RESOLUCIÓN RI 1446 DE 2017
(septiembre 28)
Diario Oficial No. 50.413 de 10 de noviembre de 2017
UNIDAD ADMINISTRATIVA ESPECIAL DE GESTIÓN DE RESTITUCIÓN DE TIERRAS DESPOJADAS
Por la cual se microfocaliza un área geográfica para implementar el Registro de Tierras Despojadas y Abandonadas Forzosamente.
EL DIRECTOR TERRITORIAL,
en ejercicio de las facultades legales otorgadas por la Ley 1448 de 2011, los Decretos 1071 de 2015 y 440 de 2016, y las Resoluciones 0131, 141 y 227 de 2012, y
CONSIDERANDO:
Que los numerales 1 y 2 del artículo 105 de la Ley 1448 de 2011, establecen que serán funciones de la Unidad Administrativa Especial de Gestión de Restitución de Tierras Despojadas (UAEGRTD), diseñar, administrar y conservar el Registro de Tierras Despojadas y Abandonadas Forzosamente (RTDAF), en el que se incluirá, de oficio o a solicitud de parte, a las personas y los predios que corresponda y se certificará sobre dicha inscripción.
Que el inciso 2 del artículo 76 de la Ley 1448 de 2011 dispone que el RTDAF se implementará de manera gradual y progresiva atendiendo a los criterios de seguridad, densidad histórica del despojo y condiciones para el retorno, como presupuestos que deben coexistir y que tienen por finalidad garantizar la aptitud de la restitución del predio, sin el riesgo de una revictimización, como consecuencia del conflicto armado interno.
Que en virtud de lo anterior, la política de restitución de tierras debe implementarse, primero, en aquellos lugares en donde se han presentado mayores índices de despojo y abandono de tierras, en los que existan condiciones favorables para que las víctimas restituidas puedan retornar a sus predios con plena tranquilidad y así dar cumplimiento a los principios de gradualidad y progresividad en la restitución.
Que en aplicación de los principios señalados anteriormente, el Decreto 1071 de 2015 en su artículo 2.15.1.2.3 establece que se adelantará un proceso de macro- y microfocalización, mediante el cual se definirán las áreas geográficas en las cuales se realizará el estudio de las solicitudes recibidas.
Que de conformidad con el artículo 2.15.1.2.4 del Decreto 1071 de 2015, modificado por el artículo 1o del Decreto 440 de 2016, la macrofocalización para la implementación del RTDAF será definida de manera conjunta por el Ministro de Defensa Nacional y el Ministro de Agricultura y Desarrollo Rural o sus delegados. Para lo cual este último contará con el acompañamiento del Director General de la Unidad de Restitución o su delegado.
Que de acuerdo a la norma antes señalada, para la adopción de la decisión de macrofocalización, se tendrá en cuenta el concepto de seguridad suministrado por el Centro de Integrado de Inteligencia para la Restitución de Tierras (CI2RT).
Que el artículo 2.15.5.1 del Decreto 1071 de 2015 dispone que la UAEGRTD, con fundamento en la información suministrada por la instancia establecida por el Ministerio de Defensa Nacional, asumirá el proceso de microfocalización tendiente a definir las áreas geográficas (municipios, veredas, corregimientos o predios) donde se adelantarán los análisis previos para la inscripción de predios en el RTDAF.
Que el artículo 2.15.1.1.16 del Decreto 1071 de 2015, adicionado por el artículo 4o del Decreto 440 de 2016, dispone que para la apertura y cierre de cada microzona se adelantarán con suficiente antelación campañas informativas, a fin de dar publicidad a las respectivas decisiones.
Que en virtud de lo dispuesto en el Decreto 1071 de 2015, se macrofocalizaron las zonas para la implementación del RTDAF, dentro de las cuales se encuentra el Departamento del Tolima.
Que de acuerdo con el artículo 2.15.1.2.4 del Decreto 1071 de 2015, modificado por el artículo 1o del Decreto 440 de 2016, la microfocalización está a cargo de la UAEGRTD, quien consultará a las diferentes autoridades con el fin de verificar las condiciones para el retorno y seguridad.
Que la Dirección Territorial Tolima de la Unidad de Restitución de Tierras se propuso microfocalizar el Corregimiento de Santiago Pérez y las veredas Los Mangos, La nsillada, La Dorada, Las Palmas, Buenos Aires, Versalles, Pando La Soledad, Campo Hermoso, Filadelfia, El Darién, El Pescado, Agua Dulce, El Águila, La Cristalina, El Aceituno, La Miranda y Jesús María Oviedo del municipio de Ataco - Tolima, en atención al índice de despojo evidenciado en las solicitudes de inscripción en el RTDAF, respecto de predios ubicados en la zona, y teniendo en cuenta el documento de análisis situacional elaborado por el área social de la Dirección Territorial Tolima de fecha cinco (5) de septiembre de dos mil diecisiete (2017).
Que para tal efecto se consultó a la Dirección para la Acción Integral contra Minas Antipersonal (DAICMA), a fin de establecer que la(s) zona(s) respecto de la(s) cual(es) se pretende desarrollar el trámite administrativo de inscripción en el RTDAF, no cuenta(n) con sospecha de presencia de minas antipersonal (MAP), municiones sin explotar (MUSE) y/o de artefactos explosivos improvisados con características de mina antipersonal (AEI).
Que mediante Oficio número OFI17-00087018 / JMSC111720 de fecha 14 de julio de 2017, el DAICMA indicó que en la zona cuya microfocalización se pretende no existen los factores del riesgo antes señalados, al señalar que: “(…) se afirma que el municipio de Ataco está libre de sospecha de mina antipersona”.
Que el Ministerio de Defensa Nacional, por intermedio del Centro Integrado de Inteligencia para la Restitución (CI2RT), rindió el respectivo informe técnico de inteligencia, mediante diagnóstico de seguridad de fecha treinta y uno (31) de julio de dos mil diecisiete (2017), en el que describió la situación general de seguridad en Ataco - Tolima.
Que asimismo, en cumplimiento de lo establecido en el artículo 2.15.1.2.4., del Decreto 1071 de 2015, modificado por el artículo 1o del Decreto 440 de 2016, se convocó el Comité Operativo Local de Restitución y Formalización de Tierras Despojadas Forzosamente (COLR).
Que en sesión del cuatro (4) de agosto de dos mil diecisiete (2017) el Comité Operativo Local de Restitución, evaluó entre otros aspectos: (i) el diagnóstico de seguridad entregado por el Centro Integrado de Inteligencia para la Restitución de Tierras (CI2RT), (ii) la presencia y capacidad de las unidades de la Fuerza Pública en la zona objeto de microfocalización, (iii) la revisión de las capacidades propias de las entidades.
Que una vez precisada la zona a intervenir, de conformidad con el inciso segundo del artículo 2.15.1.1.16 del Decreto 1071 de 2015 (adicionado por el artículo 4o del Decreto 440 de 2016), la Dirección Territorial realizó las siguientes actuaciones a fin de dar publicidad a la futura apertura de una microzona:
1. Publicación de noticia informativa mediante entrevista realizada al Director Territorial en el diario El Nuevo Día realizada el día 30 de agosto de 2017.
2. Entrevista radial realizada al Director Territorial en la emisora Ecos del Combeima el día 25 de agosto de 2017.
3. Desde el día 25 de septiembre de 2017 se encuentra publicada en la cartelera de la Alcaldía del municipio de Ataco, según certificación emitida por dicha entidad de fecha 28 de septiembre de 2017.
4. Asimismo se ordenó la difusión de la presente actuación administrativa en la página web, redes sociales, emisoras y demás medios de comunicación.
Que en consecuencia, se estima que confluyen los criterios de seguridad, densidad histórica del despojo y condiciones para el retorno, enunciados en el artículo 76 de la Ley 1448 de 2011, para adelantar las actuaciones de la etapa administrativa de los procesos de restitución de tierras, tendientes a decidir sobre las solicitudes de inscripciones en el RTDAF ubicadas en el área geográfica objeto de la presente resolución, por tanto se tomará en conjunto con las demás autoridades nacionales y regionales, las medidas que se estimen convenientes para el buen desarrollo se los procedimientos de restitución.
En razón de todo lo expuesto,
RESUELVE:
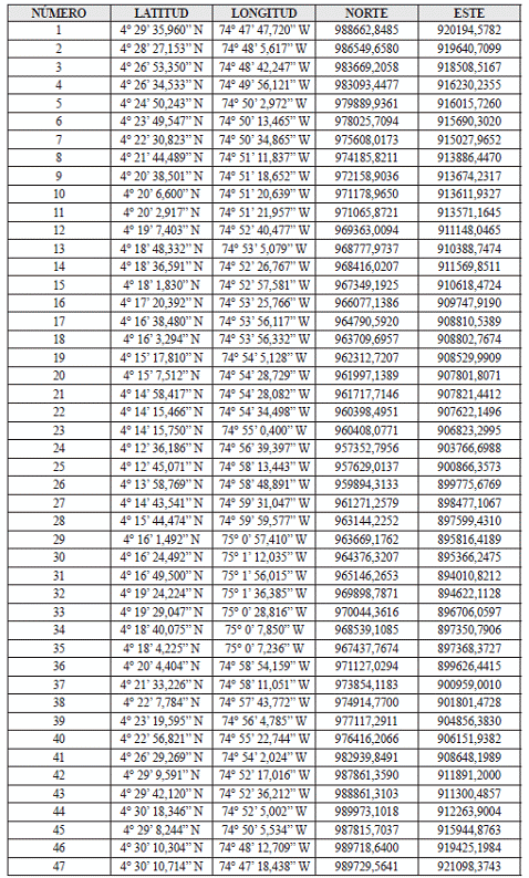
PRIMERO. Microfocalizar el Corregimiento de Santiago Pérez y las veredas Los Mangos, La Ensillada, La Dorada, Las Palmas, Buenos Aires, Versalles, Pando La Soledad, Campo Hermoso, Filadelfia, El Darién, El Pescado, Agua Dulce, El Águila, La Cristalina, El Aceituno, La Miranda y Jesús María Oviedo del municipio de Ataco - Tolima, representado en el mapa número UT-TH-73067_MF003, elaborado por esta Dirección Territorial, que forma parte integral del presente acto administrativo y que cuenta con las siguientes coordenadas geográficas en grados, minutos y segundos (MAGNA-SIRGAS(1)) puntos extremos del área seleccionada, así:

SEGUNDO. Solicitar al Comité Operativo Local de Restitución y Formalización de Tierras Despojadas y Abandonadas Forzosamente (COLR), realizar el seguimiento respectivo a efectos de verificar la situación de seguridad y condiciones para el retorno, con el fin de generar los presupuestos necesarios para garantizar la restitución y su sostenibilidad.
TERCERO. Solicitar a las autoridades locales los apoyos institucionales que se requieran para la implementación del Registro.
CUARTO. Publíquese la presente resolución en el Diario Oficial, de conformidad con el artículo 65 de la Ley 1437 de 2011, aplicable por remisión según el artículo 2.15.1.6.9 del Decreto 1071 de 2015.
Quinto. Contra la presente resolución no procede ningún recurso.
Publíquese, comuníquese y cúmplase.
Dada en la ciudad de Ibagué, Tolima, a 28 de septiembre de 2017.
El Director Territorial Tolima, Unidad Administrativa Especial de Gestión de
Restitución de Tierras Despojadas,
LUIS ALFONSO RUIZ ALEGRÍA.
NOTAS AL FINAL
1. MAGNA-SIRGAS: Marco Geocéntrico Nacional de Referencia - Sistema de Referencia Geocéntrico para las Américas, es el sistema de coordenadas oficial, adoptado por Colombia mediante la Resolución 068 de enero 28 de 2005 del IGAC, en el que se deben presentar todos los trabajos de localización geográfica en los que se incluyen los levantamientos topográficos. Para una mejor comprensión del concepto definimos los siguientes términos: Localización geográfica: ubicar un objeto en el espacio.
Levantamiento topográfico: es un procedimiento que está dirigido a recoger los datos de coordenadas y distancias para representarlos en un plano.