RESOLUCIÓN RQ 00101 DE 2021
(febrero 8)
Diario Oficial No. 51.599 de 25 de febrero de 2021
UNIDAD ADMINISTRATIVA ESPECIAL DE GESTIÓN DE RESTITUCIÓN DE TIERRAS DESPOJADAS
Territorial Caquetá
Por la cual se microfocaliza un área geográfica para implementar el Registro de Tierras Despojadas y Abandonadas Forzosamente.
ID 1369
EL DIRECTOR TERRITORIAL,
en ejercicio de las facultades legales otorgadas por la Ley 1448 de 2011, los Decretos 1071 de 2015 y 440 de 2016, y las Resoluciones 0131, 141 y 227 de 2012, y
CONSIDERANDO:
Que los numerales 1 y 2 del artículo 105 de la Ley 1448 de 2011, establecen que serán funciones de la Unidad Administrativa Especial de Gestión de Restitución de Tierras Despojadas (UAEGRTD), diseñar, administrar y conservar el Registro de Tierras Despojadas y Abandonadas Forzosamente (RTDAF), en el que se incluirá, de oficio o a solicitud de parte, a las personas y los predios que corresponda y se certificará sobre dicha inscripción.
Que el inciso 2° del artículo 76 de la Ley 1448 de 2011, dispone que el RTDAF se implementará de manera gradual y progresiva atendiendo a los criterios de seguridad, densidad histórica del despojo y condiciones para el retorno, como presupuestos que deben coexistir y que tienen por finalidad garantizar la aptitud de la restitución del predio, sin el riesgo de una revictimización, como consecuencia del conflicto armado interno.
Que, en virtud de lo anterior, la política de restitución de tierras debe implementarse, primero, en aquellos lugares en donde se han presentado mayores índices de despojo y abandono de tierras, en los que existan condiciones favorables para que las víctimas restituidas puedan retornar a sus predios con plena tranquilidad y así, dar cumplimiento a los principios de gradualidad y progresividad en la restitución.
Que, en aplicación de los principios señalados anteriormente, el Decreto 1071 de 2015 en su artículo 2.15.1.2.3 establece que se adelantará un proceso de macro y microfocalización, mediante el cual se definirán las áreas geográficas en las cuales se realizará el estudio de las solicitudes recibidas.
Que de conformidad con el artículo 2.15.1.2.4 del Decreto 1071 de 2015, modificado por el artículo 1° del Decreto 440 de 2016, la macrofocalización para la implementación del RTDAF será definida de manera conjunta por el Ministro de Defensa Nacional y el Ministro de Agricultura y Desarrollo Rural o sus delegados. Para lo cual este último contará con el acompañamiento del Director General de la Unidad de Restitución o su delegado.
Que, de acuerdo a la norma antes señalada, para la adopción de la decisión de macro focalización, se tendrá en cuenta el concepto de seguridad suministrado por el Centro de Integrado de Inteligencia para la Restitución de Tierras (CI2RT).
Que el artículo 2.15.5.1 del Decreto 1071 de 2015, dispone que la UAEGRTD, con fundamento en la información suministrada por la instancia establecida por el Ministerio de Defensa Nacional, asumirá el proceso de microfocalización tendiente a definir las áreas geográficas (municipios, veredas, corregimientos o predios), objeto de intervención.
Que en virtud de lo dispuesto en los Decretos 1071 de 2015 y 440 de 2016, se macrofocalizaron las zonas para la implementación del RTDAF, dentro de las cuales se encuentra el departamento del Caquetá.
Que de acuerdo con el artículo 2.15.1.2.4 del Decreto 1071 de 2015, modificado por el artículo 1° del Decreto 440 de 2016, la microfocalización está a cargo de la UAEGRTD, quien consultará a las diferentes autoridades con el fin de verificar las condiciones para el retorno y seguridad.
Que a efectos de constatar e identificar las condiciones para el retorno se consultaron las principales fuentes de información contentivas de la oferta institucional del municipio de San Vicente del Caguán, Caquetá, y se evidenció que existe la oferta institucional necesaria para implementar acciones que favorezcan un retorno.
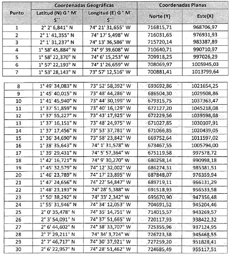
Que atendiendo que la Unidad de Restitución ha realizado la intervención de las áreas que cuentan con mayor despojo y por lo tanto es indispensable atender las demás solicitudes de inscripción en el RTDAF con el fin de culminar la intervención de la Unidad de Restitución en las mismas, la Dirección Territorial Caquetá de la Unidad de Restitución de Tierras, se propuso microfocalizar las veredas Alta Guadualosa, Brisas de La Tunia, Candilejas Noreste, Candilejas Noreste 1, Candilejas Norte, Edén del Tigre, El Águila, El Camuya, El Cristal, El Guayabo, El Jordán, El Progreso, El Recreo, El Tigre, El Triunfo, Getsemaní, Guadualosa Diamante, La Aurora, La Batalla, La Consolata, La Esmeralda, La Machaca, La Nutria, La Sierra, La Sombra, La Tunia, Las Damas, Las Delicias, Las Nieves, Las Vegas No. 2, Los Posos, Luz Grande, Luz Grande Alta, Playa Rica, Porvenir No. 1, Potra Quebradón, Puerto Llano, Trocha Al Llano, Yaguara LL, municipio de San Vicente del Caguán, departamento del Caquetá, conforme lo representado en el mapa N° UT_CQ_18753_MF 009, elaborado por esta Dirección Territorial, que forma parte integral del presente acto administrativo, ID de microzona 1369, y que cuenta con las siguientes coordenadas geográficas en grados, minutos y segundos (MAGNA-SIRGAS1) puntos extremos del área seleccionada, así:

Que para tal efecto se consultó a la Dirección para la Acción Integral contra Minas Antipersonal (DAICMA), a fin de establecer que la zona respecto de la cual se pretende desarrollar el trámite administrativo de inscripción en el RTDAF, no cuenta con sospecha de Presencia de Minas Antipersonal (MAP), Municiones Sin Explotar (MUSE), y/o de Artefactos Explosivos Improvisados con características de mina antipersonal (AEI).
Que mediante Oficio radicado interno No. DTCF1-20210069 de fecha 29 de enero de 2021, el DAICMA OFI21-00011295/IDM 13020000, indicó que la información de MAP, MUSE (riesgo por campos minados) por eventos de Minas Anti Persona o Municiones Sin Explosionar, es concordante con la suministrada al área catastral de la Unidad de Restitución de Tierras, actualizada periódicamente por el Grupo de Gestión en Prevención, Protección y seguridad GPPS, relacionando un mapa en cual se evidencia a continuación, por lo que se extrajo la información del Informe Técnico de Microrrealizado por la Unidad, así: Eventos por accidente por MAP: 14 y Desminado militar en operaciones: 602.

Que el Ministerio de Defensa Nacional, por intermedio del Centro Integrado de Inteligencia para la Restitución (CI2RT), rindió el respectivo informe técnico de inteligencia, mediante apreciación No. CQPIRTEF0013 del 10 de septiembre de 2020, en el que realizó un Diagnóstico Seguridad del Municipio de San Vicente del Caguán, zona a microfocalizar, donde hace presencia Grupos Armados Organizados Residuales GAO-r, quienes vienen afectado de manera cambiante el orden público en esa zona, no obstante, para el proceso de restitución, señalan que se cuenta con un Escuadrón Motorizado de Operaciones Rurales (ESMOR), por parte de la Policía Nacional, encargado de realizar las actividades de acompañamiento a los funcionarios de la Unidad de Restitución de Tierras; por ende, su misionalidad es la brindar la seguridad para el desarrollo de cada una de las Etapas Administrativas adelantadas en los diferentes municipios del departamento. Así mismo, informaron se realiza la articulación interinstitucional con cada una de las unidades operativas, con el objetivo de generar estrategias conjuntas con el fin de caracterizar y neutralizar el accionar delictivo de las estructuras del GAO residual, que afectan a la Fuerza Pública, población civil y diferentes gremios en la región. Por último, recomendaron desde el CI2RT, tener en cuenta las informaciones de inteligencia vigentes de manera coordinada, con las Fuerzas Militares y Policía Nacional que surjan en el momento de realizar las actividades de campo, toda vez que la presencia y comportamiento de las estructuras GAO-r son cambiantes.
Que así mismo, en cumplimiento de lo establecido en el artículo 2.15.1.2.4 del Decreto 1071 de 2015, modificado por el artículo 1° del Decreto 440 de 2016, se convocó el Comité Operativo Local de Restitución y Formalización de Tierras Despojadas Forzosamente (COLR).
Que en sesión de 23 de septiembre de 2020 el Comité Operativo Local de Restitución, evaluó entre otros aspectos: (i) el diagnóstico de seguridad entregado por el Centro Integrado de Inteligencia para la Restitución de Tierras CI2RT, (ii) la presencia y capacidad de las unidades de la Fuerza Pública en la zona objeto de microfocalización, (iii) la revisión de las capacidades propias de las entidades participantes en el Comité, (iv) el ambiente operacional y (v) la información brindada por la Unidad, obtenida por convenio con la Dirección para la Acción Integral contra Minas Antipersonal (DAICMA), respecto de la zona a intervenir. Lo anterior, se consignó en el acta Nro. 003 suscrita el 23 de septiembre de 2020.
Que una vez precisada la zona a intervenir, de conformidad con el inciso segundo del artículo 2.15.1.1.16 del Decreto 1071 de 2015 (adicionado por el artículo 4° del Decreto 440 de 2016), la Dirección Territorial realizó durante el mes de septiembre de 2020 recorrido en medios radiales, para la difusión en los medios de comunicación que abajo se describen, a fin de dar publicidad a la futura apertura de una microzona:
- Radio difusora Nacional tiene cobertura Nacional
- Emisora comunitaria 104.1 Florencia y municipios aledaños
- Emisora Armonías del Caquetá - Florencia y municipios de Caquetá.
- Emisora del Ejército Nacional Todo el departamento del Caquetá
- Emisora Linda Stéreo - Doncello y Florencia.
Que en consecuencia, se estima que confluyen los criterios de seguridad, densidad histórica del despojo y condiciones para el retorno, enunciados en el artículo 76 de la Ley 1448 de 2011, para adelantar las actuaciones de la etapa administrativa de los procesos de restitución de tierras, tendientes a decidir sobre las solicitudes de inscripción en el RTDAF ubicadas en el área geográfica objeto de la presente resolución, por tanto, se tomará en conjunto con las demás autoridades nacionales y regionales, las medidas que se estimen convenientes para el buen desarrollo de los procedimientos de restitución.
En razón de todo lo expuesto,
RESUELVE:
Primero. Microfocalizar las veredas Alta Guadualosa, Brisas de la Tunia, Candilejas Noreste, Candilejas Noreste 1, Candilejas Norte, Edén del Tigre, El Águila, El Camuya, El Cristal, El Guayabo, El Jordán, El Progreso, El Recreo, El Tigre, El Triunfo, Getsemaní, Guadualosa Diamante, La Aurora, La Batalla, La Consolata, La Esmeralda, La Machaca, La Nutria, La Sierra, La Sombra, La Tunia, Las Damas, Las Delicias, Las Nieves, Las Vegas No. 2, Los Posos, Luz Grande, Luz Grande Alta, Playa Rica, Porvenir No. 1, Potra Quebradón, Puerto Llano, Trocha al Llano, Yaguara LL., ubicadas en el municipio de San Vicente del Caguán, departamento del Caquetá, conforme lo representado en el mapa N° UT_CQ_18753_MF 009, elaborado por esta Dirección Territorial, que forma parte integral del presente acto administrativo, y que cuenta con las coordenadas geográficas en grados, minutos y segundos (MAGNA-SIRGAS3) relacionados en la parte considerativa. La zona se identificará con ID de microzona 1369.
Segundo. Solicitar al Comité Operativo Local de Restitución y Formalización de Tierras Despojadas y Abandonadas Forzosamente (COLR), realizar el seguimiento respectivo a efectos de verificar la situación de seguridad y condiciones para el retorno, con el fin de generar los presupuestos necesarios para garantizar la restitución y su sostenibilidad.
Tercero. Remitir copia de la presente resolución a la Gobernación del Caquetá, a la Alcaldía Municipal de San Vicente del Caguán, a la Unidad Administrativa Especial para la Atención y Reparación a las Victimas Regional, a la Defensoría del Pueblo Regional, con el fin de que cada una de ellas en el marco de sus competencias adopte las medidas considere necesarias para garantizar la restitución y su sostenibilidad.
Cuarto. Publíquese la presente resolución en el Diario Oficial, de conformidad con el artículo 65 de la Ley 1437 de 2011, aplicable por remisión según el artículo 2.15.1.6.9 del Decreto 1071 de 2015.
Quinto. Contra la presente resolución no procede ningún recurso.
Publíquese y cúmplase.
Dada en la ciudad de Florencia, a 8 de febrero de 2021.
El Director Territorial Caquetá, Unidad Administrativa Especial de Gestión de
Restitución de Tierras Despojadas,
Fernando Cuéllar Ramírez
NOTAS AL FINAL:
1. MAGNA-SIRGAS: Marco Geocéntrico Nacional de Referencia – Sistema de Referencia Geocéntrico para las Américas, es el sistema de coordenadas oficial, adoptado por Colombia mediante la Resolución 068 de enero 28 de 2005 del IGAC, en el que se deben presentar todos los trabajos de localización geográfica en los que se incluyen los levantamientos topográficos
Para una mejor comprensión del concepto definimos las siguientes términos:
Localización geográfica: ubicar un objeto en el espacio.
Levantamiento topográfico: es un procedimiento que está dirigido a recoger los datos de coordenadas y distancias para representarlos en un plano.
2 ITM Fuente: DAICMA Map_Muse_2020_10_09.shp Fecha Consulta 18/11/2020
3 MAGNA-SIRGAS: Marco Geocéntrico Nacional de Referencia – Sistema de Referencia Geocéntrico para las Américas, es el sistema de coordenadas oficial, adoptado por Colombia mediante la Resolución 068 de enero 28 de 2005 del IGAC, en el que se deben presentar todos los trabajos de localización geográfica en los que se incluyen los levantamientos topográficos.
Para una mejor comprensión del concepto definimos los siguientes términos:
Localización geográfica: ubicar un objeto en el espacio.
Levantamiento topográfico: es un procedimiento que está dirigido a recoger los datos de coordenadas y distancias para representarlos en un plano.