RESOLUCIÓN RV 1507 DE 2017
(octubre 13)
Diario Oficial No. 50.405 de 2 de noviembre de 2017
UNIDAD ADMINISTRATIVA ESPECIAL DE GESTIÓN DE RESTITUCIÓN DE TIERRAS DESPOJADAS TERRITORIAL VALLE DEL CAUCA Y EJE CAFETERO
Por la cual se microfocaliza un área geográfica en el departamento de Caldas, para implementar el Registro de Tierras Despojadas y Abandonadas Forzosamente.
LA DIRECTORA TERRITORIAL,
en ejercicio de las facultades legales otorgadas por la Ley 1448 de 2011, los Decretos números 1071 de 2015 y 440 de 2016, y las Resoluciones números 0131, 141 y 227 de 2012, y
CONSIDERANDO:
…
RESUELVE:
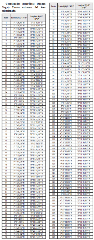
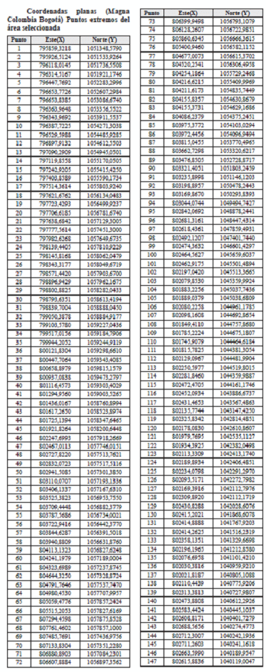
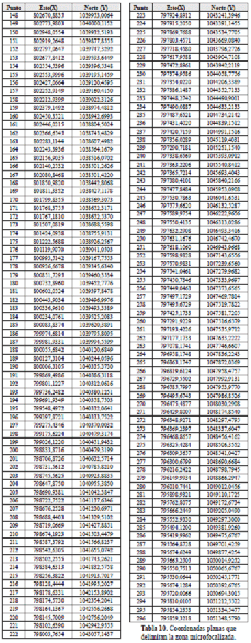
PRIMERO. Microfocalizar el municipio de Viterbo, en el departamento de Caldas, representados en el Plano número UT_VC_17877_MF0001, elaborado por esta Dirección Territorial, el cual hará parte integral del presente acto administrativo y que cuenta con las siguientes coordenadas geográficas en grados, minutos y segundos (MAGNA-SIRGAS(1)) puntos extremos del área seleccionada, así:




PARÁGRAFO 1. Para efectos del acto administrativo de microfocalización, en todo caso se tendrá en cuenta para el trámite administrativo, las solicitudes que se encuentren georreferenciadas al interior del polígono de la zona microfocalizada en esta resolución, cuyas coordenadas están relacionadas en la tabla del presente artículo junto con el plano.
SEGUNDO. Priorizar las solicitudes de restitución de acuerdo con los artículos 114 y 115 de la Ley 1448 de 2011 en concordancia con el artículo 13 de la misma ley.
TERCERO. Solicitar al Comité Operativo Local de Restitución y Formalización de Tierras Despojadas y Abandonadas Forzosamente (COLR), realizar el seguimiento respectivo a efectos de verificar la situación de seguridad y condiciones para el retorno, con el fin de generar los presupuestos necesarios para garantizar la restitución y su sostenibilidad.
CUARTO. Solicitar a las autoridades locales los apoyos institucionales que se requieran para la implementación del Registro.
QUINTO. Publíquese la presente resolución en el Diario Oficial, de conformidad con el artículo 65 de la Ley 1437 de 2011, aplicable por remisión según el artículo 2.15.1.6.9 del Decreto número 1071 de 2015.
SEXTO. Contra la presente resolución no procede ningún recurso.
Publíquese y cúmplase.
Dada en la ciudad de Pereira, a 13 de octubre de 2017.
La Directora Territorial Valle del Cauca y Eje Cafetero, Unidad Administrativa Especial de Gestión de Restitución de Tierras Despojadas,
SANDRA PAOLA NIÑO NIÑO.
NOTAS AL FINAL:
1. MAGNA-SIRGAS: Marco Geocéntrico Nacional de Referencia – Sistema de Referencia Geocéntrico para las Américas, es el sistema de coordenadas oficial, adoptado por Colombia mediante la Resolución número 068 de enero 28 de 2005 del IGAC, en el que se deben presentar todos los trabajos de localización geográfica en los que se incluyen los levantamientos topográficos.
Para una mejor comprensión del concepto definimos los siguientes términos:
Localización geográfica: ubicar un objeto en el espacio.
Levantamiento topográfico: es un procedimiento que está dirigido a recoger los datos de coordenadas y distancias para representarlos en un plano.
