Buscar search
Índice format_list_bulleted

RESOLUCIÓN 849 DE 2019

(abril 5)

Diario Oficial No. 50.917 de 5 de abril 2019

MINISTERIO DE SALUD Y PROTECCIÓN SOCIAL

Por la cual se establecen los criterios y la metodología con sujeción a los cuales la ADRES podrá realizar a las Instituciones Prestadoras de Servicios de Salud giros previos a surtir la auditoría integral de las reclamaciones que le sean presentadas.

EL MINISTRO DE SALUD Y PROTECCIÓN SOCIAL,

en ejercicio de sus facultades legales y reglamentarias, en especial de las conferidas por el artículo 173 numeral 3 de la Ley 100 de 1993, los artículos 1o, 2o, 3o y 6o del Decreto-ley 4107 de 2011 y en desarrollo del parágrafo 1 del artículo 2.6.4.3.5.2.1 del Decreto número 780 de 2016, y

CONSIDERANDO:

Que el artículo 66 de la Ley 1753 de 2015 creó la Administradora de los Recursos del Sistema General de Seguridad Social en Salud (ADRES), como una Entidad adscrita al Ministerio de Salud y Protección Social, con personería jurídica, autonomía administrativa y financiera y patrimonio independiente, encargada de administrar entre otros, los recursos que venía administrando el Fondo de Solidaridad y Garantía (Fosyga).

Que el Decreto número 780 de 2016, Único Reglamentario del Sector Salud y Protección Social, en el artículo 2.6.4.3.5.2.1 dispone que la cobertura, el reconocimiento y pago de los servicios de salud, indemnizaciones y gastos derivados de accidentes de tránsito, eventos catastróficos de origen natural y eventos terroristas, se regirán por lo dispuesto en el Capítulo 4 del Título 1 de la Parte 6 del Libro 2 del citado decreto.

Que el parágrafo 1 ibídem prevé que la ADRES podrá implementar el mecanismo de pago previo para las reclamaciones que se presenten por primera vez y no tengan resultados de auditoría y que el Ministerio de Salud y Protección Social definirá los criterios técnicos necesarios y la metodología de cálculo del mencionado pago.

Que el artículo 2.6.4.1.3 del Decreto número 780 de 2016, dispone que a la ADRES le corresponde adoptar y desarrollar los procesos y acciones para el adecuado uso, flujo y control de los recursos que administra, en desarrollo de las políticas y regulaciones que establezca este Ministerio.

Que la ADRES manifestó a este Ministerio, que actualmente el proceso de reclamaciones requiere un mecanismo que permita gestionar un giro ágil y eficiente de recursos antes de culminar la auditoría integral respecto de las solicitudes radicadas, similar al aplicable al proceso de recobros, lo que permitiría aliviar las necesidades de flujo de recursos, especialmente de las Instituciones Prestadoras de servicios de Salud (IPS) que con cierta regularidad deben brindar servicios de salud a sus usuarios por concepto de accidentes de tránsito, cuando corresponda, eventos terroristas y eventos catastróficos de origen natural.

Que la Dirección de Financiamiento Sectorial del Ministerio de Salud, analizó técnicamente la necesidad y pertinencia de que se pudiera implementar el giro previo a la auditoría para el trámite de las reclamaciones que se presenten por primera vez, como mecanismo para mejorar el flujo de recursos en el Sistema General de Seguridad Social en Salud (SGSSS).

Que conforme con lo anterior, se hace necesario establecer el procedimiento y metodología para el trámite, pago y giro previo de las reclamaciones por concepto de servicios de salud con cargo a los recursos que administra la ADRES, en aras de garantizar el flujo de recursos del SGSSS, bajo criterios de seguridad y transparencia.

Que de conformidad con los dictados del artículo 209 de la Constitución Política, toda actuación administrativa debe desarrollarse “con fundamento en los principios de igualdad, moralidad, eficacia, economía, celeridad, imparcialidad y publicidad, mediante la descentralización, la delegación y la desconcentración de funciones”.

En mérito de lo expuesto,

RESUELVE:

ARTÍCULO 1o. OBJETO. La presente resolución tiene por objeto establecer los criterios y la metodología con sujeción a los cuales la Administradora de los Recursos del Sistema General de Seguridad Social en Salud (ADRES), podrá realizar, a las Instituciones Prestadoras de Servicios de Salud, giros previos a surtir la auditoría integral de las reclamaciones que le sean presentadas por servicios de salud brindados a sus usuarios derivados de accidentes de tránsito, cuando corresponda a eventos terroristas y eventos catastróficos de origen natural.

ARTÍCULO 2o. CRITERIOS PARA EL GIRO PREVIO DE RECURSOS. La ADRES podrá realizar, a las Instituciones Prestadoras de Servicios de Salud, giros previos a surtir la auditoría integral de las reclamaciones que le sean o le hayan sido presentadas, por servicios de salud brindados a sus usuarios derivados de accidentes de tránsito cuando corresponda a eventos terroristas y eventos catastróficos de origen natural, que no tengan resultado de auditoría definitivo, siempre y cuando se cumplan los siguientes criterios, con sujeción a los principios constitucionales de “igualdad, moralidad, eficacia, economía, celeridad, imparcialidad y publicidad”:

2.1. Que las Instituciones Prestadoras de Servicios de Salud (IPS), objeto del giro previo estén habilitadas en el Registro Especial de Prestadores de Servicios de Salud (REPS).

2.2. Que las Instituciones Prestadoras de Servicios de Salud (IPS), objeto del giro previo, hayan presentado reclamaciones en, por lo menos, dos (2) periodos de radicación de reclamaciones de primera vez, durante los últimos dieciocho (18) periodos de radicación de las mismas, y cuyos paquetes estén certificados y pagados.

2.3. Que las reclamaciones que presenten las IPS y frente a las cuales se realiza el giro previo, correspondan a reclamaciones presentadas por primera vez.

2.4. Que el valor reclamado por evento no exceda los límites máximos contemplados en el Decreto número 780 de 2016, o las disposiciones que lo modifiquen, adicionen o sustituyan.

2.5. Que la reclamación haya sido presentada dentro de los plazos contemplados para ello en las disposiciones vigentes.

2.6. Que como resultado de la validación con las bases de datos de pólizas expedidas y siniestros pagados y del Sistema de Avisos de Siniestros SOAT – SASS, dispuestas por las compañías autorizadas para expedir el SOAT, no se observe existencia de póliza vigente o de pagos cubiertos por dichas aseguradoras con ocasión al mismo evento y a la misma víctima.

PARÁGRAFO 1o. La ADRES publicará, al menos dos (2) veces por año, durante el primer mes de cada semestre, el listado de las IPS que podrían acceder al mecanismo de giro de recursos previo a la auditoría de sus reclamaciones.

De la misma manera la ADRES publicará con una anticipación prudencial, en su página web, los periodos de radicación de las reclamaciones para ser beneficiadas del giro previo.

PARÁGRAFO 2o. La ADRES adoptará los formatos y/o sistemas uniformes a través de los cuales las Instituciones Prestadoras de Salud que pretendan acceder al giro de recursos previo a la auditoría de sus reclamaciones, puedan diligenciar la información y acreditar el cumplimiento de los requisitos que en tales casos se establezcan y los plazos máximos dentro de los cuales podrán presentarse los formatos y/o suministrar las informaciones que se requieran.

PARÁGRAFO 3o. La ADRES no podrá efectuar el giro de recursos previo a la auditoría de la reclamación si la respectiva IPS no cumple alguna de las condiciones requeridas o si incumple alguno de los requisitos establecidos para que pueda acceder a ese mecanismo.

ARTÍCULO 3o. METODOLOGÍA Y CÁLCULO DEL GIRO PREVIO DE RECLAMACIONES. A fin de validar los requisitos de las reclamaciones para el giro previo y para estimar el valor de giro, se efectuarán los cálculos conforme con lo establecido en el Anexo Técnico “Metodología para validación de requisitos y cálculo del valor para giro previo”, que hace parte integral del presente acto administrativo.

La ADRES efectuará el giro previo teniendo en cuenta la identificación de las IPS beneficiarias, el cumplimiento de los requisitos de las reclamaciones y el resultado de la aplicación de la metodología a que se refiere el presente artículo.

PARÁGRAFO. El valor del giro previo no podrá ser menor a 30 UVT calculadas a la fecha del giro previo.

ARTÍCULO 4o. ENTIDADES EXCEPTUADAS DE LA MEDIDA DE GIRO PREVIO. El giro de recursos previo a la auditoría de las reclamaciones, al cual se refieren los criterios que aquí se señalan, no podrá aplicarse a las IPS que se encuentren incursas en medidas de vigilancia especial, intervención o liquidación por parte de las entidades de inspección, vigilancia y control.

ARTÍCULO 5o. REINTEGRO DE RECURSOS. En ningún caso la ADRES podrá renunciar, de manera expresa, tácita o por omisión, al ejercicio de sus facultades y/o a la activación de los mecanismos que resulten legalmente procedentes para obtener de manera efectiva el reintegro o devolución de los valores girados, cuando a ello hubiere lugar, producto del resultado de la correspondiente auditoría.

ARTÍCULO 6o. VIGENCIA. La presente resolución rige a partir de la fecha de su publicación.

Publíquese y cúmplase.

Dada en Bogotá, D. C., a 5 de abril de 2019.

El Ministro de Salud y Protección Social,

Juan Pablo Uribe Restrepo.

ANEXO TÉCNICO.

METODOLOGÍA PARA VALIDACIÓN DE REQUISITOS Y CÁLCULO DEL VALOR PARA GIRO PREVIO.

1. Metodología para validación de los requisitos de las reclamaciones para el giro previo

De las reclamaciones presentadas en el periodo objeto de giro previo, se excluirán aquellas que presenten las siguientes características:

1.1.1. Radicados no válidos

Se excluirán aquellas reclamaciones radicadas como nuevas, cuando producto de la validación se evidencie que ya fueron presentadas con anterioridad y, por lo tanto, cuentan con otro número de radicación. Esta validación se realizará teniendo en cuenta el código de habilitación de la IPS, número de factura y número de documento de la víctima.

1.1.2. Reclamaciones que superen el tope

Se excluirán aquellas reclamaciones cuyo valor reclamado supere el tope de los 800 y 10 SMLDV para gastos médico-quirúrgicos y gastos de transporte del sitio de la ocurrencia del evento al primer centro asistencial, respectivamente.

Los valores máximos a reclamar se calcularán multiplicando el tope definido en la normativa por el valor del Salario Mínimo Legal Diario Vigente a la fecha de ocurrencia del evento.

1.1.3. Reclamaciones extemporáneas

Se excluirán las reclamaciones presentadas fuera de los términos establecidos en el artículo 73 de la Ley 1753 de 2015, o la norma que la modifique o lo sustituya.

Para determinar la extemporaneidad de los tres (3) años que define la norma, se calculará la fecha de egreso del paciente o fecha de traslado al primer centro asistencial, según el caso y la fecha de radicación ante la ADRES.

1.1.4. Reclamaciones con alertas automáticas producto de las validaciones con las bases de datos

Se excluirán las reclamaciones que producto de la validación en la etapa de radicación generen las siguientes alertas automáticas, producto de los cruces con las bases de datos- Base de Pólizas expedidas y Siniestros Pagados:

- Reclamaciones en las cuales el dato de la placa del vehículo al momento del accidente se encuentra con póliza vigente.

- Reclamaciones donde la víctima se encuentra relacionada en la base de siniestros pagados reportadas por las aseguradoras del SOAT para la misma fecha del evento.

Una vez realizadas las exclusiones mencionadas anteriormente se obtiene el valor reclamado base para aplicar el cálculo de giro previo.

2. Cálculo del giro previo

Una vez consolidada la información de las IPS que pueden acceder al mecanismo de giro previo de acuerdo con las definiciones y validaciones descritas en el presente documento, se adelantará el siguiente cálculo para cada entidad reclamante:

2.1.1. Cálculo del promedio del porcentaje de aprobación e intervalo de confianza (%)

- El porcentaje de aprobación y el intervalo de confianza se calcularán teniendo en cuenta la información correspondiente a cada IPS reclamante de acuerdo con la información que reposa en la base de datos del SII ECAT para cada periodo de radicación objeto de análisis e incluidos en el reporte.

- El porcentaje de aprobación se calculará teniendo en cuenta la relación entre el total de aprobación obtenido por la entidad en el período sobre el total reclamado.

- El promedio de aprobación corresponde al promedio calculado de aprobación para cada uno de los periodos de radicación de reclamaciones presentadas por primera vez, de acuerdo con lo establecido en el punto anterior.

- El intervalo de confianza unilateral del 95% se calculará con relación a los porcentajes de aprobación para cada uno de los periodos de radicación de reclamaciones presentadas por primera vez.

2.1.2. El cálculo del valor a girar por concepto de giro previo se determinará aplicando la siguiente fórmula:

GP: Valor Giro Previo:

VR: Valor Reclamado en el periodo a calcular

 Promedio del porcentaje de aprobación.

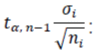
IC: Intervalo de confianza calculado con la siguiente fórmula , donde:

 Es la distribución t con á nivel de significancia.

 Desviación estándar del porcentaje de aprobación.

n: Número de periodos que la IPS presentó reclamaciones durante los 18 meses.

×