RESOLUCIÓN RO 677 DE 2021
(julio 19)
Diario Oficial No. 51.783 de 30 de agosto de 2021
UNIDAD ADMINISTRATIVA ESPECIAL DE GESTIÓN DE RESTITUCIÓN DE TIERRAS DESPOJADAS Y ABANDONADAS FORZOSAMENTE
Territorial de Bogotá - Chocó
Por la cual se micro focaliza un área geográfica para implementar el Registro de Tierras Despojadas y Abandonadas Forzosamente.
EL DIRECTOR TERRITORIAL DE BOGOTÁ,
Chocó, en ejercicio de las facultades legales otorgadas por la Ley 1448 de 2011, los Decretos 1071 de 2015 y 440 de 2016, y las Resoluciones números 0131, 141 y 227 de 2012 y
CONSIDERANDO:
A través de la Resolución número 00235 de 2020 por medio de la cual se decidió crear Sede Quibdó, adscrita a la Dirección Territorial Bogotá de la Unidad Administrativa Especial de Gestión de Restitución de Tierras Despojadas.
A través de los numerales 1 y 2 del artículo 105 de la Ley 1448 de 2011, se establecen como funciones de la Unidad Administrativa Especial de Gestión de Restitución de Tierras Despojadas y Abandonadas Forzosamente -en adelante la Unidad- el diseñar, administrar y conservar el Registro de Tierras Despojadas y Abandonadas Forzosamente -en adelante RTDAF-, en el que se incluirá, de oficio o a solicitud de parte, a las personas y los predios que corresponda y, además certificar dicha inclusión.
En el párrafo segundo del artículo 76 de la Ley 1448 de 2011, se señala que el RTDAF se implementará de manera gradual y progresiva atendiendo a los criterios de seguridad, densidad histórica del despojo y condiciones para el retorno, como presupuestos que deben coexistir y que tienen por finalidad garantizar la aptitud de la restitución del predio, sin el riesgo de una revictimización, como consecuencia del conflicto armado interno.
Atendiendo lo ya expuesto, la política de restitución de tierras debe implementarse, primero, en aquellos lugares en donde se han presentado mayores índices de despojo y abandono forzado de tierras, en los que existan condiciones favorables para que las víctimas restituidas puedan retornar a sus predios con plena tranquilidad y así, dar cumplimiento a los principios de gradualidad y progresividad en la restitución.
Dando aplicación a los principios señalados en los apartes anteriores, en el artículo 2.15.1.2.3 del Decreto 1071 de 2015 se establece, que se adelantará un proceso de macro y microfocalización, mediante el cual se definirán las áreas geográficas en las cuales se realizará el estudio de las solicitudes recibidas.
De conformidad con el artículo 2.15.1.2.4 del Decreto 1071 de 2015, el cual fue modificado por el artículo 1° del Decreto 440 de 2016, la macrofocalización para la implementación del RTDAF será definida de manera conjunta por el Ministro de Defensa Nacional y el Ministro de Agricultura y Desarrollo Rural o sus delegados; para lo cual este último contará con el acompañamiento del Director General de la Unidad o su delegado.
Además debe tenerse en cuenta que, en la norma ya mencionada, se señala que para la adopción de la decisión de macrofocalización, se tendrá en cuenta el concepto de seguridad suministrado por el Centro de Integrado de Inteligencia para la Restitución de Tierras (CI2RT).
Aunado a lo anterior, debe precisarse que el 26 de abril de 2016, durante el desarrollo de una reunión de carácter nacional, del Centro Integrado de Inteligencia para la Restitución de Tierras (CI2RT), en la cual participaron Aníbal Fernández de Soto Camacho, Viceministro para las Políticas y Asuntos Internacionales, actuando como delegado del Ministro de Defensa Nacional, según resolución 3274 del 25 de abril de 2016, Juan Pablo Díaz Granados Pinedo, actuando como delegado del Ministro de Agricultura y Desarrollo Rural, por virtud de la Resolución número 000090 del 25 de abril de 2016, y Ricardo Sabogal Urrego, quien fue Director General de la Unidad Administrativa Especial de Gestión de Restitución de Tierras Despojadas y Abandonadas Forzosamente, decidieron: “…Ampliar la macrofocalización a la totalidad del territorio nacional de la República de Colombia, de conformidad con lo establecido en el Decreto 440 de 2016”.
En el artículo 2.15.5.1 del Decreto 1071 de 2015, se prescribe que la Unidad, con fundamento en la información suministrada por la instancia establecida por el Ministerio de Defensa Nacional, asumirá el proceso de microfocalización tendiente a definir las áreas geográficas (municipios, veredas, corregimientos o predios) en donde es posible implementar el RTDAF.
De acuerdo con el artículo 2.15.1.2.4 del Decreto 1071 de 2015, el cual fue modificado por el artículo 1° del Decreto 440 de 2016, la microfocalización está a cargo de la Unidad, quien consultará a las diferentes autoridades con el fin de verificar las condiciones para el retorno y seguridad existentes en una determinada zona geográfica.
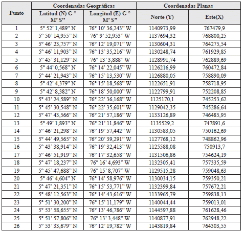
La Dirección Territorial Bogotá - Chocó de la Unidad, se ha propuesto microfocalizar las veredas San Cayetano, El Toro, El Ocho, El Nueve, El Diez, El Piñón, El Doce, El Quince, Guangarales, El Encanto, Monteloro, El Lamento, El Dieciocho del municipio de Carmen de Atrato, que hace parte del departamento de Chocó, cuya ubicación se encuentra representada en el mapa al que correspondió el número UT-TB-27245_MF002, el cual fue elaborado por el área catastral de la mencionada Dirección Territorial, forma parte de este acto administrativo, y cuenta con las siguientes coordenadas geográficas en grados, minutos y segundos (MAGNA-SIRGAS[1]) puntos extremos del área seleccionada, así:

Lo anterior teniendo en cuenta que, la densidad histórica del despojo existente en la mencionada zona geográfica, la cual se evidencia en la cantidad de solicitudes de inclusión en el RTDAF relativas a predios ubicados en la misma, es alta[2]; además con el fin de garantizar que se puedan llevar a cabo las actividades que requiere el procedimiento administrativo especial al que se alude en el capítulo III del título IV de la Ley 1448 de 2011, respecto de aquellas peticiones a las que se refiere el artículo 76 de esta última, que sean presentadas con posterioridad a la emisión de este acto administrativo, y que tengan como objeto bienes relacionados con la zona geográfica a la que se refiere este escrito.
Además, el Ministerio de Defensa Nacional, por intermedio del Centro Integrado de Inteligencia para la Restitución de Tierras (CI2RT), por virtud de la solicitud presentada por la Unidad, generó informe técnico de inteligencia elaborado el 12 de mayo de de 2021 en los que se describe la situación general de seguridad existente en el municipio de Carmen de Atrato, departamento del Chocó.
Así mismo, en cumplimiento de lo establecido en el artículo 2.15.1.2.4 del Decreto 1071 de 2015, el cual fue modificado por el artículo 1° del Decreto 440 de 2016, el 16 de octubre de 2020 se efectuó reunión del Comité Operativo Local de Restitución y Formalización de Tierras Despojadas Forzosamente (COLR), durante la cual se analizaron, entre otros aspectos: (i) el diagnóstico de seguridad elaborado por el Centro Integrado de Inteligencia para la Restitución de Tierras, (ii) la presencia y capacidad de las unidades de la Fuerza Pública en la zona objeto de microfocalización, (iii) la revisión de las capacidades propias de las entidades participantes en el Comité, (iv) el ambiente operacional, y (v) la información remitida por la Dirección para la Acción Integral contra las Minas Antipersonas (Daicma), respecto de las zonas geográficas a las que se refiere este acto administrativo.
Así mismo, en cumplimiento de lo establecido en el artículo 2.15.1.2.4 del Decreto 1071 de 2015, el cual fue modificado por el artículo 1° del Decreto 440 de 2016, en la reunión del Comité Operativo Local de Restitución y Formalización de Tierras Despojadas Forzosamente (COLR) del 28 de mayo de 2021, a la que asistió el Director Territorial, Procuraduría, miembros del Ejército y Policía del departamento del Chocó, durante la cual se estableció que el área en relación a la información Catastral Básica del Igac de infraestructura vial tomada de la gdburt_ctm12.hist.Via_2009_k100, en un radio (buffer) de 1 km se le daría viabilidad.
Teniendo en cuenta lo anterior, se tomó el buffer creado en la reunión del 28 de mayo de 2021, se cruzó las solicitudes trabajadas en el COLR y con la información predial catastral para establecer los polígonos que se encontraran dentro del área determinada; se excluye todo polígono predial catastral que no se encuentre dentro del buffer o no tenga solicitudes de acuerdo con la reunión del Comité Operativo Local de Restitución de Tierras COLR. Por lo anterior el polígono predial catastral 272450001000000040143000000000, se excluye del área a microfocalizar dado que no se le dio viabilidad al ID 169609.
Para los extremos del área a microfocalizar se tomó al sur el límite municipal de la información IGAC disponible en gdburt_ctm12.hist.Cartografia_Basica; en la parte occidente con la microzona ID1194 de Quibdó y oriente con la microzona ID1360 Carmen de Atrato.”
En el artículo 2.15.1.1.16 del Decreto 1071 de 2015, el cual fue adicionado a este último por el artículo 4° del Decreto 440 de 2016[3], se señala que para la apertura y cierre de cada microzona se adelantarán con suficiente antelación campañas informativas, a fin de dar publicidad a las respectivas decisiones, las cuales efectivamente se realizaron a través de:
- El envío al Alcalde Municipal de Carmen de Atrato, del documento al que correspondió el radicado OABCQ2-202100247 del 18 de junio de 2021, a través del cual la Dirección Territorial Bogotá de la Unidad, le informó a tal entidad, que se encontraba desarrollando las actividades necesarias que permitan emitir el acto administrativo a través del cual microfocalice un área del municipio de Carmen de Atrato, que hace parte del departamento del Chocó.
- El envío a la Personería Municipal de Carmen de Atrato, del documento al que correspondió el radicado OABCQ2-202100247 del 18 de junio de 2021 a través del cual la Dirección Territorial Bogotá de la Unidad, le informó a tal entidad, que se encontraba desarrollando las actividades necesarias que le permitan emitir el acto administrativo a través del cual efectué la microfocalización de un área geográfica del municipio de Carmen de Atrato, que hace parte del departamento del Chocó.
- La publicación del mensaje disponible en el enlace https://www.restitucion- detierras.gov.co/-/restituci%C3%B3n-de-tierras-llegar%C3%A1-a-nuevas- zonas-de-carmen-de-atrato-choc%C3%B3-gracias-a-aval-de-seguridad-de- ej%C3%A9rcito-y-polic%C3%ADa-nacional, según consta en la publicación en la página web de la entidad.
En consecuencia, se estima que confluyen los criterios de seguridad, densidad histórica del despojo y condiciones para el retorno, a los que se hace alusión en el artículo 76 de la Ley 1448 de 2011, para adelantar las actuaciones de la etapa administrativa de los procesos de restitución de tierras, necesarias para emitir los actos administrativos relativos a las solicitudes de inscripción en el RTDAF que se refieran a bienes ubicados en el área geográfica objeto de la presente resolución; por tanto, se tomará en conjunto con las demás autoridades nacionales y regionales, las medidas que se estimen convenientes para el buen desarrollo de los procedimientos administrativos especiales correspondientes.
En razón de todo lo expuesto, la Dirección Territorial Bogotá- Chocó de la Unidad Administrativa Especial de Gestión de Restitución de Tierras Despojadas y Abandonadas Forzosamente,
RESUELVE:
Primero. Microfocalizar las veredas San Cayetano, El Toro, El Ocho, El Nueve, El Diez, El Piñón, El Doce, El Quince, Guangarales, El Encanto, Monteloro, El Lamento, El Dieciocho del municipio de Carmen de Atrato, que hace parte del departamento del Chocó, y se encuentra representado en el Plano UT-TB-27245_MF002, el cual fue elaborado por la Dirección Territorial Bogotá- Chocó de la Unidad Administrativa Especial de Gestión de Restitución de Tierras Despojada y Abandonadas Forzosamente, que es parte integral de este acto administrativo y que cuenta con las coordenadas geográficas en grados, minutos y segundos (MAGNA-SIRGAS[4]) que se mencionan a continuación:


PARÁGRAFO 1°. Para efectos del acto administrativo de microfocalización, en todo caso se tendrá en cuenta el trámite administrativo, las solicitudes que se encuentren georreferenciadas al interior del polígono de la zona microfocalizada en esta resolución, cuyas coordenadas están relacionadas en la tabla del presente artículo junto con el plano.
Segundo. Solicitar al Comité Operativo Local de Restitución y Formalización de Tierras Despojadas y Abandonadas Forzosamente (COLR), realizar el seguimiento respectivo a efectos de verificar la situación de seguridad y condiciones para el retorno, con el fin de generar los presupuestos necesarios para garantizar la restitución y su sostenibilidad.
Tercero. Remitir copia de la presente resolución a la Gobernación del Chocó, a la Alcaldía Municipal de Carmen de Atrato, a la Unidad Administrativa Especial para la Atención y Reparación a las Víctimas y a la Defensoría del Pueblo Regional, con el fin de que cada una de ellas en el marco de sus competencias adopte las medidas que considere necesarias para garantizar la restitución y su sostenibilidad.
Cuarto. Publíquese la presente resolución en el Diario Oficial, de conformidad con el artículo 65 de la Ley 1437 de 2011, aplicable por remisión según el artículo 2.15.1.6.9 del Decreto 1071 de 2015.
Quinto. Contra la presente resolución no procede ningún recurso. Publíquese y cúmplase.
Dada en el municipio de Quibdó, a 19 de julio de 2021. El Director Territorial de Bogotá- Chocó
Rossvan Johan Blanco Castelblanco,
Unidad Administrativa Especial de Gestión de Restitución de Tierras Despojadas y Abandonadas Forzosamente
<NOTAS DE PIE DE PAGINA>.
1 MAGNA-SIRGAS: Marco Geocéntrico Nacional de Referencia – Sistema de Referencia Geocéntrico para las Américas, es el sistema de coordenadas oficial, adoptado por Colombia mediante la Resolución número 068 de enero 28 de 2005 del Igac, en el que se deben presentar todos los trabajos de localización geográfica en los que se incluyen los levantamientos topográficos.
Para una mejor comprensión del concepto definimos los siguientes términos: Localización geográfica: ubicar un objeto en el espacio.
Levantamiento topográfico: es un procedimiento que está dirigido a recoger los datos de coordenadas y distancias para representarlos en un plano.
2 Según el Informe Técnico de Área Microfocalizada, elaborado por el área catastral de la Dirección Territorial Bogotá de la Unidad, 1.5 Información Catastral en el Área a microfocalizar Tomando las indicaciones del instructivo RT-RG-IN-01 INSTRUCTIVO INFORME TÉCNICO ÁREA MICROFOCALIZADA, se tiene un total para el municipio de El Carmen de Atrato de 1383 predios rurales y 962 predios urbanos de acuerdo a la información Igac: PAEE, Subdirección de Catastro Instituto Geográfico Agustín Codazzi; de los cuales en la base de datos geográfica de gdburt_ ctm12.hist.Choco_Terreno_Rural_2020 de la información de Cartografía Predial del IGAC, en el área a microfocalizar se encuentran un total de 117 predios rurales, que pertenecen a la jurisdicción del municipio de El Carmen de Atrato-Chocó.
Se determinó el área a microfocalizar en relación a lo acordado en el Comité Operativo Local de Restitución de Tierras (COLR) realizado el 27 de mayo del 2021 con la fuerza pública y la procuraduría; donde se estableció que el área en relación a la información Catastral Básica del IGAC de infraestructura vial tomada de la gdburt_ctm12.hist.Via_2009_k100, en un radio (buffer) de 1km se le daría viabilidad. Teniendo en cuenta lo anterior, se tomó el buffer creado en la reunión del 27 de mayo de 2021, se cruzó las solicitudes trabajadas en el COLR y con la información predial catastral para establecer los polígonos que se encontraran dentro del área determinada; se excluye todo polígono predial catastral que no se encuentre dentro del buffer o no tenga solicitudes de acuerdo con la reunión del Comité Operativo Local de Restitución de Tierras (COLR). Por lo anterior el polígono predial catastral 272450001000000040143000000000, se excluye del área a microfocalizar dado que no se le dio viabilidad al ID 169609. Para los extremos del área a microfocalizar se tomó al sur el límite municipal de la información IGAC disponible en gdburt_ctm12.hist.Cartografia_Basica; en la parte occidente con la microzona ID1194 de Quibdó y oriente con la microzona ID1360 Carmen de Atrato.
3 Debe tenerse en cuenta que, el artículo 2.15.1.1.16 del Decreto 1071 de 2015, fue modificado por el artículo 1° del Decreto 1167 de 2018; sin embargo, el 28 de noviembre de 2019, la Sección Primera de la Sala de lo Contencioso Administrativo del Consejo de Estado, durante el desarrollo del proceso judicial al que corresponde el radicado 11001-03-24-000-2018-00363-00, emitió la providencia en la que consta su decisión de:
….
Primero: DECRETAR la medida cautelar de suspensión provisional del Decreto 1167 del 11 de julio de 2018, proferido por los Ministerios de Defensa Nacional y de Agricultura y Desarrollo Rural, “Por el cual se modifica el artículo 2.15.1.1.16 del Decreto 1071 de 2015, Decreto Único Reglamentario del Sector Administrativo, Agropecuario, Pesquero y de Desarrollo Rural, relacionado con las zonas microfocalizadas”, por las razones señaladas en la parte motiva.
4 MAGNA-SIRGAS: Marco Geocéntrico Nacional de Referencia – Sistema de Referencia Geocéntrico para las Américas, es el sistema de coordenadas oficial, adoptado por Colombia mediante la Resolución número 068 de enero 28 de 2005 del Igac, en el que se deben presentar todos los trabajos de localización geográfica en los que se incluyen los levantamientos topográficos.
Para una mejor comprensión del concepto definimos los siguientes términos: Localización geográfica: ubicar un objeto en el espacio.
Levantamiento topográfico: es un procedimiento que está dirigido a recoger los datos de coordenadas y distancias para representarlos en un plano.