RESOLUCIÓN RA 564 DE 2021
(marzo 17)
Diario Oficial No. 51.631 de 29 de marzo de 2021
UNIDAD ADMINISTRATIVA ESPECIAL DE GESTIÓN DE RESTITUCIÓN DE TIERRAS DESPOJADAS
Por la cual se microfocaliza un área geográfica para implementar el Registro de Tierras Despojadas y Abandonadas Forzosamente.
LA DIRECTORA TERRITORIAL,
en ejercicio de las facultades legales otorgadas por la Ley 1448 de 2011, los Decretos 1071 de 2015 y 440 de 2016, y las Resoluciones 0131, 141 y 227 de 2012 y
CONSIDERANDO:
Que los numerales 1 y 2 del artículo 105 de la Ley 1448 de 2011, establecen que serán funciones de la Unidad Administrativa Especial de Gestión de Restitución de Tierras Despojadas (UAEGRTD), diseñar, administrar y conservar el Registro de Tierras Despojadas y Abandonadas Forzosamente (RTDAF), en el que se incluirá, de oficio o a solicitud de parte, a las personas y los predios que corresponda y se certificará sobre dicha inscripción;
Que el inciso 2° del artículo 76 de la Ley 1448 de 2011, dispone que el RTDAF se implementará de manera gradual y progresiva atendiendo a los criterios de seguridad, densidad histórica del despojo y condiciones para el retorno, como presupuestos que deben coexistir y que tienen por finalidad garantizar la aptitud de la restitución del predio, sin el riesgo de una revictimización, como consecuencia del conflicto armado interno;
Que en virtud de lo anterior, la política de restitución de tierras debe implementarse, primero, en aquellos lugares en donde se han presentado mayores índices de despojo y abandono de tierras, en los que existan condiciones favorables para que las víctimas restituidas puedan retornar a sus predios con plena tranquilidad y así, dar cumplimiento a los principios de gradualidad y progresividad en la restitución;
Que en aplicación de los principios señalados anteriormente, el Decreto 1071 de 2015 en su artículo 2.15.1.2.3 establece que se adelantará un proceso de macro y microfocalización, mediante el cual se definirán las áreas geográficas en las cuales se realizará el estudio de las solicitudes recibidas;
Que de conformidad con el artículo 2.15.1.2.4 del Decreto 1071 de 2015, modificado por el artículo 1° del Decreto 440 de 2016, la macrofocalización para la implementación del RTDAF será definida de manera conjunta por el Ministro de Defensa Nacional y el Ministro de Agricultura y Desarrollo Rural o sus delegados. Para lo cual este último contará con el acompañamiento del Director General de la Unidad de Restitución o su delegado;
Que de acuerdo a la norma antes señalada, para la adopción de la decisión de macrofocalización, se tendrá en cuenta el concepto de seguridad suministrado por el Centro Integrado de Inteligencia para la Restitución de Tierras (CI2RT);
Que el artículo 2.15.5.1 del Decreto 1071 de 2015, dispone que la UAEGRTD, con fundamento en la información suministrada por la instancia establecida por el Ministerio de Defensa Nacional, asumirá el proceso de microfocalización tendiente a definir las áreas geográficas (municipios, veredas, corregimientos o predios) objeto de intervención;
Que en virtud de lo dispuesto en los Decretos 1071 de 2015 y 440 de 2016, se macrofocalizaron las zonas para la implementación del RTDAF, dentro de las cuales se encuentra el Departamento de Antioquia;
Que de acuerdo con el artículo 2.15.1.2.4 del Decreto 1071 de 2015, modificado por el artículo 1° del Decreto 440 de 2016, la microfocalización está a cargo de la UAEGRTD, quien consultará a las diferentes autoridades con el fin de verificar las condiciones para el retorno y seguridad;
Que a efectos de constatar e identificar las condiciones para el retorno se consultaron las principales fuentes de información contentivas de la oferta institucional del municipio de Abejorral, y se evidenció que existe la oferta institucional necesaria para implementar acciones que favorezcan un retorno;
Que atendiendo que la Unidad de Restitución ha realizado la intervención de las áreas que cuentan con mayores índices de despojo y abandono forzado de tierras, es indispensable avanzar en la implementación del RTDAF en el departamento de Antioquia, y atender las demás solicitudes de inscripción en dicho registro, con el fin de culminar la intervención de la UAEGRTD en el término de vigencia de la Ley 1448 de 2011;
Que mediante la Resolución número 00547 del 26 de junio 2019, el Director General de la Unidad Administrativa Especial de Gestión de Restitución de Tierras Despojadas nombró a la doctora Eliana Marcela Jaramillo Espinosa, identificada con cédula de ciudadanía 43685348, en el empleo de Directora Territorial, Código 0042, Grado 19, de la Dirección Territorial Antioquia Oriente;
Que mediante la Resolución número 01194 del 30 de diciembre 2019, el Director General de la Unidad Administrativa Especial de Gestión de Restitución de Tierras Despojadas decidió fusionar las Direcciones Territoriales Antioquia Oriente y Noroccidente en la Dirección Territorial Antioquia;
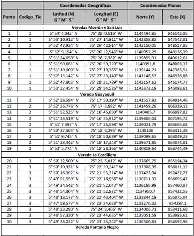
Que la Dirección Territorial Antioquia de la Unidad de Restitución de Tierras, se propuso microfocalizar las Veredas Guayaquil, La Cordillera, San Luis, Morrón, Cañaveral, Santa Ana, San Vicente y Pantano Negro del municipio de Abejorral, departamento de Antioquia, conforme lo representado en el Mapa número UT_AT_05002_MF002, el cual establece cinco polígonos de la siguiente forma: Polígono 1: Veredas Morrón y San Luis, Polígono 2: Vereda Guayaquil, Polígono 3: Vereda La Cordillera, Polígono 4: Vereda Pantano Negro y Polígono 5: Cañaveral, Santa Ana y San Vicente, los cuales cuentan con las siguientes coordenadas geográficas en grados, minutos y segundos (MAGNA-SIRGAS1) puntos extremos del área seleccionada, así:


Que para tal efecto se consultó a la Acción Integral contra Minas Antipersonal (AICMA), a fin de establecer que las zonas respecto de las cuales se pretende desarrollar el trámite administrativo de inscripción en el RTDAF, no cuentan con sospecha de presencia de minas antipersonal (MAP), municiones sin explotar (MUSE) y/o de artefactos explosivos improvisados con características de mina antipersonal (AEI);
Que mediante Oficio número OFI20-00254220 / IDM 13020000 de fecha 1° de diciembre de 2020, el AICMA indicó que en las zonas cuya microfocalización se pretende no existen los factores del riesgo antes señalados;
Que el Ministerio de Defensa Nacional, por intermedio del Centro Integrado de Inteligencia para la Restitución (CI2RT), rindió el respectivo informe técnico de inteligencia, el día 01 de noviembre de 2020, en el que describió la situación general de seguridad del municipio de Abejorral;
Que así mismo, en cumplimiento de lo establecido en el artículo 2.15.1.2.4 del Decreto 1071 de 2015, modificado por el artículo 1° del Decreto 440 de 2016, se convocó el Comité Operativo Local de Restitución y Formalización de Tierras Despojadas Forzosamente (COLR);
Que en sesión de 9 de noviembre de 2020 el Comité Operativo Local de Restitución, evaluó entre otros aspectos: (i) el diagnóstico de seguridad entregado por el Centro Integrado de Inteligencia para la Restitución de Tierras (CI2RT), (ii) la presencia y capacidad de las unidades de la Fuerza Pública en la zona objeto de microfocalización, (iii) la revisión de las capacidades propias de las entidades participantes en el Comité, (iv) el ambiente operacional y (v) la información remitida por la Dirección para la Acción Integral contra Minas Antipersonal (DAICMA), respecto de las zonas a intervenir. Lo anterior, se consignó en el Acta número 005 suscrita el 9 de noviembre de 2020;
Que una vez precisada la zona a intervenir, de conformidad con el inciso segundo del artículo 2.15.1.1.16 del Decreto 1071 de 2015 (adicionado por el artículo 4° del Decreto 440 de 2016), la Dirección Territorial realizó las siguientes actuaciones a fin de dar publicidad a la futura apertura de una microzona: convocó a las autoridades municipales, a los delegados de la Procuraduría General de la Nación, y la Fuerza Pública con jurisdicción en la zona a intervenir, para que participaran en el COLR llevado a cabo de manera no presencial, videoconferencia vía TEAMS, debido al asilamiento preventivo ordenado por el Gobierno nacional con ocasión de la contingencia sanitaria, el día 9 de noviembre de 2020;
Que en consecuencia, se estima que confluyen los criterios de seguridad, densidad histórica del despojo y condiciones para el retorno, enunciados en el artículo 76 de la Ley 1448 de 2011, para adelantar las actuaciones de la etapa administrativa de los procesos de restitución de tierras, tendientes a decidir sobre las solicitudes de inscripción en el RTDAF ubicadas en el área geográfica objeto de la presente resolución, por tanto, se tomará en conjunto con las demás autoridades nacionales y regionales, las medidas que se estimen convenientes para el buen desarrollo de los procedimientos de restitución;
En razón de todo lo expuesto,
RESUELVE:
Primero. Microfocalizar las Veredas Guayaquil, La Cordillera, San Luis, Morrón, Cañaveral, Santa Ana, San Vicente y Pantano Negro del municipio de Abejorral, departamento de Antioquia, conforme lo representado en el Mapa número UT_AT_05002_ MF002, elaborado por esta Dirección Territorial, que es parte integral del presente acto administrativo y que cuenta con las coordenadas geográficas en grados, minutos y segundos (MAGNA-SIRGAS2) relacionados en la parte considerativa.
Segundo. Solicitar al Comité Operativo Local de Restitución y Formalización de Tierras Despojadas y Abandonadas Forzosamente (COLR), realizar el seguimiento respectivo a efectos de verificar la situación de seguridad y condiciones para el retorno, con el fin de generar los presupuestos necesarios para garantizar la restitución y su sostenibilidad.
Tercero. Remitir copia de la presente resolución a la Gobernación de Antioquia, a la Alcaldía Municipal de Abejorral, a la Unidad Administrativa Especial para la Atención y Reparación a las Víctimas Regional, a la Defensoría del Pueblo Regional, con el fin de que cada una de ellas en el marco de sus competencias adopte las medidas que considere necesarias para garantizar la restitución y su sostenibilidad.
Cuarto. Publíquese la presente resolución en el Diario Oficial, de conformidad con el artículo 65 de la Ley 1437 de 2011, aplicable por remisión según el artículo 2.15.1.6.9 del Decreto 1071 de 2015.
Quinto. Contra la presente resolución no procede ningún recurso.
Publíquese y cúmplase.
Dada en la ciudad de Medellín, a 17 de marzo de 2021.
La Directora Territorial Antioquia, Unidad Administrativa Especial de Gestión de Restitución de Tierras Despojadas,
Eliana Marcela Jaramillo Espinosa
NOTAS AL FINAL:
1 MAGNA-SIRGAS: Marco Geocéntrico Nacional de Referencia – Sistema de Referencia Geocéntrico para las Américas, es el sistema de coordenadas oficial, adoptado por Colombia mediante la Resolución 068 de enero 28 de 2005 del IGAC, en el que se deben presentar todos los trabajos de localización geográfica en los que se incluyen los levantamientos topográficos.
Para una mejor comprensión del concepto definimos los siguientes términos:
Localización geográfica: ubicar un objeto en el espacio.
Levantamiento topográfico: es un procedimiento que está dirigido a recoger los datos de coordenadas y distancias para representarlos en un plano.
2 MAGNA-SIRGAS: Marco Geocéntrico Nacional de Referencia – Sistema de Referencia Geocéntrico para las Américas, es el sistema de coordenadas oficial, adoptado por Colombia mediante la Resolución 068 de enero 28 de 2005 del IGAC, en el que se deben presentar todos los trabajos de localización geográfica en los que se incluyen los levantamientos topográficos.
Para una mejor comprensión del concepto definimos los siguientes términos:
Localización geográfica: ubicar un objeto en el espacio.
Levantamiento topográfico: es un procedimiento que está dirigido a recoger los datos de coordenadas y distancias para representarlos en un plano.