RESOLUCIÓN 184 DE 2018
(agosto 2)
Diario Oficial No. 50.681 de 10 de agosto de 2018
AGENCIA NACIONAL DE MINERÍA
Por la cual se señala y delimita la Zona Minera Indígena del Resguardo Indígena Polines ubicado en los municipios de Chigorodó y Carepa, departamento de Antioquia.
EL VICEPRESIDENTE DE PROMOCIÓN Y FOMENTO DE LA AGENCIA NACIONAL DE MINERÍA,
en uso de las facultades legales establecidas por el artículo 122 de la Ley 685 de 2001, y en especial las conferidas en el numeral 7 del artículo 17 del Decreto 4134 de 2011, la Resolución número 273 de 31 de mayo de 2018 de la Agencia Nacional de Minería, y
CONSIDERANDO:
Que el artículo 122 de la Ley 685 de 2001 establece que “La autoridad minera señalará y delimitará, con base en estudios técnicos y sociales, dentro de los territorios indígenas, zonas mineras indígenas en las cuales la exploración y explotación del suelo y subsuelo mineros deberán ajustarse a las disposiciones especiales del presente Capítulo sobre protección y participación de las comunidades y grupos indígenas asentados en dichos territorios (…)”.
Que de acuerdo con el Decreto 070 de 2001, era función del Ministerio de Minas y Energía delimitar las zonas mineras indígenas, de comunidades negras y mixtas, de acuerdo con las solicitudes presentadas por las comunidades.
Que ante el Ministerio de Minas y Energía, el Gobernador Mayor del Cabildo Indígena Chigorodó, mediante escrito radicado bajo el No. 2007018970 de 30 de abril de 2007 (folio 1), solicitó la declaratoria de una Zona Minera Indígena en el Resguardo Indígena Polines.
Que de conformidad con el Decreto 4134 de 2011, el Ministerio de Minas y Energía procedió a hacer entrega a la Agencia Nacional de Minería, mediante Acta número 4 del 15 de enero de 2013 (folios 90-93), del expediente correspondiente a la solicitud de una Zona Minera Indígena en el Resguardo Indígena de Polines.
Que el numeral 1 del artículo 4o del Decreto 4134 de 2011 establece que la Agencia Nacional de Minería (ANM), debe ejercer la función de autoridad minera o concedente en el territorio Nacional.
Que el numeral 7) del artículo 17 del Decreto 4134 de 2011 asigna a la Vicepresidencia de Promoción y Fomento la función de “Dirigir los estudios técnicos y sociales requeridos para señalar y delimitar las zonas mineras indígenas, de comunidades negras y mixtas, así como la declaratoria de las mismas, en los términos establecidos en la ley”, y de acuerdo con el concepto emitido por la Oficina Asesora Jurídica, mediante memorando interno número 20131200111993, establece que “la facultad de delimitar y declarar zonas mineras indígenas, de comunidades negras o mixtas se encuentra en cabeza de la Vicepresidencia de Promoción y Fomento”, el cual fue reiterado mediante correo electrónico del 8 de octubre de 2013 emitido por el Jefe de la Oficina Asesora Jurídica.
Que mediante oficio número 20134120081271 de 9 de abril de 2013 (folios 94-95), la Agencia Nacional de Minería solicitó a la Dirección de Asuntos Indígenas ROM y Minorías del Ministerio del Interior, certificación sobre el nombre del representante legal o de quien o quienes a la fecha, ejercían como autoridades tradicionales para el Resguardo Indígena Polines. Dicha solicitud fue reiterada mediante oficio número 20144100081431 del 19 de marzo de 2014 (folio 139).
Que reposan en el expediente la Resolución número 060 de agosto 19 de 1987, expedida por el Instituto Colombiano de la Reforma Agraria (Incora) (folios 100-108), “por la cual se constituye como resguardo indígena en favor de la Comunidad Embera - Katío de Polines dos globos de terreno baldío ubicados en el Municipio de CHIGORODÓ, departamento de Antioquia”, la Resolución número 50 de noviembre 29 de 1994 (folios 109-117), y la Resolución número 025 de julio 22 de 2003 (folios 118-123) expedidas por la misma entidad con el objetivo de ampliar el Resguardo Indígena Polines.
Que la Dirección de Asuntos Indígenas, ROM y Minorías del Ministerio del Interior a través de oficio número 20145500175902 de 30 de abril de 2014 (folios 140-141), en relación con el Resguardo Indígena Polines, señaló lo siguiente:
* Consultadas las bases de datos institucionales de esta Dirección y las aportadas por el Incora (hoy Incoder), en jurisdicción del municipio de Chigorodó, departamento de Antioquia, se registran los resguardos de Polines, constituido legalmente por el Incora (Hoy Incoder) con las Resoluciones Nos. 060 del 19 de agosto de 1987, 50 del 29 de noviembre de 1994 y 025 del 22 de julio de 2003 (ampliación) y el Resguardo de Yaberaradó, constituido con la Resolución número 30 del 31 de mayo de 1999, así mismo se encuentra inscrito el señor Darío Carupia Cunapa, identificado con cédula de ciudadanía número 71250682 de Carepa, como Gobernador Mayor del Cabildo Mayor de Chigorodó, en representación de los Cabildos Locales del Resguardo Indígena de Polines y de las comunidades indígenas de Juradó Alto (mismo Saundo), Guapa Alto, Dojura y Chigorodocito (mismo Baujodó), las cuales hacen parte del Resguardo de Yaberaradó, según acta de posesión de fecha 17 de julio de 2012, expedida por la Alcaldía Municipal de Chigorodó. El periodo del señor Darío Carupia Cuñapa como Gobernador Mayor es de cuatro años, de acuerdo con la certificación expedida por la Alcaldía Municipal de Chigorodó de fecha 17 de julio de 2012.
Que mediante radicado ANM número 20154100291531 del 29 de septiembre de 2015 (folio 187), la Agencia Nacional de Minería convocó a la comunidad del Resguardo Indígena Polines, a través del Gobernador del Cabildo Mayor de Chigorodó, con el fin de realizar la socialización correspondiente de las implicaciones legales y alcances que tiene la señalización y declaratoria de una Zona Minera Indígena en su territorio.
Que en desarrollo del Contrato de Consultoría número 0217 de 2015 suscrito entre la Agencia Nacional de Minería y la empresa Geociencias e Ingeniería - Geocing S.A.S., se realizó visita técnica para la señalización y delimitación de una Zona Minera Indígena en el Resguardo Indígena Polines, visita que arrojó como resultado el informe recibido por la Agencia Nacional de Minería mediante radicación número 20155510388072 de 24 de noviembre de 2015 (folios 197-356), el cual, en los acápites de Conclusiones y Recomendaciones (folios 326-328), establece:
9. Conclusiones
Geológicamente el sector minero está Caracterizado (sic) por la presencia de formaciones rocosas Neógenas y Cretácicas compuestas por paquetes conglomeráticos, arenosos, limosos y arcillas, medianamente litificados, es posible localizar depósitos aluviales recientes y terrazas, conformados por cantos, guijas, guijarros, arenas, limos y arcillas no litificadas acumuladas en las llanuras sujetas a inundaciones periódicas.
El potencial minero para los Resguardos Indígenas de Polines y Yaberaradó identificado, corresponde a la totalidad de sus territorios colectivos, los ríos Juradó, Chigorodó, Piedras Blancas son los principales drenajes, además de las quebradas afluentes de estos, presentan ocurrencias de depósitos aluviales con buenos contenidos de oro, las Formaciones Maralú y Corpa, están presentes en la totalidad del consejo comunitario y están compuestas por estratos areno-limosos óptimos para la fabricación de bloques y ladrillos, además de los conglomerados que a futuro servirán para base y sub-base de proyectos viales en la zona.
Analizando el componente geológico minero, los polígonos de potencial minero para los Resguardos Indígenas Polines y Yaberaradó, están conformados por tres globos pertenecientes a oro aluvial, materiales para la construcción y agregados pétreos descritos en el numeral 6.3 del presente informe.
Las Comunidades Embera (sic) Katío y Embera (sic) Chamí de los resguardos Polines y Yaberaradó, se encuentran asentadas de manera irregular en las vertientes de los ríos Chigorodó, Piedras Blancas, Polines, Chigorodocito, cerca de las fuentes de agua, en pequeñas comunidades, indicando un patrón de poblamiento semidisperso sobre un territorio “comunal” compartido y el uso de la misma es de carácter comunal.
Ambos resguardos poseen en común la forma organizativa y los planes de vida, además adelantan proyectos de explotación forestal sostenible. Todas las acciones dentro del territorio se hace conjuntamente, sin embargo frente a las decisiones del territorio lo hacen las comunidades de cada resguardo.
Las actividades económicas se centran en la agricultura de subsistencia y de alimentos de la dieta básica Embera (sic), extracción sostenible del bosque y en pequeña escala la actividad pecuaria.
Las comunidades de ambos resguardos conservan las tradiciones y los mitos en las que están: la construcción de las viviendas, el vestido de la mujer Embera (sic), la lengua materna, la medicina tradicional, los mitos de creación, orden del mundo, origen del agua, de la jagua, entre otros, la pintura facial y corporal, la música y la danza.
Poseen una organización política estructurada en los elementos fundamentales del pueblo Embera (sic), en cual, la comunidad es la que toma las decisiones y está en la cúspide la organización, mientras que el cabildo mayor solo es el que representa a los resguardos y acata las decisiones de las comunidades y se ubica en la última escala de La organización política.
10. Recomendaciones
Los Resguardos Indígenas de Polines y Yaberaradó, presentan unas zonas de potencial geológico minero de oro aluvial, materiales para la construcción y agregados pétreos, asociado a los ríos Juradó, Chigorodó, Piedras Blancas, Polín y sus afluentes, por lo que se recomienda a la Agencia Nacional de Minería continuar con el proceso de declaratoria como zona minera.
Se recomienda declarar la zona minera por parte de la ANM, a favor de los Resguardos Indígenas Polines y Yaberaradó, propuesto en los polígonos descritos en las tablas 3, 4 y 5 numeral 6.3 del presente informe, con base en sus recursos minerales potencialmente explotables, verificados en campo.
Que el Ministerio del Interior, mediante certificación “Sobre la presencia o no de comunidades étnicas en las zonas de proyectos, obras o actividades a realizarse” No. 1697 del 27 de diciembre de 2016 (folios 576-583), certificó que se registra la presencia del Resguardo Indígena Polines de la etnia Embera Katío, registrado con Resolución número 060 del 19 de agosto de 1987, en el área del proyecto: “Delimitación de Zona Minera de Polines, ubicado en el municipio de Chigorodó en el Departamento de Antioquia”.
Que a través de oficio ANM número 20164100275961 del 2 de agosto de 2016 (folio 375), la Agencia Nacional de Minería convocó a la comunidad del Resguardo Indígena Polines a la correspondiente validación del proceso de señalización y delimitación de una Zona Minera Indígena.
Que el día 8 de agosto de 2016 (folios 376-391) se llevó a cabo socialización y validación del trámite para señalar y delimitar una Zona Minera Indígena a favor del Resguardo Indígena Polines, y como resultado de esta socialización y validación, el representante legal del mismo, Gobernador del Cabildo Mayor de Chigorodó, Darío Curupa Cunapa, manifestó lo siguiente conforme obra a folio 388:
(…) conocemos los efectos legales, los derechos y deberes correlativos que se generan a favor del Resguardo Indígena, Yaberaradó y Polines con ocasión del señalamiento y delimitación de la Zona Minera, todo lo cual, generará beneficios de carácter social, económico y ambiental que son compatibles con nuestros usos y costumbres indígenas, por lo tanto, al estar plenamente de acuerdo, solicitamos no adelantar Consulta Previa para el señalamiento y delimitación de la Zona Minera Indígena de iniciativa de nuestra comunidad, en tanto la misma propende por la garantía del ejercicio de nuestros derechos a la autonomía, al autogobierno y a la identidad cultural entre otros.
Que mediante oficio ANM número 20164100285681 del 11 de agosto de 2016 (folios 392-393), esta Agencia solicitó a la Dirección de Consulta Previa del Ministerio del Interior el pronunciamiento sobre el documento de consentimiento emitido por el Resguardo Indígena Polines en atención a la solicitud de no llevar a cabo consulta previa para el señalamiento y delimitación de la Zona Minera Indígena, tratándose de una solicitud de iniciativa autónoma de la referida comunidad étnica.
Que el Ministerio del Interior mediante oficio OFI16-000037464-DCP-25000 de 10 de octubre de 2016, radicado ante la Agencia Nacional de Minería bajo el No. 20165510341282 de 24 octubre de 2016 (folios 394-396), se pronunció respecto al consentimiento emitido por el Resguardo Indígena Polines, en los siguientes términos:
D) Concepto final
Según el análisis realizado, esta Dirección debe informar a la Agencia Nacional de Minería (ANM) que en el contexto del proyecto estudiado y considerando los argumentos previamente expuestos y la manifestación expresa de la comunidad “Resguardo Indígena Yaberaradó y Polines”, no se debe agotar el proceso de consulta previa respecto de esta comunidad.
Que atendiendo el referido pronunciamiento de la Dirección de Consulta Previa del Ministerio del Interior y el consentimiento emitido por el Resguardo Indígena Polines, esta Autoridad procederá de conformidad.
Que a folios 634 al 636 del expediente que nos ocupa, obra el Informe de Revisión documental del trámite para señalar y declarar una Zona Minera Indígena a favor del Resguardo Indígena Polines, a través del cual, el Grupo de Fomento concluyó lo siguiente:
Conclusión: Teniendo en cuenta las recomendaciones del informe de visita efectuado y la documentación soporte del expediente, este se encuentra ajustado al procedimiento de Delimitación y Declaración de Zonas Mineras - Código: MIS 1-P-002, Versión:2, vigente desde el 11 de marzo de 2015.
Que la comunidad del Resguardo Indígena Polines, junto con el Gobernador del Cabildo Chigorodó, manifestó expresamente la voluntad de la Comunidad Étnica de continuar con la delimitación y declaración de una zona minera indígena en el Resguardo Indígena Polines.
De acuerdo con lo anterior se recomienda: continuar con el trámite de la solicitud de zona minera para el Resguardo Indígena Polines.
Que mediante memorando número 20182200304473 (folios 647-661), el Grupo de Catastro y Registro Minero remitió el Certificado de Área Libre ANM-CAL-0114-18 y reporte gráfico ANM RG-1609-18 de 25 de julio de 2018, que contienen la delimitación final del área susceptible de establecer como Zona Minera Indígena dentro del Resguardo Indígena Polines, en los municipios de Chigorodó y Carepa departamento de Antioquia donde se establece y define un área libre total de 2563,16 hectáreas, distribuidas en un (1) polígono, que se indicarán en la parte resolutiva del presente acto administrativo. Igualmente se señalaron las áreas a establecer como sitios de especial significado cultural, social y económico para la comunidad, las cuales se encuentran ubicadas dentro del polígono del Resguardo Indígena Polines, en las coordenadas que se indicarán en la parte resolutiva de la presente resolución; por tanto, estas serán señaladas como áreas indígenas restringidas de minera en virtud de lo dispuesto en el artículo 127 de la Ley 685 de 2001. Estos resultados atendiendo el reporte de superposiciones que se establece a continuación (folio 660):
(…)
2. Estudio de superposiciones
A continuación se muestra el Reporte de Superposiciones de Títulos y/o Solicitudes
Reporte de Superposiciones
| CAPA | CODIGO_EXP | MINERALES | PORCENTAJE |
| PROPUESTA DE CONTRATO DE CONCESIÓN MINERA | TAN-09311 | ARENAS Y GRAVAS NATURALES Y SILÍCEAS | 7,35 |
| PROPUESTA DE CONTRATO DE CONCESIÓN MINERA | PI5-09051 | ARENAS Y GRAVAS NATURALES Y SILÍCEAS\ MATERIALES DE CONSTRUCCIÓN\ GRAVILLA (MIG) | 0,01 |
| PROPUESTA DE CONTRATO DE CONCESIÓN MINERA | 0G2-08397 | MINERALES DE ORO Y PLATINO, Y SUS CONCENTRADOS | 1,51 |
| CAPA | NOMBRE | DESCRIPCIÓN | PORCENTAJE |
| RESTRICCIÓN | RES_IND_POLINES | INFORMATIVO - ZONAS MICROFOCALIZADAS RESTITUCIÓN DE TIERRAS - UNIDAD DE RESTITUCIÓN DE TIERRAS - ACTUALIZACIÓN 09/04/2018 - INCORPORADO AL CMC 12/07/2018 | 100% |
| CAPA | NOMBRE | DESCRIPCIÓN | PORCENTAJE |
| *ÁREAS AMBIENTALES DE EXCLUSIÓN MINERA | ZONAS DE PROTECCIÓN Y DESARROLLO DE LOS RECURSOS NATURALES RENOVABLES-DMRI HUMEDALES SERRANÍA ABIBE | RESOLUCIÓN 2157 DEL 23 DE OCTUBRE DE 2017 - PRÓRROGA POR EL TÉRMINO DE UN AÑO, CONTADOS A PARTIR DE LA EXPEDICIÓN DEL PRESENTE ACTO ADMINISTRATIVO LAS ZONAS DE PROTECCIÓN Y DESARROLLO DE LOS RECURSOS NATURALES RENOVABLES Y DEL MEDIO AMBIENTE | 16,61% |
*Se aclara que aunque las Zonas de Protección y Desarrollo de los recursos naturales renovables-DMRI Humedales Serranía Abibe - Resolución No. 2157 del 23 de octubre de 2017 del Ministerio de Ambiente y Desarrollo Sostenible, corresponde a un nuevo tipo de restricción ambiental, que efectivamente tiene efectos temporales, a pesar de estar incluida en la cobertura de Áreas Ambientales de Exclusión Minera, esta área no es excluible.
3. Área libre
Sobre el área de interés no existen títulos mineros ni áreas de exclusión minera por lo que no se hace recorte al polígono
4. Representación gráfica
La representación gráfica del área anteriormente descrita se presenta en el reporte gráfico ANM RG-1609-18 adjunto a la presente certificación.
Estos reportes son únicamente informativos, no congelan áreas y son susceptibles de variar en cualquier momento, en la medida en que la Agencia Nacional de Minería actualiza el Sistema de Información.
FUNDAMENTOS DE LA DECISIÓN
Que el artículo 122 de la Ley 685 de 2001, establece las Zonas Mineras Indígenas en los siguientes términos:
La autoridad minera señalará y delimitará, con base en estudios técnicos y sociales, dentro de los territorios indígenas, zonas mineras indígenas en las cuales la exploración y explotación del suelo y subsuelo mineros deberán ajustarse a las disposiciones especiales del presente Capítulo sobre protección y participación de las comunidades y grupos indígenas asentados en dichos territorios.
(…)
Que el artículo 123 de la Ley 685 de 2001, establece territorio y comunidad indígena en los siguientes términos:
Artículo 123. Territorio y Comunidad Indígenas. Para los efectos previstos en el artículo anterior, se entienden por territorios indígenas las áreas poseídas en forma regular y permanente por una comunidad, parcialidad o grupo indígena de conformidad con lo dispuesto en la Ley 21 de 1991 y demás leyes que la modifiquen, amplíen o sustituyan.
Que el artículo 127 del Código de Minas –Ley 685 de 2001–, establece las áreas indígenas restringidas en los siguientes términos:
Artículo 127. Áreas indígenas restringidas. La autoridad indígena señalará, dentro de la zona minera indígena, los lugares que no pueden ser objeto de exploraciones o explotaciones mineras por tener especial significado cultural, social y económico para la comunidad o grupo aborigen, de acuerdo con sus creencias, usos y costumbres.
Que en atención a lo establecido en el Informe de Visita al Resguardo Indígena Polines, frente a la identificación de áreas indígenas restringidas, en el numeral 8.1.11. (folios 299-324), y georreferenciadas en los polígonos que se señalarán en la parte resolutiva del presente acto administrativo, las mismas no podrán ser objeto de exploraciones o explotaciones mineras por tener especial significado cultural, social y económico para el Resguardo Indígena Polines, de acuerdo con sus creencias, usos y costumbres.
Es pertinente indicar a los interesados que la declaración de la Zona Minera Indígena del Resguardo Indígena Polines, no constituye u otorga derecho alguno a las comunidades para explorar o explotar minerales dentro de la misma.
Que el artículo 124 del Código de Minas, frente al derecho de prelación sobre el otorgamiento de concesión minera establece lo siguiente:
Artículo 124. Derecho de prelación de grupos indígenas. Las comunidades y grupos indígenas tendrán prelación para que la autoridad minera les otorgue concesión sobre los yacimientos y depósitos mineros ubicados en una zona minera indígena. Este contrato podrá comprender uno o varios minerales.
Que en ejercicio de este derecho, la comunidad tendrá derecho a explorar y explotar los recursos minerales presentes en la zona minera, a través de un contrato de concesión; por tanto, el Resguardo Indígena Polines, deberá presentar ante esta Entidad, una propuesta que debe cumplir con los requisitos establecidos en el artículo 271 del Código de Minas y/o la norma que lo modifique o adicione, en caso de pretender explotar los recursos mineros identificados en la zona a señalar.
Que cumplidos los requisitos señalados en los artículos 122, 125 y 127 de la Ley 685 de 2001, se considera procedente señalar y declarar la Zona Minera Indígena en el Resguardo Indígena Polines, en los municipios de Chigorodó y Carepa departamento de Antioquia.
Que en mérito de lo expuesto,
RESUELVE:
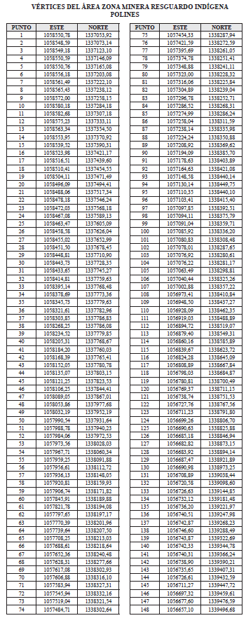
ARTÍCULO 1o. Señalar y delimitar como Zona Minera Indígena a favor del Resguardo Indígena Polines, ubicado en los municipios de Chigorodó y Carepa en el departamento de Antioquia, el área comprendida dentro de una extensión superficiaria de Hectáreas 2563,16, distribuida en un (1) polígono localizado en jurisdicción de los municipios de Chigorodó y Carepa departamento de Antioquia, cuyos linderos son los siguientes:
| DESCRIPCIÓN DEL P.A. | Primer Punto de la Poligonal |
| PLANCHAS IGAC 1:100.000 | 90 |
| DATUM | BOGOTÁ |
| ORIGEN | OESTE |
| MUNICIPIOS | Chigorodó y Carepa (Antioquia) |
| ÁREA TOTAL | 2563,16 hectáreas |










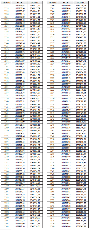
ARTÍCULO 2o. <Artículo modificado por el artículo 1 de la Resolución 231 de 2018. El nuevo texto es el siguiente:> Señalar los siguientes polígonos ubicados dentro de la Zona Minera Indígena alinderada en el artículo primero de la presente resolución, como áreas indígenas restringidas dentro de las cuales no se podrán realizar actividades mineras al tenor de lo establecido en el artículo 127 de la Ley 685 de 2001, conforme a la parte motiva del presente acto administrativo:
ÁREAS DE EXCLUSIÓN SITIOS DE INTERÉS SOCIAL, RELIGIOSO Y CULTURAL DENTRO DEL POLÍGONO ZONA MINERA RESGUARDO INDÍGENA POLINES


ARTÍCULO 3o. La señalización y alinderación de esta zona minera indígena, se hace sin perjuicio de los títulos mineros vigentes y las solicitudes presentadas dentro del área señalada en el artículo 1o de la presente Resolución, los cuales continuarán con el trámite respectivo de conformidad con lo establecido en el Capítulo XIV de la Ley 685 de 2011 –Código de Minas–.
ARTÍCULO 4o. La presente señalización y alinderación de zona minera indígena le permite al Resguardo Indígena Polines ejercer el derecho de prelación en los términos establecidos en el artículo 124 de la Ley 685 de 2001.
ARTÍCULO 5o. La presente Resolución no otorga derechos para adelantar actividades mineras de exploración, construcción y montaje y/o explotación minera dentro de la zona minera señalada y delimitada.
ARTÍCULO 6o. Por tratarse de un acto de carácter general, contra la presente resolución no procede recurso alguno, de acuerdo con lo establecido en el artículo 75 del Código de Procedimiento Administrativo y de lo Contencioso Administrativo.
ARTÍCULO 7o. La presente resolución rige a partir de la fecha de su publicación en el Diario Oficial.
ARTÍCULO 8o. Remitir copia de la presente resolución a la Gerencia de Catastro y Registro Minero de la ANM, para su correspondiente inscripción en el Registro Minero Nacional, de acuerdo a lo establecido en el literal i) del artículo 332 de la Ley 685 de 2001.
ARTÍCULO 9o. Copia de la presente resolución deberá ser enviada a la Dirección de Asuntos Indígenas, Minorías y ROM, del Ministerio del Interior, para lo de su competencia.
ARTÍCULO 10. Comuníquese la presente decisión a la Comunidad Indígena del Resguardo Indígena Polines ubicado en los municipios de Chigorodó y Carepa departamento de Antioquia, a favor de la cual se señala y delimita la presente Zona Minera Indígena.
Publíquese, comuníquese y cúmplase.
Dada en Bogotá, D. C., a 2 de agosto de 2018.
El Vicepresidente de Promoción y Fomento,
David Andrés González Castano.