RESOLUCIÓN RP 2501 DE 2017
(diciembre 12)
Diario Oficial No. 50.499 de 6 de febrero de 2018
UNIDAD ADMINISTRATIVA ESPECIAL DE GESTIÓN DE RESTITUCIÓN DE TIERRAS DESPOJADAS
Por la cual se microfocaliza un área geográfica para implementar el Registro de Tierras Despojadas y Abandonadas Forzosamente.
EL DIRECTOR TERRITORIAL,
en ejercicio de las facultades legales otorgadas por la Ley 1448 de 2011, los Decretos 1071 de 2015 y 440 de 2016, y las Resoluciones 0131, 141 y 227 de 2012, y
CONSIDERANDO:
Que los numerales 1 y 2 del artículo 105 de la Ley 1448 de 2011, establecen que serán funciones de la Unidad Administrativa Especial de Gestión de Restitución de Tierras Despojadas (UAEGRTD), diseñar, administrar y conservar el Registro de Tierras Despojadas y Abandonadas Forzosamente (RTDAF), en el que se incluirá, de oficio o a solicitud de parte, a las personas y los predios que corresponda y se certificará sobre dicha inscripción.
Que el inciso 2 del artículo 76 de la Ley 1448 de 2011, dispone que el RTDAF se implementará de manera gradual y progresiva atendiendo a los criterios de seguridad, densidad histórica del despojo y condiciones para el retorno, como presupuestos que deben coexistir y que tienen por finalidad garantizar la aptitud de la restitución del predio, sin el riesgo de una revictimización, como consecuencia del conflicto armado interno.
Que en virtud de lo anterior, la política de restitución de tierras debe implementarse, primero, en aquellos lugares en donde se han presentado mayores índices de despojo y abandono de tierras, en los que existan condiciones favorables para que las víctimas restituidas puedan retornar a sus predios con plena tranquilidad y así, dar cumplimiento a los principios de gradualidad y progresividad en la restitución.
Que en aplicación de los principios señalados anteriormente, el Decreto 1071 de 2015 en su artículo 2.15.1.2.3 establece que se adelantará un proceso de macro y microfocalización, mediante el cual se definirán las áreas geográficas en las cuales se realizará el estudio de las solicitudes recibidas.
Que de conformidad con el artículo 2.15.1.2.4 del Decreto 1071 de 2015, modificado por el artículo 1o del Decreto 440 de 2016, la macrofocalización para la implementación del RTDAF será definida de manera conjunta por el Ministro de Defensa Nacional y el Ministro de Agricultura y Desarrollo Rural o sus delegados, para lo cual este último contará con el acompañamiento del Director General de la Unidad de Restitución o su delegado.
Que de acuerdo a la norma antes señalada, para la adopción de la decisión de macrofocalización, se tendrá en cuenta el concepto de seguridad suministrado por el Centro Integrado de Inteligencia para la Restitución de Tierras (CI2RT).
Que el artículo 2.15.5.1 del Decreto 1071 de 2015, dispone que la UAEGRTD, con fundamento en la información suministrada por la instancia establecida por el Ministerio de Defensa Nacional, asumirá el proceso de microfocalización tendiente a definir las áreas geográficas (municipios, veredas, corregimientos o predios) donde se adelantarán los análisis previos para la inscripción de predios en el RTDAF.
Que el artículo 2.15.1.1.16 del Decreto 1071 de 2015, adicionado por el artículo 4o del Decreto 440 de 2016, dispone que para la apertura y cierre de cada microzona se adelantarán con suficiente antelación campañas informativas, a fin de dar publicidad a las respectivas decisiones.
Que en virtud de lo dispuesto en el Decreto 1071 de 2015, se macrofocalizaron las zonas para la implementación del RTDAF, dentro de las cuales se encuentra el departamento de Putumayo.
Que de acuerdo con el artículo 2.15.1.2.4 del Decreto 1071 de 2015, modificado por el artículo 1o del Decreto 440 de 2016, la microfocalización está a cargo de la UAEGRTD, quien consultará a las diferentes autoridades con el fin de verificar las condiciones para el retorno y seguridad.
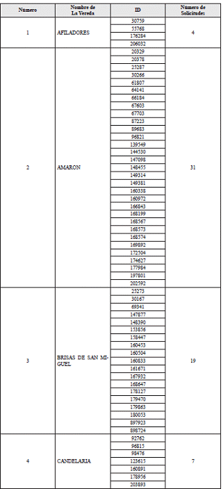
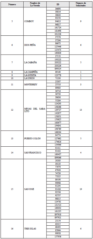
Que la Dirección Territorial Putumayo de la Unidad de Restitución de Tierras, se propuso microfocalizar las veredas, Mesas del Sabalito, Candelaria, Tres Islas, La Cabaña, La Campiña, Amaron, La Guisita, Comboy, C.U. Puerto Colón, Dios Peña, Agua Blanca, Monterrey, Afiladores, Brisas de San Miguel, San Francisco, La Unión y Vereda San José, en el municipio de San Miguel, departamento de Putumayo, en atención al índice de despojo evidenciado en las solicitudes de inscripción en el RTDAF, respecto de predios ubicados en la zona.
Que para tal efecto se consultó a la Dirección para la Acción Integral contra Minas Antipersonal (Daicma), a fin de establecer que las zonas respecto de las cuales se pretende desarrollar el trámite administrativo de inscripción en el RTDAF, no cuentan con sospecha de presencia de minas antipersonal (MAP), municiones sin explotar (MUSE) y/o de artefactos explosivos improvisados con características de mina antipersonal (AEI).
Que el Ministerio de Defensa Nacional, por intermedio del Centro Integrado de Inteligencia para la Restitución (CI2RT), rindió el respectivo informe técnico de inteligencia, mediante oficio número S-2017/022653/ COMAN-SIPOL-29 del 14 de septiembre de 2017, en el que describió la situación general de seguridad en el municipio de San Miguel.
Que así mismo, en cumplimiento de lo establecido en el artículo 2.15.1.2.4. del Decreto 1071 de 2015, modificado por el artículo 1o del Decreto 440 de 2016, se convocó el Comité Operativo Local de Restitución y Formalización de Tierras Despojadas Forzosamente (COLR).
Que en sesión de 00003 de fecha 08/11/2017, se determinó implementar de manera gradual y progresiva el RTDAF en microfocalizar el Comité Operativo Local de Restitución, evaluó entre otros aspectos: (i) el diagnóstico de seguridad entregado por el Centro Integrado de Inteligencia para la Restitución de Tierras CI2RT, (ii) la presencia y capacidad de las unidades de la Fuerza Pública en la zona objeto de microfocalización, (iii) la revisión de las capacidades propias de las entidades participantes en el Comité, (iv) el ambiente operacional y (v) la información remitida por la Dirección para la Acción Integral contra Minas Antipersonal (Daicma), respecto de la(s) zona(s) a intervenir.
Que una vez precisada la zona a intervenir, de conformidad con el inciso segundo del artículo 2.15.1.1.16 del Decreto 1071 de 2015 (adicionado por el artículo 4o del Decreto 440 de 2016), la Dirección Territorial realizó las siguientes actuaciones a fin de dar publicidad a la futura apertura de una microzona:
1 Se envió aviso de apertura, especificando las veredas a microfocalizar de San Miguel al correo publicaciones.edictos@restituciondetierras.gov.co, quienes son los encargados de realizar todo lo pertinente con la publicación de la futura microzona.
2. A través de aviso enviado al correo anteriormente especificado, se procede a solicitar la publicación del aviso de apertura en el diario de mayor circulación El Tiempo y/o El Espectador.
3. Se solicita su publicación, además en el medio de difusión radial La Fiera Putumayo y Maguare Estéreo del municipio de San Miguel para su transmisión.
Que en consecuencia, se estima que confluyen los criterios de seguridad, densidad histórica del despojo y condiciones para el retorno, enunciados en el artículo 76 de la Ley 1448 de 2011, para adelantar las actuaciones de la etapa administrativa de los procesos de restitución de tierras, tendientes a decidir sobre las solicitudes de inscripción en el RTDAF ubicadas en el área geográfica objeto de la presente resolución, por tanto, se tomará en conjunto con las demás autoridades nacionales y regionales, las medidas que se estimen convenientes para el buen desarrollo de los procedimientos de restitución.
En razón de todo lo expuesto,
RESUELVE:
PRIMERO. Microfocalizar las veredas, Mesas del Sabalito, Candelaria, Tres Islas, La Cabaña, La Campiña, Amaron, La Guisita, Comboy, C.U. Puerto Colón, Dios Peña, Agua Blanca, Monterrey, Afiladores, Brisas de San Miguel, San Francisco, La Unión y Vereda San José, municipio de San Miguel departamento de Putumayo, representado en el Mapa número UT_PT_ 86757_MF004 elaborado por esta Dirección Territorial, que forma parte integral del presente acto administrativo y que cuenta con las siguientes coordenadas geográficas en grados, minutos y segundos (MAGNA-SIRGAS(1) puntos extremos del área seleccionada, así:
Coordenadas geográficas (Magna Sirgas).
| Punto | LONGITUD (E) G ° M' S'' | LATITUD (N) G ° M' S'' |
| Punto 1 | -76°59'52.10” | 0°22'39.12” |
| Punto 2 | -76°5 11.97” | 0°21'36.31” |
| Punto 3 | -76°59'25.33” | 0°20'11.20” |
| Punto 4 | -76°58'27.91” | 0°19'15.47” |
| Punto 5 | -76°58'26.16” | 0°17'58.31” |
| Punto 6 | -76°57'16.07” | 0°19'16.15” |
| Punto 7 | -76°55'59.01” | 0°18'32.67” |
| Punto 8 | -76°55'26.56” | 0°17'38.72” |
| Punto 9 | -76°54'42.10” | 0°17'44.25” |
| Punto 10 | -76°53'52.26” | 0°17'40.81” |
| Punto 11 | -76°53'38.66” | 0°16'25.73” |
| Punto 12 | -76°51'7.51” | 0°16'5.92” |
| Punto 13 | -76°50'20.36” | 0°14'38.71” |
| Punto 14 | -76°50'54.93” | 0°14'24.93” |
| Punto 15 | -76°53'19.10” | 0°14'49.42” |
| Punto 16 | -76°54'31.07” | 0°14'50.92” |
| Punto 17 | -76°56'4.93” | 0°15'42.46” |
| Punto 18 | -76°56'38.35” | 0°16'13.99” |
| Punto 19 | -76°58'51.88” | 0°16'10.63” |
| Punto 20 | -77°0'21.99” | 0°17'45.15” |
| Punto 21 | -77°1'37.01” | 0°16'41.69” |
| Punto 22 | -77°2'57.70” | 0°17'31.84” |
| Punto 23 | -77°2'16.52” | 0°19'30.82” |
| Punto 24 | -77°0'52.84” | 0°20'1.93” |
| Punto 25 | -77°1'27.11” | 0°21'43.15” |
| Punto 26 | -76°45'59.79” | 0°14'38.59” |
| Punto 27 | -76°48'10.44” | 0°15'46.44” |
| Punto 28 | -76°48'7.31” | 0°16'40.38” |
| Punto 29 | -76°49'20.23” | 0°16'47.25” |
| Punto 30 | -76°50'22.63” | 0°17'36.35” |
| Punto 31 | -76°50'43.31” | 0°18'20.23” |
| Punto 32 | -76°48'29.34” | 0°18'55.07” |
| Punto 33 | -76°46'32.41” | 0°19'57.99” |
| Punto 34 | -76°44'26.93” | 0°18'5.58” |
| Punto 35 | -76°45'53.43” | 0°20'23.13” |
| Punto 36 | -76°39'23.86” | 0°19'50.10” |
| Punto 37 | -76°38'30.00” | 0°15'30.89” |
| Punto 38 | -76°39'6.02” | 0°15'7.18” |
| Punto | LONGITUD (E) G ° M' S'' | LATITUD (N) G ° M' S'' |
| Punto 39 | -76°39'32.87” | 0°16'27.72” |
| Punto 40 | -76°40'36.89” | 0°16'12.66” |
| Punto 41 | -76°42'40.75” | 0°16'11.05” |
| Punto 42 | -76°43'55.64” | 0°17'21.03” |
| Punto 43 | -76°44'26.11” | 0°16'48.35” |
| Punto 44 | -76°46'2.87” | 0°15'50.50” |
| Punto 45 | -76°45'9.66” | 0°15'19.61” |


| MUNICIPIO | SIPOD | RUPTA | RESTITUCION |
| SAN MIGUEL (Zona microfocalizada ) | 23226 | 200 | 119 |

SEGUNDO. Solicitar al Comité Operativo Local de Restitución y Formalización de Tierras Despojadas y Abandonadas Forzosamente (COLR), realizar el seguimiento respectivo a efectos de verificar la situación de seguridad y condiciones para el retorno, con el fin de generar los presupuestos necesarios para garantizar la restitución y su sostenibilidad.
TERCERO. Solicitar a las autoridades locales los apoyos institucionales que se requieran para la implementación del Registro.
CUARTO. Publíquese la presente resolución en el Diario Oficial, de conformidad con el artículo 65 de la Ley 1437 de 2011, aplicable por remisión según el artículo 2.15.1.6.9 del Decreto 1071 de 2015.
QUINTO. Contra la presente resolución no procede ningún recurso.
Publíquese, comuníquese y cúmplase.
Dada en Mocoa, a 12 de diciembre de 2017.
La Director Territorial Putumayo de la Unidad Administrativa Especial de Gestión de Restitución de Tierras Despojadas,
David Fernando Narváez Gómez.