno (1) si el municipio i se encuentra dentro del listado de municipios ZOMAC o PDET. En caso de no encontrarse en dicho listado, la variable toma un valor de cero (0)
NBIt = Indicador de Necesidades Basicas Insatisfecha (NBI) del municipio o distrito i conforme al "Indice de Necesidades Basicas Insatisfechas -NBI total, cabecera, centros poblados y rural disperso, a nivel municipal" del DANE del 2018 sobre pobreza igual o superior a la media nacional que para efectos de esta metodologiqa corresponde al 14,28.
Sumatoria de los indicadores de Necesidades Basicas Insatisfechas (NBI) calculados por el DANE de todos los municipios definidos como beneficiarios.
MNBI = Monto de los recursos a distribuir de forma proporcional con el "Indice de Necesidades Basicas Insatisfechas -NBI total, cabecera, centros poblados y rural disperso, a nivel municipal". Para el caso de esta metodologia corresponde al 5% del valor a distribuir
La siguiente variable se desarrollara sobre el 10% de los recursos a distribuir
P = Monto de los recursos a distribuir en partes iguales, de acuerdo con el nivel de aprobacion de proyetos de inversion con cargo a los recursos del incentivo a la produccion, calculada de la siguiente forma:
![]()
Donde:
a. Para municipios donde se exploten recursos naturales no renovables:
e = Municipio beneficiario del incentivo en vigencias anteriores con buen desempeño, el cual se medira por el porcentaje de aprobacion acumulada de proyectos con cargo a estos recursos al cierre del bienio anterior a la distribucion y asignacion. Para el efecto de la presente metodologia, corresponde en un porcentaje igual o superior al 74% al cierre de 2020
Pe = Monto adicional a distribuir a los municipios donde se exploten recursos naturales no renovables por buen desempeño medido por la aprobacion de proyectos en un porcentaje igual o superior al 74% al cierre de 2020
Numero de municipios beneficiarios del incentivo a la produccion con buen desempeño, el cual se medira por el porcentaje de aprobacion acumulada de proyectos con cargo a estos recursos al cierre del bienio anterior a la distribucion y asignacion. Para el efecto de la presente metodologia, corresponde en un porcentaje igual o superior al 74% al cierre de 2020.
b. Para municipios y distritos con puertos maritimos y fluviales por donde se transportan los recursos naturales no renovables o derivados de los mismos, para los cuales se aplicara la misma formula que para los municipios donde se exploten recursos naturales no renovables, con las siguientes modificaciones en las variables:
e = Municipios o distritos con puertos maritimos y fluviales por donde se transportan los recursos naturales no renovables o derivados de los mismos, beneficiarios del incentivo a la produccion en vigencias anteriores con buen desempeño, el cual se medira por la aprobacion parcial o total de los recursos asignados por este concepto.
Pe = Monto adicional a distribuir a los municipios o distritos con puertos maritimos y fluviales por donde se transportan los recursos naturales no renovables o derivados de los mismos, beneficiarios del incentivo a la produccion en vigencias anteriores con buen desempeño, el cual se medira por la aprobacion parcial o total de los recursos asignados por este concepto.
Sumatoria del numero de municipios o distritos con puertos maritimos y fluviales por donde se transportan los recursos naturales no renovables o derivados de los mismos, beneficiarios del incentivo a la produccion en vigencias anteriores con buen desempeño, el cual se medira por la aprobacion parcial o total de los recursos asignados por este concepto.
PARÁGRAFO. El valor asignado que le corresponde a cada entidad territorial beneficiaria del incentivo a la producción una vez aplicada la fórmula se establece en el Anexo 1 para los municipios donde se exploten recursos naturales no renovables y en el Anexo 2 para los municipios y distritos con puertos marítimos y fluviales por donde se transportan los recursos naturales no renovables o derivados de los mismos, de esta resolución, los cuales hacen parte integral de la misma.
ARTÍCULO 8o. COMUNICACIÓN DE RECURSOS ASIGNADOS. Una vez expedida la presente resolución, el Grupo de Ejecución Estratégica del Sector Extractivo (GEESE) del Ministerio de Minas y Energía, o quien haga sus veces, comunicará mediante oficio a cada entidad territorial beneficiaria del incentivo a la producción el monto de los recursos asignados. De la misma manera, el GEESE informará al Departamento Nacional de Planeación (DNP) para que este comunique al Ministerio de Hacienda y Crédito Público (MHCP), la instrucción de abono a cuenta de estos recursos de conformidad con la normativa vigente.
ARTÍCULO 9o. PROCEDIMIENTO PARA EL ACCESO A LOS RECURSOS. El procedimiento para acceder a los recursos del incentivo a la producción de los que trata la presente resolución, por parte de las entidades territoriales beneficiarias corresponderá al establecido en el artículo 2o de la Resolución número 40043 de 2021 expedida por el Ministerio de Minas y Energía o la norma que la modifique, sustituya o derogue.
ARTÍCULO 10. REDISTRIBUCIÓN DE LOS RECURSOS. En el evento en que a 31 de marzo de 2023 la entidad territorial beneficiaria cuente con recursos que no se encuentren respaldando algún tipo de proyecto de inversión, el Ministerio de Minas y Energía podrá redistribuir los recursos mediante la expedición de un acto administrativo.
ARTÍCULO 11. SEGUIMIENTO, EVALUACIÓN Y CONTROL. Los proyectos de inversión financiados con los recursos del incentivo a la producción establecidos en la presente resolución están sujetos al sistema de Seguimiento, Evaluación y Control del Sistema General de Regalías.
ARTÍCULO 12. PUBLICIDAD. Atendiendo los principios de transparencia y participación ciudadana, las entidades territoriales beneficiarias de los recursos del incentivo a la producción deberán incluir en las piezas publicitarias y de comunicación que los recursos corresponden a “Incentivo a la Producción del Sistema General de Regalías”. Para los proyectos que se ejecuten en un espacio físico, deberán adicionalmente a instalar una valla informativa con el alcance del proyecto y el mencionado sello.
ARTÍCULO 13. NORMAS APLICABLES. Las demás disposiciones relativas a los proyectos de inversión que no se encuentren regladas en la presente resolución estarán sujetas a las normas que regulan el Sistema General de Regalías.
ARTÍCULO 14. VIGENCIA. La presente resolución rige a partir de la fecha de su publicación en el Diario Oficial.
Publíquese, comuníquese y cúmplase.
Dada en Bogotá, D. C., a 6 de abril de 2022.
El Ministro de Minas y Energía,
Diego Mesa Puyo.
VALOR ASIGNADO A CADA MUNICIPIO PRODUCTOR BENEFICIARIO DEL INCENTIVO A LA PRODUCCIÓN LUEGO DE APLICAR LA FÓRMULA PREVISTA EN EL ARTÍCULO 7 DE LA PRESENTE RESOLUCIÓN.
| Código DANE | Beneficiario | Asignación |
| Antioquia | ||
| 5031 | Amalfi | $194.615.320 |
| 5107 | Briceño | $164.598.338 |
| 5113 | Buriticá | $145.395.397 |
| 5120 | Cáceres | $283.101.517 |
| 5154 | Caucasia | $261.859.270 |
| 5250 | El Bagre | $509.331.565 |
| 5480 | Mutatá | $184.460.980 |
| 5495 | Nechí | $294.927.455 |
| 5579 | Puerto Berrío | $219.691.424 |
| 5585 | Puerto Nare | $523.883.726 |
| 5591 | Puerto Triunfo | $456.238.968 |
| 5604 | Remedios | $287.915.146 |
| 5670 | San Roque | $132.967.333 |
| 5686 | Santa Rosa de Osos | $107.759.087 |
| 5736 | Segovia | $239.627.482 |
| 5756 | Sonsón | $146.011.455 |
| 5790 | Tarazá | $203.840.431 |
| 5858 | Vegachi | $164.818.008 |
| 5893 | Yondó | $778.858.355 |
| 5895 | Zaragoza | $382.477.904 |
| Atlántico | ||
| 8638 | Sabanalarga | $132.012.046 |
| Bolívar | ||
| 13042 | Arenal | $220.523.307 |
| 13074 | Barranco de Loba | $155.682.512 |
| Código DANE | Beneficiario | Asignación |
| 13160 | Cantagallo | $756.450.821 |
| 13188 | Cicuco | $425.558.337 |
| 13458 | Montecristo | $201.166.270 |
| 13473 | Morales | $203.368.724 |
| 13490 | Norosí | $220.292.927 |
| 13600 | Río Viejo | $194.702.163 |
| 13667 | San Martín de Loba | $156.513.815 |
| 13744 | Simití | $335.382.440 |
| 13780 | Talaigua Nuevo | $233.132.201 |
| 13810 | Tiquisio | $212.605.015 |
| Boyacá | ||
| 15215 | Corrales | $156.500.997 |
| 15572 | Puerto Boyacá | $881.715.735 |
| 15646 | Samacá | $266.776.109 |
| 15667 | San Luis de Gaceno | $134.300.071 |
| 15755 | Socotá | $121.677.183 |
| 15757 | Socha | $264.337.239 |
| 15820 | Tópaga | $112.452.116 |
| Caldas | ||
| 17442 | Marmato | $327.028.390 |
| 17524 | Palestina | $166.475.525 |
| Cauca | ||
| 19110 | Buenos Aires | $405.086.874 |
| 19318 | Guapi | $300.332.391 |
| 19533 | Piamonte | $387.147.554 |
| 19809 | Timbiquí | $224.392.040 |
| Cesar | ||
| 20011 | Aguachica | $203.494.620 |
| 20013 | Agustín Codazzi | $1.026.149.674 |
| 20045 | Becerril | $2.252.936.990 |
| 20178 | Chiriguaná | $683.118.471 |
| 20250 | El Paso | $396.894.287 |
| 20295 | Gamarra | $120.151.719 |
| 20400 | La Jagua de Ibirico | $2.931.803.853 |
| 20614 | Río de Oro | $176.970.391 |
| 20710 | San Alberto | $108.294.201 |
| 20770 | San Martín | $1.001.849.583 |
| Córdoba | ||
| 23466 | Montelíbano | $703.367.631 |
| 23570 | Pueblo Nuevo | $596.616.265 |
| 23580 | Puerto Libertador | $647.516.936 |
| 23660 | Sahagún | $277.701.313 |
| Cundinamarca | ||
| 25224 | Cucunubá | $106.878.141 |
| 25317 | Guachetá | $103.828.814 |
| 25407 | Lenguazaque | $102.646.117 |
| 25580 | Pulí | $147.416.249 |
| 25781 | Sutatausa | $102.371.815 |
| Chocó | ||
| 27001 | Quibdó | $302.462.354 |
| 27050 | Atrato | $154.273.877 |
| 27073 | Bagadó | $332.788.173 |
| 27160 | Cértegui | $145.457.862 |
| 27205 | Condoto | $331.587.007 |
| 27245 | El Carmen de Atrato | $208.429.425 |
| 27361 | Istmina | $456.511.472 |
| 27413 | Lloró | $179.931.926 |
| 27425 | Medio Atrato | $196.336.114 |
| 27491 | Nóvita | $215.119.340 |
| 27600 | Río Quito | $162.439.483 |
| 27787 | Tadó | $263.131.522 |
| Huila | ||
| 41001 | Neiva | $958.487.561 |
| 41016 | Aipe | $733.466.746 |
| 41078 | Baraya | $326.694.102 |
| 41298 | Garzón | $176.510.693 |
| 41306 | Gigante | $103.458.440 |
| 41518 | Paicol | $143.898.557 |
| 41524 | Palermo | $656.123.118 |
| 41615 | Rivera | $104.068.379 |
| 41797 | Tesalia | $114.687.775 |
| 41885 | Yaguará | $253.443.021 |
| La Guajira | ||
| 44001 | Riohacha | $444.434.627 |
| 44035 | Albania | $930.720.635 |
| 44078 | Barrancas | $1.080.871.319 |
| 44090 | Dibulla | $205.133.673 |
| Código DANE | Beneficiario | Asignación |
| 44378 | Hatonuevo | $329.019.465 |
| 44430 | Maicao | $235.381.133 |
| 44560 | Manaure | $701.587.527 |
| 44847 | Uribia | $513.570.977 |
| Magdalena | ||
| 47058 | Ariguaní | $195.227.542 |
| Meta | ||
| 50001 | Villavicencio | $580.604.021 |
| 50006 | Acacías | $3.226.355.823 |
| 50124 | Cabuyaro | $488.278.688 |
| 50150 | Castilla la Nueva | $1.690.154.977 |
| 50318 | Guamal | $614.002.133 |
| 50568 | Puerto Gaitán | $7.562.137.272 |
| 50573 | Puerto López | $196.137.895 |
| Nariño | ||
| 52079 | Barbacoas | $282.339.153 |
| 52250 | El Charco | $202.974.942 |
| 52356 | Ipiales | $148.465.890 |
| 52385 | La Llanada | $158.306.220 |
| 52427 | Magüí | $255.081.189 |
| 52696 | Santa Bárbara | $253.808.590 |
| Norte de Santander | ||
| 54001 | Cúcuta | $407.463.295 |
| 54720 | Sardinata | $175.897.788 |
| 54810 | Tibú | $503.739.516 |
| Risaralda | ||
| 66594 | Quinchía | $156.392.259 |
| Santander | ||
| 68081 | Barrancabermeja | $2.204.664.467 |
| 68190 | Cimitarra | $306.411.572 |
| 68575 | Puerto Wilches | $567.553.647 |
| 68615 | Rionegro | $263.944.019 |
| 68655 | Sabana de Torres | $702.881.775 |
| 68689 | San Vicente de Chucurí | $373.526.512 |
| 68745 | Simacota | $245.073.954 |
| Sucre | ||
| 70400 | La Unión | $222.212.745 |
| 70418 | Los Palmitos | $362.816.456 |
| 70508 | Ovejas | $457.375.086 |
| 70708 | San Marcos | $205.253.936 |
| 70717 | San Pedro | $333.793.916 |
| 70742 | San Luis de Sincé | $339.141.009 |
| Tolima | ||
| 73067 | Ataco | $182.486.239 |
| 73168 | Chaparral | $261.274.207 |
| 73217 | Coyaima | $141.457.957 |
| 73268 | Espinal | $104.212.454 |
| 73411 | Líbano | $104.381.768 |
| 73449 | Melgar | $247.650.725 |
| 73504 | Ortega | $260.050.030 |
| 73547 | Piedras | $438.267.552 |
| 73563 | Prado | $352.952.701 |
| 73585 | Purificación | $497.141.665 |
| Arauca | ||
| 81001 | Arauca | $1.261.176.770 |
| 81065 | Arauquita | $623.299.225 |
| 81794 | Tame | $279.340.299 |
| Casanare | ||
| 85001 | Yopal | $1.792.662.659 |
| 85010 | Aguazul | $1.458.012.046 |
| 85139 | Maní | $681.897.016 |
| 85162 | Monterrey | $158.381.907 |
| 85230 | Orocué | $618.232.818 |
| 85250 | Paz de Ariporo | $484.454.619 |
| 85263 | Pore | $176.064.815 |
| 85325 | San Luis de Palenque | $505.305.797 |
| 85410 | Tauramena | $2.851.628.835 |
| 85430 | Trinidad | $251.342.077 |
| 85440 | Villanueva | $1.714.537.319 |
| Putumayo | ||
| 86001 | Mocoa | $280.033.454 |
| 86320 | Orito | $543.452.914 |
| 86568 | Puerto Asís | $531.684.776 |
| 86569 | Puerto Caicedo | $164.891.562 |
| 86757 | San Miguel | $537.254.265 |
| 86865 | Valle del Guamuez | $417.875.361 |
| 86885 | Villagarzón | $522.212.736 |
| Total General | $77.653.658.191 | |
VALOR ASIGNADO A CADA MUNICIPIO Y DISTRITO CON PUERTOS MARÍTIMOS Y FLUVIALES POR DONDE SE TRANSPORTA LOS RECURSOS NO RENOVABLES O DERIVADOS DE LOS MISMOS, BENEFICIARIO DEL INCENTIVO A LA PRODUCCIÓN LUEGO DE APLICAR LA FÓRMULA PREVISTA EN EL ARTÍCULO 7 DE LA PRESENTE RESOLUCIÓN.
| Código DANE | Beneficiario | Asignación |
| Antioquia | ||
| 5837 | Turbo | $123.334.817 |
| Atlántico | ||
| 8001 | Barranquilla | $165.918.236 |
| Bolívar | ||
| 13001 | Cartagena | $392.933.421 |
| 13670 | San Pablo | $124.801.480 |
| Córdoba | ||
| 23001 | Montería | $107.665.682 |
| 23068 | Ayapel | $154.064.088 |
| 23079 | Buenavista | $128.414.820 |
| 23090 | Canalete | $174.578.108 |
| 23162 | Cereté | $108.499.488 |
| 23168 | Chimá | $110.668.650 |
| 23182 | Chinú | $108.469.881 |
| 23189 | Ciénaga de Oro | $110.557.200 |
| 23300 | Cotorra | $108.330.641 |
| 23350 | La Apartada | $126.643.484 |
| 23417 | Lorica | $109.910.654 |
| 23419 | Los Córdobas | $183.903.182 |
| 23464 | Momil | $108.751.204 |
| 23500 | Moñitos | $183.482.174 |
| 23555 | Planeta Rica | $137.470.567 |
| 23574 | Puerto Escondido | $126.890.174 |
| 23580 | Puerto Libertador | $253.140.560 |
| 23586 | Purísima | $110.356.980 |
| 23670 | San Andrés Sotavento | $116.579.994 |
| 23672 | San Antero | $203.987.129 |
| 23675 | San Bernardo del Viento | $178.987.474 |
| 23678 | San Carlos | $110.794.645 |
| 23682 | San José de Uré | $209.179.867 |
| 23686 | San Pelayo | $168.064.427 |
| 23807 | Tierralta | $194.134.236 |
| 23815 | Tuchín | $117.500.177 |
| 23855 | Valencia | $194.120.944 |
| La Guajira | ||
| 44001 | Riohacha | $207.102.351 |
| 44847 | Uribia | $189.022.791 |
| Magdalena | ||
| 47001 | Santa Marta | $122.634.180 |
| 47189 | Ciénaga | $316.656.760 |
| Nariño | ||
| 52835 | San Andrés de Tumaco | $147.075.209 |
| Sucre | ||
| 70001 | Sincelejo | $151.563.137 |
| 70110 | Buenavista | $106.066.342 |
| 70124 | Caimito | $106.021.919 |
| 70204 | Coloso | $191.118.133 |
| 70215 | Corozal | $114.211.399 |
| 70221 | Coveñas | $171.729.107 |
| 70230 | Chalán | $131.919.510 |
| 70233 | El Roble | $105.766.760 |
| 70235 | Galeras | $105.998.249 |
| 70265 | Guaranda | $111.724.150 |
| 70429 | Majagual | $116.942.804 |
| 70473 | Morroa | $185.933.473 |
| 70523 | Palmito | $130.656.521 |
| 70670 | Sampués | $115.672.790 |
| 70678 | San Benito Abad | $111.322.408 |
| 70702 | San Juan de Betulia | $105.309.319 |
| 70713 | San Onofre | $208.698.863 |
| 70771 | Sucre | $114.407.233 |
| 70820 | Santiago de Tolú | $157.293.116 |
| 70823 | Tolú Viejo | $132.243.488 |
| Valle del Cauca | ||
| 76109 | Buenaventura | $121.218.056 |
| Archipiélago de San Andrés y Providencia | ||
| 88001 | San Andrés | $97.741.792 |
| Total General | $8.628.184.244 | |